Главная Случайная страница


Полезное:

Как сделать разговор полезным и приятным Как сделать объемную звезду своими руками Как сделать то, что делать не хочется? Как сделать погремушку Как сделать так чтобы женщины сами знакомились с вами Как сделать идею коммерческой Как сделать хорошую растяжку ног? Как сделать наш разум здоровым? Как сделать, чтобы люди обманывали меньше Вопрос 4. Как сделать так, чтобы вас уважали и ценили? Как сделать лучше себе и другим людям Как сделать свидание интересным?


Категории:

АрхитектураАстрономияБиологияГеографияГеологияИнформатикаИскусствоИсторияКулинарияКультураМаркетингМатематикаМедицинаМенеджментОхрана трудаПравоПроизводствоПсихологияРелигияСоциологияСпортТехникаФизикаФилософияХимияЭкологияЭкономикаЭлектроника






Требования к выполнению контрольной работы





При выполнении контрольной работы необходимо придерживаться следующих правил:

– к решению задач контрольного задания следует приступать только после изучения соответствующего раздела курса

– задание составлено по вариантной системе. Номер варианта определяется кафедрой;

– условия задач переписывать полностью;

– в процессе решения сначала приводить формулы, затем подставлять в них соответствующие численные значения; размерность приводить только для результата вычисления;

– вычисления проводить только в международной системе СИ;

– решения иллюстрировать схемами и графиками (если требуется по условию);

– оставить поля для замечаний рецензента и 1…2 чистыестраницы для работы над ошибками.

– в тексте работы приводить ссылки на использованную литературу, а в конце контрольной работы – список использованной литературы.

Контрольная работа подписывается студентом. Прием контрольных работ на рецензию прекращается за 10 дней до начала лабораторно-экзаменационной сессии.Работы, выполненные по чужому варианту, не рассматриваются.

 

Задание 1 Газовые смеси и теплоемкости

Дано:

Газовая смесь имеет следующий (1)* процентный состав (2); давление смеси (4) в барах, объем смеси (5), температура смеси (6) в °С.

 

Требуется определить:

1) (3) состав смеси;

2) газовые постоянные компонентов и смеси;

3) среднюю молекулярную массу смеси через объемные и массо­вые доли;

4) парциальные давления компонентов через объемные и мас­совые доли;

5) массу смеси и компонентов;

6) парциальные объемы и плотности компонентов;

7) плотность компонентов и смеси при заданных условиях через объемные и массовые доли;

8) плотности компонентов и смеси при нормальных условиях через объемные и массовые доли;

9) истинные мольную, объемную (для 1 м3) и массовую тепло­емкости смеси при р = const и v = const для вышеуказанной тем­пературы смеси;

10) средние мольную, объемную и массовую теплоемкости при р = const и v = const для интервала температур (7);

11) затрату тепла на нагревание (охлаждение) при р = const двух молей, 5 м3 и 7 кг смеси в вышеуказанном интервале темпе­ратур.

*Примечание: Данные (1), (2), (3) и т.д. взять из таблицы в соответствии с вариантом.

 

Таблица данных и ответов к контрольному заданию

Вариант (1) (2) (3) (4) (5) (6) (7) Ответы
СО2 Н2 СО N2 Н2О SO2 О2 μсм Q', кДж Q", кДж   Q'", кДж  
  Объемный   - -     -   Весовой 0,95     200-1000 29,66      
  -«-   -     - -   -«- 1,0     300-100 29,92      
  -«- -         - - -«- 0,9     1000-300 25,7      
  -«-   - -     -   -«- 1,05     600-200 29,72      
  -«- -         - - -«- 1,05     1000-100 24,40      
  -«-         - - - -«- 0,85     900-200 21,0      
  -«-   - -     -   -«- 0,70     700-500 29,90      
  -«- -       - - - -«- 0,95     500-200 26,70      
  -«- - - -         -«- 1,0     800-300 30,70      
  -«-   - -     -   -«- 1,05     600-100 30,20      
  -«-   -   -   -   -«- 1,15     750-250 31,90      
  -«-   - -     -   -«- 1,2     1000-500 30,35      
  -«-         - - - -«- 1,25     300-1300 27,92      
  -«-   - -     -   -«- 1,05     600-900 30,10      
  -«- -       - -   -«- 0,85     1000-400 23,60      
  Весовой   -     -   - Объемный 1,2     850-350 33,16      
  -«- -   -     -   -«- 1,0     350-750 9,33      
  -«-   - -     -   -«- 0,90     9000-600 28,65      
  -«- -       -   - -«- 1,0     450-300 23,04      
  -«- -   -   -     -«- 1,05     300-150 12,67      
  -«-   - -     -   -«- 1,05     800-300 28,61      
  -«- -       - -   -«- 1,0     400-800 17,04      
  -«-   - -     -   -«- 0,95     800-300 29.14      
  -«-         - - - -«- 1,15     650-150 12,37      
  -«- -         - - -«- 0,85     150-1200 23,82      
  -«-   - -     -   -«- 1,0     300-800 29,61      
  -«- -       -   - -«- 1,0     1200-1000 9,21      
  -«-   - -     -   -«- 0,90     400-900 28,78      
  -«- -       -   - -«- 0,95     800-600 14,32      
  -«-   - -     -   -«- 1,0     600-100 28,42      

