Главная
Случайная страница
Полезное:
Как сделать разговор полезным и приятным
Как сделать объемную звезду своими руками
Как сделать то, что делать не хочется?
Как сделать погремушку
Как сделать так чтобы женщины сами знакомились с вами
Как сделать идею коммерческой
Как сделать хорошую растяжку ног?
Как сделать наш разум здоровым?
Как сделать, чтобы люди обманывали меньше
Вопрос 4. Как сделать так, чтобы вас уважали и ценили?
Как сделать лучше себе и другим людям
Как сделать свидание интересным?
Категории:
АрхитектураАстрономияБиологияГеографияГеологияИнформатикаИскусствоИсторияКулинарияКультураМаркетингМатематикаМедицинаМенеджментОхрана трудаПравоПроизводствоПсихологияРелигияСоциологияСпортТехникаФизикаФилософияХимияЭкологияЭкономикаЭлектроника
|
Расчет себестоимости продукции после внедрения организационно-технических мероприятий
Расчет себестоимости, ее структуры и доли условно-постоянных расходов в себестоимости продукции
Калькуляция себестоимости 1000 шт. полупроводниковых приборов
| Статьи затрат
| Цена, руб. за 1000 шт. приборов
| Норма расходана 1000 шт. приборов
| Сумма, руб/1000 шт.
| Структура затрат, %
| Затраты на годовой выпуск, руб.
| |
|
|
|
|
|
| | 1. Сырье и осн.материалы:
Кристалл
| 22 000
| 1 100
| 24 200
| 39.93
| 53 240 000
| | Итого осн. материалы
|
|
| 24 200
| 39.93
| 53 240 000
| | 2. Вспомогат. материалы:
|
|
|
|
|
| | спирт, л
|
| 0.22
| 36.52
| 0.06
| 80 344
| | гелий, м3
|
| 0.73
|
| 0.72
| 963 600
| | ацетон, кг
|
| 0.40
|
| 0.26
| 352 000
| | азот, м3
| 1 800
| 0.82
| 1 476
| 2.44
| 3 247 200
| | аргон, м3
|
| 6.20
| 1 605.8
| 2.65
| 3 532 760
| | этиленгликоль, кг
|
| 5.80
|
| 0.96
| 1 276 000
| | прочие материалы
|
|
| 1 200
| 1.98
| 2 640 000
| | Итого вспомогательных материалов
|
|
| 5 496.32
| 9.07
| 12 091 904
| | 3. Энергозатраты:
|
|
|
|
|
| | эл. энергия, тыс. кВт/ч
| 1 600
| 1.12
| 1 792
| 2.96
| 3 942 400
| | вода, тыс. м3
| 9 000
| 0.16
| 1 440
| 2.38
| 3 168 000
| | сжатый воздух, м3
|
|
| 1 800
| 2.97
| 3 960 000
| | Итого энергозатрат
|
|
| 5 032
| 8.30
| 11 070 400
| | 4. Фонд оплаты труда (ФОТ), руб.
|
|
| 7 900.36
| 13.04
| 17 380 800
| | 5. Отчисления на соц. нужды, руб.
|
|
| 2370.11
| 3.91
| 4 519 008
| | Итого фонд оплаты труда с начисл-ми, руб.
|
|
| 10 270.47
| 16.95
| 21 899 808
| | 6. Расходы на подготовку и освоение производства, руб.
|
|
| 3 200
| 5.28
| 7 040 000
| | 7. Расходы на содержание и эксплуатацию оборудования, руб.
|
|
| 4 800
| 7.92
| 10 560 000
| | В т.ч. амортизация
|
|
| 4 000
| 6.60
| 8 800 000
| | 8. Общецеховые расходы,
|
|
| 1 160
| 1.91
| 2 552 000
| | В т.ч. амортизация
|
|
|
| 1.58
| 2 112 000
| | Цеховая себестоимость, руб.
|
|
| 54 158.79
|
| 118 454 112
| | 9. Общезаводские расходы, руб.
|
|
| 5 800
| 9.57
| 12 760 000
| | Производственная себестоимость, руб.
