Главная Случайная страница


Полезное:

Как сделать разговор полезным и приятным Как сделать объемную звезду своими руками Как сделать то, что делать не хочется? Как сделать погремушку Как сделать так чтобы женщины сами знакомились с вами Как сделать идею коммерческой Как сделать хорошую растяжку ног? Как сделать наш разум здоровым? Как сделать, чтобы люди обманывали меньше Вопрос 4. Как сделать так, чтобы вас уважали и ценили? Как сделать лучше себе и другим людям Как сделать свидание интересным?


Категории:

АрхитектураАстрономияБиологияГеографияГеологияИнформатикаИскусствоИсторияКулинарияКультураМаркетингМатематикаМедицинаМенеджментОхрана трудаПравоПроизводствоПсихологияРелигияСоциологияСпортТехникаФизикаФилософияХимияЭкологияЭкономикаЭлектроника






ЗАДАНИЕ. на курсовой проект «Тяговые расчеты»

на курсовой проект «Тяговые расчеты»

по дисциплине «Теория тяги поездов»

 

Студент группы ТПЭ-312 Загребельский Д.А.

Исходные данные:

1. Род службы локомотива: грузовой, пассажирский

2. Характеристика состава поезда:

2.1. Вес грузового состава, кН: 10000; 20000; 30000; 40000; 50000; 60000; 80000

2.2. Число пассажирских вагонов: 15, 24, 30

2.3. Расчетный тормозной коэффициент: 0,12; 0,33; 0,4; 0,6; 0,7

3. Характеристика вагонов:

Тип вагонов Доля вагонов в составе (по весу), % Масса вагонов брутто, т Доля тормозных осей в составе, %
А Грузовые:      
четырехосные      
восьмиосные      
Б. Пассажирские      

4. Вариант продольного профиля участка пути №______

5. Длина приемо-отправочных путей станции, м: 850, 1059, 1250

6. Длина пассажирской платформы на участке, м: 400, 500, 650, 750

7. Тип тормозных колодок вагонов: чугунные; композиционные

 

Задание по учебно-исследовательской части проекта:


СОДЕРЖАНИЕ

1. ВВЕДЕНИЕ  
2.   АНАЛИЗ И ПОДГОТОВКА ПРОДОЛЬНОГО ПРОФИЛЯ ПУТИ ДЛЯ ВЫПОЛНЕНИЯ ТЯГОВЫХ РАСЧЕТОВ  
3.     ОПРЕДЕЛЕНИЕ ВЕСА (МАССЫ) СОСТАВА ГРУЗОВОГО ПОЕЗДА С УЧЕТОМ ОГРАНИЧЕНИЙ ПО УСЛОВИЯМ ЭКСПЛУАТАЦИИ  
4.   ВЫБОР СЕРИИ И ЧИСЛА СЕКЦИИ ЛОКОМОТИВОВ ДЛЯ ВЕДЕНИЯ ГРУЗОВОГО ПОЕЗДА ЗАДАННОГО ВЕСА  
5.   РАСЧЕТ ЗНАЧЕНИЙ РАВНОДЕЙСТВУЮЩИХ СИЛ, ДЕЙСТВУЮЩИХ НА ПОЕЗД ПРИ ЕГО ДВИЖЕНИИ  
6.   ОПРЕДЕЛЕНИЕ ДОПУСТИМЫХ ПО УСЛОВИЯМ БЕЗОПАСНОСТИ СКОРОСТЕЙ ДВИЖЕНИЯ ПОЕЗДА  
7. РАСЧЕТ СКОРОСТИ ДВИЖЕНИЯ ПОЕЗДА ПО УЧАСТКУ  
8. РАСЧЕТ ВРЕМЕНИ ХОДА ПОЕЗДА ПО УЧАСТКУ  
9.   ПРОВЕРКА ВЕСА ПОЕЗДА ПО УСЛОВИЯМ НАГРЕВАНИЯ ТЯГОВЫХ ЭЛЕКТРИЧЕСКИХ МАШИН ЛОКОМОТИВОВ  
10.     РАСЧЕТ РАСХОДА ТОПЛИВА ТЕПЛОВОЗАМИ И ЭЛЕКТРОЭНЕРГИИ ЭЛЕКТРОВОЗАМИ ПРИ ДВИЖЕНИИ ПО УЧАСТКУ  
11.   ВЫБОР ЛОКОМОТИВА ДЛЯ ВЕДЕНИЯ ПОЕЗДА ПО УЧАСТКУ  
12.   СИСТЕМЫ НАЗЕМНОГО ВЫСОКОСКОРОСТНОГО ЖЕЛЕЗНОДОРОЖНОГО ТРАНСПОРТА  
13. ВЫВОД  
14. СПИСОК ИСПОЛЬЗОВАННОЙ ЛИТЕРАТУРЫ  
15. ПРИЛОЖЕНИЕ 1  

