Главная Случайная страница


Полезное:

Как сделать разговор полезным и приятным Как сделать объемную звезду своими руками Как сделать то, что делать не хочется? Как сделать погремушку Как сделать так чтобы женщины сами знакомились с вами Как сделать идею коммерческой Как сделать хорошую растяжку ног? Как сделать наш разум здоровым? Как сделать, чтобы люди обманывали меньше Вопрос 4. Как сделать так, чтобы вас уважали и ценили? Как сделать лучше себе и другим людям Как сделать свидание интересным?


Категории:

АрхитектураАстрономияБиологияГеографияГеологияИнформатикаИскусствоИсторияКулинарияКультураМаркетингМатематикаМедицинаМенеджментОхрана трудаПравоПроизводствоПсихологияРелигияСоциологияСпортТехникаФизикаФилософияХимияЭкологияЭкономикаЭлектроника






Коэффициент n при f < 100 определяется





в зависимости от vм формуле:

n=1 при vm ≥ 2

Расстояние Xм (м) от источника выбросов, на котором приземная концентрация при неблагоприятных метеорологических условиях достигает максимального значения См (мг/м3), определяется по формуле:

 

 


безразмерный коэффициент d при f < 100 находится по формулам:

 


Значение опасной скорости Uм (м/с) на уровне флюгера (обычно 10 м от уровня земли), при которой достигается наибольшее значение приземной концентрации вредных веществ См, в случае f < 100 определяется по формуле:

 

 


Опасность загрязнения атмосферы указанными веществами:

 

Jзолы = 0,44 /0,5=0,8

 

JNOx+SO2 = 0,06/0,085 + 0,13/0,5=0,96

Ни одна из концентраций не превышает ПДК. Никаких мер предпринимать не нужно.

 

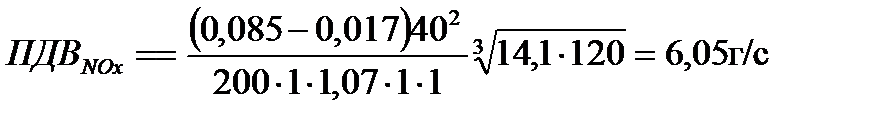
Значение ПДВ (г/с) для одиночного источника с круглым устьем в случаях Сф < ПДК определяется для горячих выбросов по формуле:

 

 


Вывод: изучили путем выполнения конкретного расчета методику определения параметров загрязнения воздушного бассейна от одиночных точечных источников на предприятии.

В работе определяли максимальную приземную концентрацию загрязняющих веществ См, расстояние от источника выброса до точки с максимальной приземной концентрацией Xм, опасную скорость ветра Uм, опасность загрязнения атмосферы J

 







Date: 2015-08-06; view: 516; Нарушение авторских прав



mydocx.ru - 2015-2026 year. (0.189 sec.) Все материалы представленные на сайте исключительно с целью ознакомления читателями и не преследуют коммерческих целей или нарушение авторских прав - Пожаловаться на публикацию