Главная Случайная страница


Полезное:

Как сделать разговор полезным и приятным Как сделать объемную звезду своими руками Как сделать то, что делать не хочется? Как сделать погремушку Как сделать так чтобы женщины сами знакомились с вами Как сделать идею коммерческой Как сделать хорошую растяжку ног? Как сделать наш разум здоровым? Как сделать, чтобы люди обманывали меньше Вопрос 4. Как сделать так, чтобы вас уважали и ценили? Как сделать лучше себе и другим людям Как сделать свидание интересным?


Категории:

АрхитектураАстрономияБиологияГеографияГеологияИнформатикаИскусствоИсторияКулинарияКультураМаркетингМатематикаМедицинаМенеджментОхрана трудаПравоПроизводствоПсихологияРелигияСоциологияСпортТехникаФизикаФилософияХимияЭкологияЭкономикаЭлектроника






Дополнение. Электродинамика веществ с одновременно отрицательными значениями диэлектрической и магнитной проницаемостей

 

Электродинамика веществ с одновременно отрицательными значениями диэлектрической и магнитной проницаемостей.

 

Если не учитывать потерь при распространении электромагнитных волн в веществе и считать , и действительными числами, то из выражения

(1)

следует, что одновременная смена знаков и никак не отражается на этом соотношении.

Рассмотрим несколько возможных объяснений этого положения.

Во-первых, можно признать, что свойства веществ действительно не зависят от одновременной смены знаков и .

Во-вторых, может оказаться, что одновременная отрицательность значений и противоречит каким-либо законам природы, и поэтому вещества с и просто не могут существовать.

И, наконец, в-третьих, следует допустить, что вещества с отрицательными и обладают какими-то свойствами, отличными от свойств веществ с положительными и .

Как показал В.Г. Веселаго ([1]:УФН, 1967, т.92, вып.3, стр.517-526 и других работах), осуществляется именно третий случай.

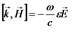
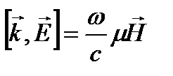
Чтобы выявить закономерности, определяемые знаком и , обратимся к уравнениям Максвелла и материальным уравнениям, где и выступают раздельно, а не в виде произведения:

 

,

, .

Для плоской монохроматической волны, где все величины пропорциональны , эти уравнения сводятся к

,

.

Из этих выражений сразу же следует, что при и , образуют правую тройку векторов, а при и левую.

Волна, распространяющаяся в какой-либо среде, может характеризоваться матрицей

,

где , , – направляющие косинусы векторов , , соответственно.

Определитель этой матрицы равен , если тройка векторов , права, и , если эта тройка левая. Обозначив этот определитель через , можно сказать, что в зависимости от знака он характеризует “правизну” или “левизну” рассматриваемой среды.

Поток энергии, переносимой волной, определяется вектором Пойнтинга

.

Вектор всегда образует с векторами и правую тройку. Т. о., для правых веществ векторы и сонаправлены, а для левых направлены в разные стороны.

 

Материалы с и принято характеризовать отрицательным коэффициентом преломления, т.е. . При этом сам закон Снеллиуса:

не испытывает изменений.

В англоязычной литературе такие материалы называются left-handed materials, сокращенно LHM.

 

Первые эксперименты в разделе электродинамики – электродинамика материалов с отрицательным сопротивлением – были выполнены группой физиков из университета Сан-Диего (США). Необычные свойства некоторых композитных материалов чисто формально могут быть объяснены, если принять, что они обладают отрицательным коэффициентом преломления .

Эти материалы представляют собой совокупность небольших металлических элементов, которые в объеме расположены в строгом геометрическом порядке, образуя структуру, напоминающую своего рода кристалл.

Структуру такого рода можно рассматривать сплошную для длин волн, заметно превосходящих размер составляющих её элементов и расстояние между ними. В упомянутых работах эксперименты проводились в сантиметровом диапазоне длин волн, а элементы композитов и расстояния между ними имели характерный размер порядка 7 – 10 мм.