ВВЕДЕНИЕ

 

В данном курсовом проекте нам необходимо:

1. Подготовить продольный профиль участка пути для выполнения тяговых расчетов;

2. Выбрать серии и число секций локомотивов для ведения состава поезда заданного веса;

3. Рассчитать значения и построить кривые равнодействующих сил, действующих на движущийся поезд;

4. Определить наибольшие допустимые значения скоростей поезда на участке по наличию тормозных средств и условиям обеспечения безопасности движения;

5. Построить график скорости движения и времени хода поезда на участке (в одно направлении) при продолжительности остановки поезда на промежуточной станции 9 мин;

6. Проверить вес поезда по условиям нагревания обмоток якоря ТЭД одной секции локомотива;

7. Определить общий и удельный расход энергоресурсов локомотивами при ведении поезда по участку;

8. Обосновать выбор типа и серии локомотива для работы на данном участке.


1. АНАЛИЗ И ПОДГОТОВКА ПРОДОЛЬНОГО ПРОФИЛЯ ПУТИ ДЛЯ ВЫПОЛНЕНИЯ ТЯГОВЫХ РАСЧЕТОВ

 

Основным документом каждой железнодорожной линии является продольный профиль, содержащий данные о расположении ее на местности: план линии, отметки высот точек перелома профиля над уровнем моря, крутизна и длина уклонов, расположение кривых, их радиусы, длины, расположение станций (или остановочных пунктов), переездов, искусственных сооружений.

При неизменном режиме работы локомотива и постоянном весе поезда его скорость может изменяться на каждом элементе профиля в зависимости от характера уклона и величины сопротивления движению поезда. В этой связи тяговые расчеты производят для каж­дого элемента профиля пути в отдельности.

В табл. 1 согласно варианту представлен профиль пути

Таблица 1 - Профиль пути

Действительный профиль
№ п/п S, м i, ‰ Rкр, м Sкр, м
      Ст. В  
    -1,5    
    -2    
    -4,5    
         
    +1    

Продолжение таблицы 1

    +3    
    +4,2    
         
    -5    
    -7,8    
         
    +9,4    
    +2    
      Ст. Б  
    -1,5    
    -3    
    -9,1    
         
    +3,1    
    +8    
         
    -2,7    
    -3    
      Ст. А  

 


В качестве расчетного подъема в данном случае нужно принять элемент +8/3600, так как он является самым трудным для преодоле­ния. Поезд преодолевает подъем небольшой длины (1500 м) и небольшой крутизны (+3,1 ‰), следовательно, перед следующим подъемом, который принят в качестве расчетного, скорость поезда уже будет падать, вследс­твие чего кинетическая энергия поезда будет недостаточной для пре­одоления достаточного затяжного (3600 м) подъема "по инерции".

При выполнении тяговых расчетов, связанных с движением поезда, число элементов действительного (заданного) продольного профиля пути уменьшают за счет группировки небольших по длине элементов и эквивалентной замене каждой группы элементов профиля одним суммарным. Одновременно все кривые, находящиеся на пути, спрям­ляют в плане, заменяя их фиктивными подъемами. Помимо сокращения объема вычислений предварительная под­готовка профиля (спрямление) в ряде случаев позволяет уменьшить неизбежные погрешности тяговых расчетов.

Крутизна уклона суммарного профиля i’c ‰ представляет собой отношение разности отметок высот (Нк – Нн) крайних точек к его длине Sс, увеличенное в 1000 раз

где НкНн - разность отметок высоты головки рельса в конце и нача­ле суммарного участка над уровнем моря, м;

Sс – суммарная длина спрямляемых элементов профиля, м;

‰ – промилле (тысячная часть числа), т. е. 1‰ = 0,001

 

 

При отсутствии отметок высот крутизна суммарного профиля определяется по следующей формуле, ‰:

где 1, 2, … n – номера спрямляемых элементов.

