Главная Случайная страница


Полезное:

Как сделать разговор полезным и приятным Как сделать объемную звезду своими руками Как сделать то, что делать не хочется? Как сделать погремушку Как сделать так чтобы женщины сами знакомились с вами Как сделать идею коммерческой Как сделать хорошую растяжку ног? Как сделать наш разум здоровым? Как сделать, чтобы люди обманывали меньше Вопрос 4. Как сделать так, чтобы вас уважали и ценили? Как сделать лучше себе и другим людям Как сделать свидание интересным?


Категории:

АрхитектураАстрономияБиологияГеографияГеологияИнформатикаИскусствоИсторияКулинарияКультураМаркетингМатематикаМедицинаМенеджментОхрана трудаПравоПроизводствоПсихологияРелигияСоциологияСпортТехникаФизикаФилософияХимияЭкологияЭкономикаЭлектроника






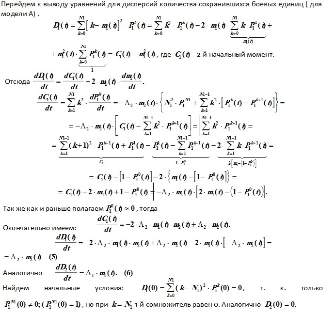
Постановка задачи. Задача 1. В начальный момент текущая численность mi каждой i-ой (1,2) группировки полагается равно Ni





Введение


Постановка задачи

Задача 1. В начальный момент текущая численность mi каждой i-ой (1,2) группировки полагается равно Ni. Каждая группировка производит выстрелы с плотностью imi. Каждый выстрел i-ой группировки с вероятностью Pi поражает одну единицу вражеской группировки. Если численность одной из группировок становится меньше некоторого процента от начальной численности, группировка считается проигравшей. Проведя многочисленные розыгрыши боя, подсчитать вероятность победы каждой из сторон, среднее время боя и среднее количество единиц, остающихся у каждой группировки в конце боя.

Задача 2. В начальный момент времени текущее количество mij единиц каждого типа у каждой группировки полагается равным Nij. . Каждый тип единиц в составе каждой группировки производит выстрелы с плотностью ijmi j c вероятностью поразить цель Pij. Если численность одной из группировок становится меньше некоторого процента от начальной численности, группировка считается проигравшей. Проведя многочисленные розыгрыши боя, подсчитать вероятность победы каждой из сторон, среднее время боя и среднее количество единиц, остающихся у каждой группировки в конце боя.

Задача 3.. В начальный момент текущая численность mi каждой i-ой (1,2) группировки полагается равно Ni. Каждая группировка производит выстрелы с плотностью imi по тем местам, где в начальный момент находились единицы вражеской группировки, однако не знает, были ли они поражены предыдущими выстрелами, и может по этому причине стрелять мимо цели. Каждый выстрел в цель i-ой группировки с вероятностью Pi поражает одну единицу вражеской группировки. Если численность одной из группировок становится меньше некоторого процента от начальной численности, группировка считается проигравшей. Проведя многочисленные розыгрыши боя, подсчитать вероятность победы каждой из сторон, среднее время боя и среднее количество единиц, остающихся у каждой группировки в конце боя.

Теория








Date: 2015-08-15; view: 435; Нарушение авторских прав



mydocx.ru - 2015-2026 year. (0.755 sec.) Все материалы представленные на сайте исключительно с целью ознакомления читателями и не преследуют коммерческих целей или нарушение авторских прав - Пожаловаться на публикацию