Главная Случайная страница


Полезное:

Как сделать разговор полезным и приятным Как сделать объемную звезду своими руками Как сделать то, что делать не хочется? Как сделать погремушку Как сделать так чтобы женщины сами знакомились с вами Как сделать идею коммерческой Как сделать хорошую растяжку ног? Как сделать наш разум здоровым? Как сделать, чтобы люди обманывали меньше Вопрос 4. Как сделать так, чтобы вас уважали и ценили? Как сделать лучше себе и другим людям Как сделать свидание интересным?


Категории:

АрхитектураАстрономияБиологияГеографияГеологияИнформатикаИскусствоИсторияКулинарияКультураМаркетингМатематикаМедицинаМенеджментОхрана трудаПравоПроизводствоПсихологияРелигияСоциологияСпортТехникаФизикаФилософияХимияЭкологияЭкономикаЭлектроника






Задание I. Нормирование количественного параметра освещения

Таблица 1

Зрительная работа Характерис тика фона Контраст объекта с фоном Размер объекта , мм Разряд и подразряд зрительной работы Норма освещенности ламп, лк Измеренная освещенность для ламп, лк  
Светлый фон темный большой От 0,15 до 0,3 2 разряд, подразряд в                
Лампа накаливания  
Люминесцентная      
Лампа дуговая  
Темный фон  
       
Лампа накаливания  
Люминесцентная  
Лампа дуговая  

 

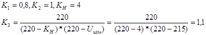
Uизм=215(В)

Ефакт= Еизм´К1´К2´К3

Для лампы накаливания:

Для люминесцентной лампы:

Для дуговой лампы:

Контрастобъекта различения с фоном:

Задание II. Нормирование качественного параметра.

Таблица 2

Коэффициент пульсации, измеренный для ламп, %
Накаливания Люминесцентная Газоразрядные
Прозрачная Синяя Для одной Для двух Для трех
Светлый фон стенок
15% 1% 9% 99% 58% 12%
Темный фон стенок
15% 0,5% 8,5% 100% 55% 14%

 







Date: 2015-08-07; view: 314; Нарушение авторских прав



mydocx.ru - 2015-2026 year. (0.972 sec.) Все материалы представленные на сайте исключительно с целью ознакомления читателями и не преследуют коммерческих целей или нарушение авторских прав - Пожаловаться на публикацию