Для избегания больших погрешностей при тяговых расчетах, например, при определении времени хода поезда по участку, необхо­димо провести проверку допустимости замены группы элементов действительного профиля одним суммарным. Данная проверка прово­дится для каждого (i -ого) в отдельности элемента действительного профиля, входящего в спрямляемый участок по формуле, м:

 

При анализе профиля пути все кривые участки пути заменяют фиктивными подъемами по формуле ‰:

а при задании их центральными углами a°:

где 1, 2, … j – номера кривых участков пути, находящихся на спрямляемом участке;

Sкр – длина кривой в пределах спрямленного участка, м;

R – радиус кривой, м;

a – центральный угол кривой радиусом Ri, град.

 

Окончательная крутизна уклона спрямленного участка с учетом кривых (приведенный уклон), ‰:


где знак перед определяется характером уклона спрямленного участка: подъем - "+", спуск - "-". Величина фиктивного уклона , заменяющего действие дополнительного сопротивления от кривых, всегда положительна.

 

Анализ профиля пути показывает, что возможна группировка и замена суммарным пяти групп элементов: (2, 3, 4), (5, 6), (16, 17), (19, 20) и (22, 23, 24); на элементах под номерами 8, 13, 16 и 21 расположены кривые.

 

Определяем суммарный уклон без учета кривых для первой группы элементов (2, 3, 4) по (2):

 

Определяем суммарный уклон без учета кривых для второй группы элементов (5, 6) по (2):

Определяем суммарный уклон без учета кривых для третьей группы элементов (16, 17) по (2):

 

Определяем суммарный уклон без учета кривых для четвертой группы элементов (19, 20) по (2):

 

Определяем суммарный уклон без учета кривых для пятой группы элементов (22, 23, 24) по (2):

 

Проверяем по (3) возможность спрямления элементов группы (2, 3, 4) для каждого действительного элемента профиля:

 

Проверяем по (3) возможность спрямления элементов группы (5, 6) для каждого действительного элемента профиля:

 

Проверяем по (3) возможность спрямления элементов группы (16, 17) для каждого действительного элемента профиля:

 

Проверяем по (3) возможность спрямления элементов группы (19, 20) для каждого действительного элемента профиля:

 

 

Проверяем по (3) возможность спрямления элементов группы (22, 23, 24) для каждого действительного элемента профиля:

Во всех рассмотренных случаях условие проверки выполняет

 

Определяем величину фиктивного подъема от кривой и величину приведенного уклона для элемента 8 по (4) и (5):

 

Определяем величину фиктивного подъема от кривой и величину приведенного уклона для элемента 13 по (4) и (5):

Определяем величину фиктивного подъема от кривой и величину приведенного уклона для элемента 16 по (4) и (5):

 

Определяем величину фиктивного подъема от кривой и величину приведенного уклона для элемента 21 по (4) и (5):

 

Результаты всех расчетов занесем в табл. 2.

 

Таблица 2 - Расчет спрямления профиля

Действительный профиль Спрямленный профиль Проверки
№ п/п S, м i, ‰ Rкр, м Sкр, м № п/п S, м i, ‰
      Ст. В          
    -1,5         -2,5 1300<2000
    -2           900<4000
    -4,5           850<1000
              +0,3 1000<6667

 


Продолжение таблицы 2

Действительный профиль Спрямленный профиль Проверки
№ п/п S, м i, ‰ Rкр, м Sкр, м № п/п S, м i, ‰
    +1           500<2857
    +3         +3  
    +4,2         +4,5  
                 
    -5         -5  
    -7,8         -7,8  
                 
    +9,4         +9,7 проверяемый
    +2         +2  
      Ст. Б          
    -1,5         -1,5 1800<3333
    -3           1200<2222
    -9,1         -9,1  
              +2 800<1000
    +3,1           1500<1818
    +8         +8,2 расчетный
              -1,7 1200<1201
    -2,7           900<2000
    -3           800<1538
      Ст. А          

 


2. ОПРЕДЕЛЕНИЕ ВЕСА (МАССЫ) СОСТАВА ГРУЗОВОГО ПОЕЗДА С УЧЕТОМ ОГРАНИЧЕНИЙ ПО УСЛОВИЯМ ЭКСПЛУАТАЦИИ

2.1.Определение расчетного веса (массы) состава грузового поезда.

