Главная Случайная страница


Полезное:

Как сделать разговор полезным и приятным Как сделать объемную звезду своими руками Как сделать то, что делать не хочется? Как сделать погремушку Как сделать так чтобы женщины сами знакомились с вами Как сделать идею коммерческой Как сделать хорошую растяжку ног? Как сделать наш разум здоровым? Как сделать, чтобы люди обманывали меньше Вопрос 4. Как сделать так, чтобы вас уважали и ценили? Как сделать лучше себе и другим людям Как сделать свидание интересным?


Категории:

АрхитектураАстрономияБиологияГеографияГеологияИнформатикаИскусствоИсторияКулинарияКультураМаркетингМатематикаМедицинаМенеджментОхрана трудаПравоПроизводствоПсихологияРелигияСоциологияСпортТехникаФизикаФилософияХимияЭкологияЭкономикаЭлектроника






Підрахунок об’ємів земляних робіт





Практично доведено, що в польових умовах механізована розробка ґрунту складає 95%, а ручний добір ґрунту 5% від загального об’єму траншеї, в умовах населеного пункту – відповідно 85% і 15%.

 

Об’єм ґрунту, що розробляється екскаватором визначають за формулою:

(4.5)

Об'єм ручного добору ґрунту визначають наступним чином:

(4.6)

Крім вказаних робіт, необхідно передбачити приямки для зварювання неповоротних стиків, згідно з ДБН В.2.5-20-2001 розміри приямків для сталевих газопроводів повинні бути таких розмірів: довжина – 1,0 м; ширина – D + 1 м; глибина – на 0,7 м нижче дна траншеї. Необхідно також виконати додаткове зрізання укосів траншеї.

Приямки для зварювання неповоротних стиків, а також котловани для установки конденсатозбірників, гідрозатворів та інших пристроїв повинні розроблятися безпосередньо перед виконанням цих робіт.

Практично доведено, що об’єм робіт під час розробки ґрунту вручну при влаштуванні приямків звичайно не перевищує 5% від загального геометричного об’єму траншеї:

(4.7)

Загальний об’єм ґрунту, що розробляється вручну визначають за формулою:

(4.8)

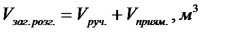
Загальний об’єм розробленого ґрунту, становить:

(4.9)

Під час засипання траншеї спочатку газопровід присипають вручну на 20 см вище верху труби h. Присипку газопроводу виконують м’яким ґрунтом без твердих і грубих виключень:

 

(4.10)

Об’єм ґрунту, що витісняється трубою становить:

(4.11)

де – число

– довжина газопроводу, м.

Об’єм ґрунту для підбивки пазух, засипання приямків і влаштування

присипки газопроводу визначаємо наступним чином:

(4.12)

Загальний об’єм робіт по засипанню траншеї бульдозером визначаємо

за формулою:

(4.13)

Загальний об’єм робіт по засипанню траншеї становить:

(4.14)

Підрахунок об’ємів земляних робіт при розробці траншеї виконують для ґрунтів у щільному стані. Тому об’єми робіт по розробці траншеї повинні дорівнювати об’ємам робіт по засипанню, при цьому необхідно врахувати об’єм газопроводу.

Об’єм ґрунту, що підлягає вивезенню – це ґрунт, що витісняється трубою і ґрунт, що враховує коефіцієнт кінцевого рихлення, визначаємо наступним чином:

(4.15)

де К2 – відсоток кінцевого розрихлення, який залежить від типу ґрунту.

Об’єм ґрунту, що підлягає вивезенню становить:

(4.16)

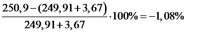
Щоб перевірити правильність проведення розрахунків проводжу баланс земляних робіт:

(4.17)

Похибка не перевищує ±5, отже розрахунок зроблено вірно.







Date: 2015-08-06; view: 443; Нарушение авторских прав



mydocx.ru - 2015-2026 year. (0.523 sec.) Все материалы представленные на сайте исключительно с целью ознакомления читателями и не преследуют коммерческих целей или нарушение авторских прав - Пожаловаться на публикацию