|
|
| 59 958.79
|
| 131 214 112
| | 10. Внепроизводственные расходы, руб.
|
|
|
| 1.07
| 1 430 000
| | В т.ч. коммерческие
|
|
|
| 0.99
| 1 320 000
| | Полная с/c, руб.
|
|
| 60 608.79
|
| 132 644 112
| | В т.ч. технологич. потери
|
|
| 8 043.88
|
|
|
| Показатель
| обозначение
| П
| ТП
| С
| М
| А
| ЗП
| ОС
| ОФ
| Ч
| | |
|
|
|
|
|
|
|
|
| | | Прибыль
| 307 355 888
|
| 1.431
| 0.434
| 0.2126
| 0.0355
| 0.0565
| 0.05
| 0.738
| 6·10-7
| | |
| 440 000 000
| 0.699
|
| 0.30
| 0.15
| 0.02
| 0.04
| 0.03
| 0.52
| 4·10-7
| | | Объем производства продукции
| | | Себестоимость продукции
| 132 339 344
| 2.305
|
|
|
| 0.082
| 0.13
|
| | | | | ОБРАТНОЕ ПОЛЕ
| | | 3.3
| 0.49
| ЭФФЕКТИВНОСТИ
| | | Затраты на материалы
| 65 331 904
| 4.705
| 6.735
|
|
|
|
|
| | | Амортизационные отчисления
| 10 912 000
| 28.167
| 40.322
|
|
|
|
|
|
|
| | | Заработная плата с отчислениями
| 17 380 800
| 17.684
| 25.315
| |
|
|
|
| | | | | Оборотные средства
| 15 280 461
| 20.114
|
28.795
|
|
|
|
| | | ПРЯМОЕ ПОЛЕ
| | | ЭФФЕКТИВНОСТИ
| | | Основные фонды
| 226 916 667
| 1.354
| 1.939
| |
|
|
|
| | | Численность
|
| 1 807 975.8
| 2 588 235.3
|
|
|
| 102 240
| 1 334 804
| 106
|
| |
Расчет себестоимости продукции после внедрения организационно-технических мероприятий
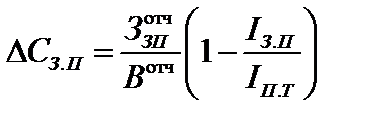
1) Снижение себестоимости за счет повышения выхода годных изделий рассчитывается по формуле 
2) Экономия от снижения материальных затрат 
3) Снижение себестоимости за счет повышения производительности труда при одновременном росте заработной платы рассчитывается по формуле (руб.) 
4) Снижение себестоимости за счет экономии на амортизационных отчислениях определяется по формуле 
5) Экономия на условно-постоянных расходах в связи с ростом объема производства рассчитывается по формуле (руб.) 
Показатели себестоимости продукции после реконструкции
| Показатели
| Значение
| | | | | | | Себестоимость 1000 ед. продукции до реконструкции, руб./1000 ед.
| 60 606.79
| | | | | | | Снижение с/с ед. продукции за счет:
|
| | | | | | | - увеличения выхода годной продукции, руб./1000 ед.
| 2 886.1
| | | | - изменения материальных затрат, руб./1000 ед.
| 89.6
| | | | - повышение производительности труда, руб./1000 ед.
|
| | | Изменение амортизационных отчислений, руб./1000 ед.
| | | | | | | | - экономии на условно-постоянных расходах, руб./1000 ед.
| 3 026.25
| | | | | | | | С/c 1000 ед. продукции после реконструкции, руб.
| 54 605.84
| | | | | | | | С/с годового объема производства после реконструкции, млн. руб.
|
144.16
| | | | | | | | Уровень затрат на 1руб. ТП после реконструкции, руб./руб.
| 0.27
| | | | | | | | Изменение затрат на 1 руб. ТП, %
| 9.90
| | | | | | | | Изменение себестоимости сравнимой ТП, %
| 9.90
| | | | | | | | | | | | | | | | | | | | |
Date: 2015-08-24; view: 584; Нарушение авторских прав | Понравилась страница? Лайкни для друзей: |
|
|