 

Вес состава грузового поезда является одним из важнейших качественных показателей работы железных дорог. Правильный выбор веса состава грузового поезда позволяет снизить себестоимость и повысить экономичность перевозок, наиболее полно использовать мощ­ность локомотивов без снижения надежности их работы в эксплуата­ции. Превышение весовых норм поездов может вызвать порчи локо­мотивов в пути следования и, соответственно, привести к нарушению графика движения поездов.

Расчетный вес состава грузового поезда Qр определяется исходя из условий полного использования мощности заданной серии локомотива при равномерном движении по расчетному подъему с расчетной скорос­тью, кН:

где Fкр – расчетная сила тяги локомотива (с учетом числа секций) при расчетной скорости vр, Н;

Р – расчетный вес локомотива (с учетом числа секций), кН;

– основное удельное сопротивление движению локомотива в режиме тяги при расчетной скорости, Н/кН;

– основное удельное сопротивление движению грузового со­става (вагонов) при расчетной скорости, Н/кН (расчетные формулы приведены в табл. 4);

iр – крутизна расчетного подъема, ‰

Расчетная масса состава грузового поезда, т

где g – ускорение свободного падения, м/с (g = 9,81 м/с)

 

 

Для дальнейших расчетов выберем две серии электровозов и одну серию тепловоза. Расчетные параметры грузовых локомотивов приведены в табл. 3

 

Таблица 3 - Расчетные параметры грузовых локомотивов

Серия локомотива 2ТЭ116 ВЛ10У ВЛ60К
Расчетная скорость, Vp, км/ч 24,2 45,8 43,5
Расчетная сила тяги, Fкр × 103, Н      
Касательная мощность при Vp, Nк, кВт      
Расчетный вес P, кH      
Сила тяги при v = 0, Fкр × 103, Н      
Конст­рукцион­ная скорость Vк, км/ч      
Длина локо­мотива lл, м      

 

Таблица 4 - Расчетные формулы для определения основного удельного сопротивления движению подвижного состава на звеньевом пути

Тип подвижного состава Расчетная формула (w – [Н/кН]; q0 – [т]; v – [км/ч])
Тепловозы и электровозы:  
- режим тяги
- режим холостого хода
Вагоны груженые:  
- четырехосные на подшипниках скольжения
- четырехосные на роликовых подшипниках
- шестиосные*
- восьмиосные*
Состав поезда

*- шести- и восьмиосные вагоны имеют буксы только с роликовыми подшипниками.

 

В табл. 5 приведены характеристики составов грузовых поездов согласно выбранным локомотивам

 

Таблица 5 - Характеристика состава грузового поезда

Серия локомотива Процент вагонов по весу состава Масса вагонов брутто, т
4-х-осных на ПС a 4-х- осных на ПК a 6-осных b 8-осных g 4-осного m4 6-осного m6 8-осного m8
2ТЭ116              
ВЛ10У              
ВЛ60К              

 

Согласно табл. 4 определим основное удельного сопротивления движению подвижного состава для тепловоза 2ТЭ116:


Согласно табл. 4 определим основное удельного сопротивления движению подвижного состава для электровоза ВЛ10У:


 

Согласно табл. 4 определим основное удельного сопротивления движению подвижного состава электровоза ВЛ60К:


 

По (7) расчетный вес состава грузового поезда для тепловоза 2ТЭ116:

 

По (7) расчетный вес состава грузового поезда для электровоза ВЛ10У:

 

По (7) расчетный вес состава грузового поезда для электровоза ВЛ60К:

 

 

По (8) расчетная масса состава грузового поезда для тепловоза 2ТЭ116:

 

По (8) расчетная масса состава грузового поезда для электровоза ВЛ10У:

 

По (8) расчетная масса состава грузового поезда для электровоза ВЛ60К:

2.2. Уточнение веса грузового состава с учетом ограничений

 

Расчетный вес состава грузового поезда, определенный из усло­вия равномерного движения по расчетному подъему с расчетной ско­ростью, следует уточнить (проверить) по условиям эксплуатации. К числу ограничений веса поезда по условиям эксплуатации можно отнести: длину приемо-отправочных путей станций; возможность трогания поезда с места; перегрев обмоток тяговых электродвигате­лей локомотивов; прочность автосцепных приборов и ряд других. Также расчетный вес поезда следует проверить на возможность преодоления более крутых подъемов, чем принятый за расчетный, за счет использования кинетической энергии поезда.

