Главная Случайная страница


Полезное:

Как сделать разговор полезным и приятным Как сделать объемную звезду своими руками Как сделать то, что делать не хочется? Как сделать погремушку Как сделать так чтобы женщины сами знакомились с вами Как сделать идею коммерческой Как сделать хорошую растяжку ног? Как сделать наш разум здоровым? Как сделать, чтобы люди обманывали меньше Вопрос 4. Как сделать так, чтобы вас уважали и ценили? Как сделать лучше себе и другим людям Как сделать свидание интересным?


Категории:

АрхитектураАстрономияБиологияГеографияГеологияИнформатикаИскусствоИсторияКулинарияКультураМаркетингМатематикаМедицинаМенеджментОхрана трудаПравоПроизводствоПсихологияРелигияСоциологияСпортТехникаФизикаФилософияХимияЭкологияЭкономикаЭлектроника






Выбор 11. 19





в-

в-

в-

в-

в-

ВЫБОР 11.20

В- больше 0

В- не определяется

В- меньше 0

В- равно нулю

ВЫБОР 11.21

в-

в-

в-

в-

ВЫБОР 11.22

В- больше 0

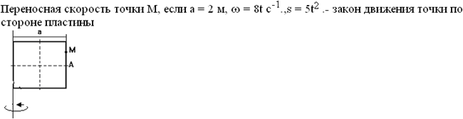
В- не определяется

В- меньше 0

В- равно нулю

ВЫБОР 11.23

В- 10t

В- 8t

В- 18,87t

В- 16t

ВЫБОР 11.24

в-

в-

В- 0

в-

в-

ВЫБОР 11.25

В- вдоль вектора V

В- вдоль оси вращения

В- по радиусу к центру диска

В- перпендикулярно плоскости рисунка от нас

В- перпендикулярно плоскости рисунка к нам.

ВЫБОР 11.26

В- вдоль вектора V

В- вдоль оси вращения

В- по радиусу к центру диска

В- перпендикулярно плоскости рисунка от нас

В- перпендикулярно плоскости рисунка к нам.

ВЫБОР 11.27

в-

В- 0

в-

в-

ВЫБОР 11.28

в-

в-

в-

В- 0

в-

ВЫБОР 11.29

в- 40 м/с2

в- 20 м/с2

в- 5 м/с2

в- 45 м/с2

В- 0

ВЫБОР 11.30

В- 13

В- 5

В- 7

В- 1

ВЫБОР 11.31

В- 10t

В- 20t

В- 18,87t

В- 16t

ВЫБОР 11.32

В- 3

В- 1

В- 2

В- 4

ВЫБОР 11.33

В- 0,7

В- 0,1

В- 0,4

В- 0,5

ВЫБОР 11.34

В- 2

В- 0,5

В- 1,5

В- 1,12

ВЫБОР 11.35

В- о сложении скоростей при плоском движении

В- Штейнера

В- Кориолиса

В- о сложении скоростей при сложном движении

ВЫБОР 11.36

В- перпендикулярно плоскости рисунка от нас







Date: 2015-09-02; view: 356; Нарушение авторских прав



mydocx.ru - 2015-2026 year. (0.802 sec.) Все материалы представленные на сайте исключительно с целью ознакомления читателями и не преследуют коммерческих целей или нарушение авторских прав - Пожаловаться на публикацию