Главная Случайная страница


Полезное:

Как сделать разговор полезным и приятным Как сделать объемную звезду своими руками Как сделать то, что делать не хочется? Как сделать погремушку Как сделать так чтобы женщины сами знакомились с вами Как сделать идею коммерческой Как сделать хорошую растяжку ног? Как сделать наш разум здоровым? Как сделать, чтобы люди обманывали меньше Вопрос 4. Как сделать так, чтобы вас уважали и ценили? Как сделать лучше себе и другим людям Как сделать свидание интересным?


Категории:

АрхитектураАстрономияБиологияГеографияГеологияИнформатикаИскусствоИсторияКулинарияКультураМаркетингМатематикаМедицинаМенеджментОхрана трудаПравоПроизводствоПсихологияРелигияСоциологияСпортТехникаФизикаФилософияХимияЭкологияЭкономикаЭлектроника






Схема логарифмического преобразователя и усилителя. Для получения логарифмической характеристики усилителя необходимо иметь устройство с логарифмической характеристикой и включать его в цепь обратной связи





Для получения логарифмической характеристики усилителя необходимо иметь устройство с логарифмической характеристикой и включать его в цепь обратной связи. Устройство, обладающее такой характеристикой. Является полупроводниковый p-n переход.

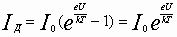
Ток через п/п диод равен:

(*)

где - ток утечки при небольшом обратном смещении, e - заряд электрона (1.6*10-19Кл), U - напряжение на диоде, k - постоянная Больцмана (1.38*10-23Дж/К), Т - абсолютная постоянная температура в кельвинах.

Аналогично можно записать выражение для коллекторного тока транзистора с ОБ:

(**)

где UБЭ- напряжение эмиттер - база, Iэо- ток перехода эмиттер база при небольшом обратном смещении.

Как диод так и транзистор можно использовать для получения логарифмической зависимости.

Схема:

Рис. 2.27

 

Чтобы показать, каким образом диод в цепи ОС формирует логарифмическую характеристику решим уравнение (*) относительно Uд, учитывая, что Uд=Uвых.

Из уравнения , получим

,

,

Следовательно,

,

так что

Напряжение мВ при 25оС

Построив зависимость Iд=F(Uвых) в линейном масштабе, получим логарифмическую характеристику в масштабе на плоскости U-I.

Рис. 2.28

 

Если построить зависимость Uвых= F(ln I), то получим прямую линию с наклоном около 26 мВ. Uвых достигает в близи 0.6 В.

Рис. 2.29

 

Если необходимо иметь большее значение выходного напряжения, то его надо усилить.

Логарифмический усилитель в зависимости от типа диода будет иметь логарифмическую характеристику при изменении входного тока в пределах трех декад.

Логарифмический усилитель имеет выходное напряжение только одной полярности, которая определяется направлением включения диода.

Для получения большого диапазона входного напряжения можно использовать в качестве логарифмического элемента в цепи ОС транзистор, включенный по схеме с ОБ. Так как Iк= -Ir1и решая уравнение (**) относительно UБЭ, получим

Рис. 2.30

 

Выходное напряжение схемы будет отрицательно при положительном выходном напряжении.

В схеме логарифмической зависимости напряжения UБЭ= F(Iк) используется для получения выходного напряжения, пропорционального логарифму положительного напряжения.

Благодаря потенциальному заземлению инвертирующего входа резистор R1 преобразует напряжение Uвх в ток. Этот ток протекает через транзистор Т1 и создает на его эмиттере потенциал, который на величину падения напряжения UБЭ ниже потенциала земли. Транзистор Т2 служит для температурной компенсации. Источник тока, выполненный на ПТ Т3 задает входной ток, служащий для установки выходного напряжения на ноль.

Второй ОУ является не инвертирующим, его коэффициент усиления по напряжению должен быть приблизительно равен 16, для того чтобы напряжение на выходе изменялось в отношении -1,0 В на декаду входного тока.

В качестве Т1и Т2 используется согласованная пара транзисторов.

Такая схема обеспечивает точную логарифмическую зависимость выходного напряжения в пределах 7 или более декад (от 1 нА до 10 нА) при условии, что транзистор имеет небольшие токи утечки, а ОУ - малый входной ток смещения. Для получения хорошей характеристики при малых входных токов входной ОУ следует точно настроить на ноль сдвига. Конденсатор С1 служит для частотной стабилизации при включении ОС, так как усиление по напряжению в контуре ОС определяет транзистор Т1. Диод Д1 предотвращает пробой и разрушении перехода база - эмиттер Т1 в случае появление отрицательного напряжения на входе, так как Т1 не обеспечивает цепь ОС при положительном входном напряжении ОУ.

Рис. 2.31

 

Выводы:

1. Логарифмический преобразователь строится с использованием в цепи ОС элемента с логарифмической характеристикой.

2. Для получения зависимости типа натурального логарифма могут использоваться как п/п диод, так и переход эмиттер - база транзистора. Выходное напряжение логарифмического усилителя пропорционально логарифму на его входе.

 







Date: 2015-08-15; view: 749; Нарушение авторских прав



mydocx.ru - 2015-2026 year. (1.461 sec.) Все материалы представленные на сайте исключительно с целью ознакомления читателями и не преследуют коммерческих целей или нарушение авторских прав - Пожаловаться на публикацию