 

2.2.1. Проверка на возможность преодоления проверяемых подъемов за счет использования кинетической энергии поезда

Основная задача проверки – сможет ли локомотив провести поезд расчетного веса по самым трудным для преодоления элементам профиля (кроме расчетного подъема) со скоростью в конце подъемов не ниже расчетной, используя кинетическую энергию движущегося поезда.

При этом учитывается то обстоятельство, что локомотив ведет поезд по подъемам в режиме тяги и на движущийся поезд действуют уско­ряющие одновременно сила тяги и ранее накопленная им кинетическая энергия.

Путь S, который может пройти поезд по проверяемому подъ­ему при работе локомотива в режиме тяги, используя ранее накоп­ленную кинетическую энергию при снижении скорости не ниже рас­четной, не должен быть меньше длины данного подъема Sпр, т.е. S ³ Sпр.

Расчет длины пути S (м):

где n – число i -ых интервалов изменения скорости от начальной vн (можно принять vн = 70 км/ч) до конечной vк (можно принять равной расчетной скорости, т.е. vк = vр) с шагом D v £ 10 км/ч;

D vi – заданный интервал (шаг) изменения скорости от начальной vн до конечной vк, т.е. D vi = vкi – vнi;

D vср – средняя скорость движения поезда на i -ом интервале ее изменения;

rуi – среднее значение удельной равнодействующей силы, действующей на поезд в каждом интервале скоростей D vi , Н/кН:

где iпр – крутизна проверяемого элемента профиля, ‰;

Fк срi – сила тяги локомотива [Н], соответствующая средней скорости движения vср в i -ом интервале ее изменения, определяемая по внешней тяговой характеристике F=f(v);

, – основное удельное сопротивление движению локомотива и вагонов [Н/кН], определяются по формулам, приведенным в табл. 3 для vср.

 

Пример расчета по (9) и (10) для одного локомотива, произведенный с помощью ЭВМ, приведены в приложении 1

 

Результат расчета длины пути S для всех локомотивов:

ВЛ10У: S = 3878 м

ВЛ60К: S = 4864 м

2ТЭ116: S = 3072 м

 

Все локомотивы способны провести поезда по проверяемому подъему

2.2.2. Уточнение веса поезда в соответствии с числом вагонов

 

При расчете величины Qр не учитывалось то обстоятельство, что поезд состоит из конкретного числа вагонов различного типа. Поэтому расчетный вес поезда необходимо уточнить в соответствии с реальным числом вагонов, кН:

где mi – масса грузового вагона i -го типа, т

ni – число вагонов (целое число) i -го типа в составе поезда

где ai – доля веса вагонов i -го типа в составе поезда

 

Определим число вагонов каждого типа в поезде для тепловоза 2ТЭ116 по (12):

 

Определим число вагонов каждого типа в поезде для электровоза ВЛ10У по (12):

 

Определим число вагонов каждого типа в поезде для электровоза ВЛ60К по (12):

 

 

Вес поезда для тепловоза 2ТЭ116, уточненный в соответтвии с числом вагонов по (11):

 

Вес поезда для электровоза ВЛ10У, уточненный в соответтвии с числом вагонов по (11):

 

Вес поезда для электровоза ВЛ60К, уточненный в соответтвии с числом вагонов по (11):

 

2.2.3. Проверка по длине приемо-отправочных путей станции

 

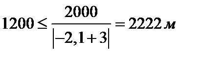
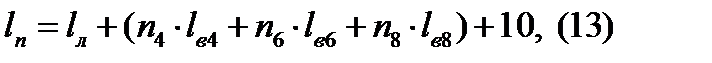
Длина поезда lп при уточненном весе состава не должна превышать длину приемо-отправочных путей станции (для возможно­сти скрещения, остановки или обгона), т.е. lп £ lст.

Длина поезда с учетом допуска на неточность установки поезда 10 м, м:

где lв4, lв6, lв8 – длина четырех-, шести-, восьмиосных вагонов по осям автосцепок, соответственно, м (приведена в табл. 6);

lл – длина локомотива по осям автосцепок, м (приведена в табл. 3).

Таблица 6 - Условная длина некоторых типов вагонов

Тип вагона Длина вагона, м
Четырехосные полувагоны  
Шестиосные полувагоны  
Восьмиосные полувагоны  

При невыполнении условия lп £ lст число вагонов (любо­го типа) в составе и, следовательно, вес грузового состава должны быть уменьшены. Длину приемо-отправочных путей станции можно принять равной 1250 м.