Пример решения задания


Дано:

1. Смесь имеет следующий объемный состав:

СО2= 12%, r СО2= 0,12
N2 = 75%, r N2 = 0,75
Н2О = 8%, r Н2О = 0,08
О2 =5%, r О2= 0,05
Всего…..100% ri =1,0

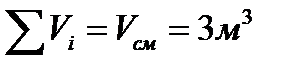
2. Объем смеси Vсм= 3 м3

давление смеси р см= 1 бар (105 н/м2);.

температура смеси t cм = 100°С (Тсм = 373К).

3. Температура, при которой определяется истинная теплоем­кость смеси t = 2000°С (Т = 2273К).

4. Интервал температур, для которого определяется средняя теплоемкость смеси:

t 1 = 200°С (Т 1 = 473К),

t 2 = 1000°С (Т 2 = 1273К).

 

Решение.

1. Определение массового состава смеси:

;

; ; ;

 

Определение объемного состава смеси при известном массовом составе:

2. Определение газовых постоянных компонентов смеси:

; ;

;

3. Определение газовой постоянной смеси:

4. Определение средней молекулярной массы смеси:

а) через объемные доли:

 

проверка:


б) через массовые доли:

5. Определение парциальных давлений компонентов:

а) через объемные доли:

б) черезмассовые доли:

 

6. Определение массы смеси:

7. Определение массы компонентов:

8. Определение парциальных объемов компонентов:

(при р см и Т см)

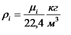
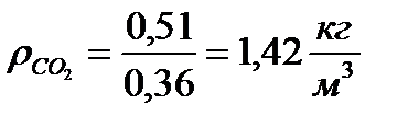
9. Определение парциальной плотности компонентов (при pi и Т см):

10. Определение плотности компонентов при заданных услови­ях (при pi и Т см):

11. Определение плотности смеси при заданных условиях (при pсм и Т см):

а) через объемные доли:

б) через массовые доли:

в) через парциальные плотности компонентов:

12. Определение плотности компонентов при нормальных физи­ческих условиях (при р = 760 мм рт. ст. = 1,013 бар и t = 0° С; Т = 273° К):

13. Определение плотности смеси при нормальных условиях:

а) через объемные доли:

б) через массовые доли:

(Проверка )

14. Определение истинных теплоемкостей смеси (при t = 2000°С):

а) мольная:

б) объемная

в) массовая

 

15. Определение средних теплоемкостей смеси:

а) мольная:

где ;

Средняя мольная теплоемкость при постоянном давлении в заданном интервале температур:

 

По закону Майера:

 

Средняя мольная теплоемкость при постоянном объеме в заданном интервале температур:

 

б) объемная

в) массовая

 

Примечание. Средние мольные теплоемкости берутся из таблиц для температур t 1 = 200° С и t 2 = 1000° С.

 

16. Определение затраты тепла на нагревание в процессе:

а) двух молей смеси:

б) 5м3смеси:

в) 7кг смеси:

 

Приложения для выполнения контрольной работы:

Таблица1.







Date: 2015-09-02; view: 1676; Нарушение авторских прав



mydocx.ru - 2015-2026 year. (0.518 sec.) Все материалы представленные на сайте исключительно с целью ознакомления читателями и не преследуют коммерческих целей или нарушение авторских прав - Пожаловаться на публикацию