 

Длина поезда lп с тепловозом 2ТЭ116 во главе по (13):

 

Длина поезда lп с электровозом ВЛ10У во главе по (13):

 

Длина поезда lп с электровозом ВЛ60К во главе по (13):

 

2.4. Определение максимальной крутизны подъема imax, на котором возможно трогание с места поезда уточненного веса q после остановки.

где Fкр – максимальная сила тяги локомотива при трогании (приведена в табл. 3);

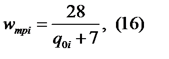
wтр – удельное сопротивление состава поезда при трогании с места на прямом горизонтальном пути, Н/кН:

где wтрi – удельное сопротивление при трогании вагона i -го типа, Н/кН.

 

Удельное сопротивление при трогании для вагонов i -го типа на подшипниках качения:

Удельное сопротивление при трогании для 4-осных вагонов на подшипниках скольжения, Н/кН:

 

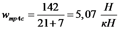
Определим удельное сопротивление вагонов поезда при трогании по (16) и (17) с тепловозом 2ТЭ116 во главе:

 

Определим удельное сопротивление вагонов поезда при трогании по (16) с электровозом ВЛ10У во главе:

 

Определим удельное сопротивление вагонов поезда при трогании по (16) с электровозом ВЛ60К во главе:

 

По (15) удельное сопротивление состава поезда при трогании с места на прямом горизонтальном пути с тепловозом 2ТЭ116 во главе:

 

По (15) удельное сопротивление состава поезда при трогании с места на прямом горизонтальном пути с электровозом ВЛ10У во главе:

 

По (15) удельное сопротивление состава поезда при трогании с места на прямом горизонтальном пути с электровозом ВЛ60К во главе:

 

 

Определим по (14) максимальную крутизну подъема imax, на котором возможно трогание с места после остановки поезда с тепловозом 2ТЭ116 во главе:

На всех участках профиля кроме проверяемого возможно трогание с места поезда уточненного веса Q после остановки

 

 

Определим по (14) максимальную крутизну подъема imax, на котором возможно трогание с места после остановки поезда с электровозом ВЛ10У во главе:

На всех участках профиля кроме проверяемого возможно трогание с места поезда уточненного веса Q после остановки

 

 

Определим по (14) максимальную крутизну подъема imax, на котором возможно трогание с места после остановки поезда с электровозом ВЛ60К во главе:

На всех участках профиля кроме проверяемого возможно трогание с места поезда уточненного веса Q после остановки

 

 

Окончательно масса грузового поезда Мп, с учетом ограничений по условиям экс­плуатации, т:

 

Масса грузового поезда Мп с тепловозом 2ТЭ116 во главе, с учетом ограничений по условиям эксплуатации по (18):

 

Масса грузового поезда Мп, с электровозом ВЛ10У во главе с учетом ограничений по условиям эксплуатации по (18):

 

Масса грузового поезда Мп с электровозом ВЛ60К во главе с учетом ограничений по условиям эксплуатации по (18)


3. ВЫБОР СЕРИИ И ЧИСЛА СЕКЦИИ ЛОКОМОТИВОВ ДЛЯ ВЕДЕНИЯ ГРУЗОВОГО ПОЕЗДА ЗАДАННОГО ВЕСА

 

Необходимая величина силы тяги локомотива для ведения грузового поезда заданного веса по расчетному подъему с расчетной равномерной скоростью может быть определена из следующего выражения, Н:

где Q – вес грузового состава поезда, кН;

iр – крутизна расчетного подъема, ‰;

– отношение веса состава поезда к весу локомотива (может быть определено по графику , представленному на рисунке 1);

– основное удельное сопротивление движению поезда, Н/кН:

где величины и определяются по формулам, приведенным в табл. 4 для расчетной скорости км/ч, Н/кН.

 

Для начала определим число вагонов каждого типа в поезде по (12) и общий вес грузового состава поезда по (11):

 

 

Рисунок 1 - Определение относительного веса состава q по крутизне расчетного подъема iр

 

Определим длину грузового состава по (13):

 

Согласно табл. 4 и (20) рассчитаем основное удельное сопротивление движению поезда:

 

Согласно (19) рассчитаем минимальную силу тяги:

 

Минимально необходимая для ведения поезда касательная мощность локомотива, кВт:

 

Минимально необходимая для ведения поезда с расчетной скоростью суммарная (эффективная) мощность секций тепловоза, кВт:

где – коэффициент использования мощности дизеля;


Минимально необходимая для ведения поезда суммарная мощность секций электровоза (мощность на валах тяговых двигателей в продолжительном режиме), кВт:

- постоянного тока

- переменного тока

где – к.п.д. тяговых электродвигателей электровозов;

– к.п.д. тяговой передачи электровозов;

– к.п.д. выпрямительной установки электровоза переменного тока;

0,98 – к.п.д. тягового трансформатора электровоза переменного тока

 

По величине FKmin или NKmin выбираем по [4] три серии локомотивов с соответствующим числом секций и расчетными пара­метрами не ниже минимально необходимых. Расчетные параметры выбранных серий локомотивов представлены в табл. 7

 

Таблица 7 - Расчетные параметры сравниваемых серий локомотивов

№ п/п Основные параметры локомотивов Параметры, полученные расчетом Серии локомотивов
2ВЛ10У 2ВЛ80С 3ТЭ10М
1. Эффективная мощность (мощность продолжительного режима), кВт        
2. Число секций -      
3. Расчетная сила тяги, Н -      
4. Расчетная скорость, км/ч - 45,8 43,5 23,4
5. Конструкционная скорость, км/ч -      
6. Расчетный вес, кН 2864,5      

4. РАСЧЕТ ЗНАЧЕНИЙ РАВНОДЕЙСТВУЮЩИХ СИЛ, ДЕЙСТВУЮЩИХ НА ПОЕЗД ПРИ ЕГО ДВИЖЕНИИ

 

Движение поезда складывается из элементов этого процесса, относящихся к трем основным режимам движения: тяги, холостого хода и полного служебного торможения. В исключительных случаях машинист имеет возможность также применить режим экстренного торможения.

В соответствии с уравнением движения поезда, равнодейству­ющая удельных сил r в зависимости от режима ведения поезда по прямому горизонтальному пути определяется следующими урав­нениями, Н/кН:

- режим тяги (ускоряющая сила)

- режим холостого хода (замедляющая сила)

- режим полного служебного торможения (замедляющая сила)

- режим экстренного торможения (замедляющая сила)

 

Расчеты значений равнодействующих удельных сил, действую­щих на поезд при его движении, проводятся с помощью [4] и представлены в табл. 8–10


Таблица 8 - Расчет значений удельных равнодействующих сил для электровоза 2ВЛ10У

№ п/п Расчетный параметр Размер­ность Скорость, км/ч
          45,8
1. Сила тяги, Fкр × 103 Н 1334,2 1118,3 1063,4   1002,6 984,9
2. Удельная сила тяги, fK Н/кН 21,77 18,25 17,35 16,87 16,36 16,07
3. Основное удель­ное сопротивле­ние движению локомотива в режиме тяги, w0 Н/кН 1,90 2,03 2,22 2,47 2,78 2,99
4. Основное удель­ное сопротивление движению вагонов, w” 0 Н/кН 0,94 0,98 1,04 1,13 1,24 1,31
5. Основное удельное сопротивление движению поезда, w 0 Н/кН 1,00 1,05 1,12 1,22 1,34 1,42
6. Удельная ускоряю­щая сила (режим тяги), fK-w 0 Н/кН 20,77 17,20 16,23 15,65 15,02 14,65
7. Основное удельное сопротивление дви­жению локомотива в режиме холостого хода, w’ 0 X Н/кН 2,40 2,55 2,76 3,05 3,40 3,64
8. Удельная замедляю­щая сила (режим хо­лостого хода), - w’ 0 X Н/кН 1,03 1,07 1,15 1,24 1,37 1,46
9. Удельная тормозная сила, bТ Н/кН 89,10 65,34 53,46 46,33 41,58 39,49
10. Удельная замедляю­щая сила (тормозной режим), Н/кН 45,58 33,74 27,88 24,41 22,16 21,20
11. Удельная замедляю­щая сила (режим экстренного торможения), Н/кН 90,13 66,41 54,61 47,58 42,95 40,95

Продолжение таблицы 8

 

№ п/п Расчетный параметр Размер­ность Скорость, км/ч
             
1. Сила тяги, Fкр × 103 Н 973,2 953,6 786,8 527,8 392,4 294,3 219,7
2. Удельная сила тяги, fK Н/кН 15,88 15,56 12,84 8,61 6,40 4,80 3,58
3. Основное удель­ное сопротивле­ние движению локомотива в режиме тяги, w0 Н/кН 3,15 3,40 3,58 4,07 4,62 5,23 5,90
4. Основное удель­ное сопротивление движению вагонов, w” 0 Н/кН 1,37 1,45 1,52 1,69 1,89 2,11 2,35
5. Основное удельное сопротивление движению поезда, w 0 Н/кН 1,48 1,58 1,65 1,85 2,07 2,31 2,58
6. Удельная ускоряю­щая сила (режим тяги), fK-w 0 Н/кН 14,40 13,98 11,18 6,76 4,34 2,49 1,00
7. Основное удельное сопротивление дви­жению локомотива в режиме холостого хода, w’ 0 X Н/кН 3,83 4,11 4,32 4,89 5,52 6,23 7,00
8. Удельная замедляю­щая сила (режим хо­лостого хода), - w’ 0 X Н/кН 1,51 1,63 1,69 1,89 2,11 2,36 2,63
9. Удельная тормозная сила, bТ Н/кН 38,19 36,58 35,64 33,66 32,08 30,78 29,70
10. Удельная замедляю­щая сила (тормозной режим), Н/кН 20,61 19,92 19,51 18,72 18,15 17,75 17,48
11. Удельная замедляю­щая сила (режим экстренного торможения), Н/кН 39,70 38,21 37,33 35,55 34,18 33,14 32,33

Таблица 9 - Расчет значений удельных равнодействующих сил для электровоза 2ВЛ80С

№ п/п Расчетный параметр Размер­ность Скорость, км/ч
          43,5  
1. Сила тяги, Fкр × 103 Н 1357,7 1169,4 1098,7 1051,6 1012,4   984,9
2. Удельная сила тяги, fK Н/кН 22,27 19,18 18,02 17,25 16,60 16,48 16,15
3. Основное удель­ное сопротивле­ние движению локомотива в режиме тяги, w0 Н/кН 1,90 2,03 2,22 2,47 2,78 2,90 3,15
4. Основное удель­ное сопротивление движению вагонов, w” 0 Н/кН 0,94 0,98 1,04 1,13 1,24 1,28 1,37
5. Основное удельное сопротивление движению поезда, w 0 Н/кН 1,00 1,04 1,11 1,21 1,33 1,38 1,47
6. Удельная ускоряю­щая сила (режим тяги), fK-w 0 Н/кН 21,27 18,14 16,91 16,04 15,28 15,11 14,68
7. Основное удельное сопротивление дви­жению локомотива в режиме холостого хода, w’ 0 X Н/кН 2,40 2,55 2,76 3,05 3,40 3,54 3,83
8. Удельная замедляю­щая сила (режим хо­лостого хода), - w’ 0 X Н/кН 1,03 1,07 1,15 1,24 1,37 1,42 1,51
9. Удельная тормозная сила, bТ Н/кН 89,10 65,34 53,46 46,33 41,58 40,27 38,19
10. Удельная замедляю­щая сила (тормозной режим), Н/кН 45,58 33,74 27,88 24,41 22,16 21,55 20,61
11. Удельная замедляю­щая сила (режим экстренного торможения), Н/кН 90,13 66,41 54,61 47,58 42,95 41,69 39,70

Продолжение таблицы 9

 



№ п/п Расчетный параметр Размер­ность Скорость, км/ч
56,5            
1. Сила тяги, Fкр × 103 Н 953,5 847,6 592,5 435,6 339,4 268,8 211,9
2. Удельная сила тяги, fK Н/кН 15,64 13,90 9,72 7,14 5,57 4,41 3,48
3. Основное удель­ное сопротивле­ние движению локомотива в режиме тяги, w0 Н/кН 3,42 3,58 4,07 4,62 5,23 5,90 6,63
4. Основное удель­ное сопротивление движению вагонов, w” 0 Н/кН 1,46 1,52 1,69 1,89 2,11 2,35 2,61
5. Основное удельное сопротивление движению поезда, w 0 Н/кН 1,58 1,64 1,84 2,05 2,30 2,56 2,85
<== предыдущая | следующая ==>
Строение животной клетки | Терапия





Date: 2015-08-06; view: 866; Нарушение авторских прав



mydocx.ru - 2015-2026 year. (0.787 sec.) Все материалы представленные на сайте исключительно с целью ознакомления читателями и не преследуют коммерческих целей или нарушение авторских прав - Пожаловаться на публикацию