Для материалов с характерна необычная реализация не только закона Снеллиуса, но и ряда других явлений электродинамики и оптики, в частности, эффектов Доплера и Черенкова, формул Френеля, принципа Ферма.

Существенно, что все сделанные утверждения относятся к изотропным материалам, которые характеризуются скалярными величинами , и .

Отрицательное значение соответствует тому факту, что в этих материалах направления вектора и вектора Пойнтинга антипараллельны, или, что то же, антипараллельны направления фазовой и групповой скоростей волны.

Следует заметить, что сам факт существования противоположно направленных фазовой и групповой скоростей не является чем-то совершенно новым. Он обсуждался, в частности, еще в работе Мандельштама (1945 г.) Кроме того, давно были известны электронные устройства, например, лампы обратной волны (ЛОВ), в которых фазовая скорость направлена противоположно потоку энергии. В последнее время очень интенсивно обсуждаются свойства, так называемых, фотонных кристаллов (Notomi M. Opt. Quantum Electron., 34, 133 (2002)), в которых также может быть реализована противоположная направленность векторов и . Однако фотонные кристаллы в общем случае являются существенно анизотропными материалами и также как ЛОВ не могут быть охарактеризованы скалярным коэффициентом преломления .


Теперь естественным образом возникает вопрос: в какой мере для веществ с справедливы те законы и формулы электродинамики, оптики и смежных наук, в которые входит коэффициент преломления ? Можем ли мы всегда рассчитывать на получение правильного результата при прямой замене на – , как это имеет место в для закона Снеллиуса?

В общем случае ответ на этот вопрос отрицательный. Это обусловлено тем, что большинство математических формулировок электродинамики и оптики записаны для слабомагнитных материалов, характеризуемых магнитной проницаемостью . Применение такого “немагнитного приближения” ведет к тому, что многие математические выражения, изначально содержащие , при подстановке оказываются верными только в этом приближении.

Из приведенной таблицы видно, что существуют три группы физических законов и эффектов, формулировки которых по-разному меняются при переходе от “немагнитного приближения” к точным выражениям.

К первой группе относится закон Снеллиуса и эффекты Доплера и Черенкова. В соответствующих формулах применяемое в “немагнитного приближении” выражение просто должно быть заменено на , причем если и оба отрицательные, то перед тоже следует ставить знак ‘минус’.

Вторую группу составляют законы отражения и преломления света, в частности, формулы Френеля. В этих выражениях при переходе от “немагнитного приближения” к точным выражениям величину следует заменить на (а не на ), где – волновое сопротивление среды. Волновое сопротивление среды имеет размерность “Ом” и является уникальной характеристикой каждой среды, наряду со скоростью света в ней. Из таблицы видно, что при отказе от “немагнитного приближения” существенно меняется, в частности, условие отсутствия отражения света на плоской границе раздела двух сред. Теперь это условие состоит в равенстве их волновых сопротивлений, а не в равенстве показателей преломления этих сред. Необходимо подчеркнуть, что при отрицательных значениях и волновое сопротивление остается положительным, в отличие от показателя преломления .

Третья группа содержит соотношения, зависящие от и существенно меняющиеся при переходе от “немагнитного приближения” к точным выражениям. К ним, в частности, относится соотношение, определяющее угол Брюстера . Точное выражение для угла Брюстера приведено в таблице. Важно отметить, что подкоренное выражение в точной формуле не меняется при одновременной смене знаков и в одной из сред. Подчеркнем, что приведенное в таблице выражение соответствует одной определенной поляризации света. Для поляризации света в перпендикулярной ей плоскости в подкоренном выражении следует произвести замены и . Т. о., отражение под углом Брюстера имеет место при любых значениях проницаемостей, но только для одной из двух взаимно перпендикулярных поляризаций падающего света.

Введение в оборот понятия “отрицательный коэффициент преломления” уточняет также формулировку такого фундаментального принципа, как принцип Ферма. Формулировка этого принципа встречается в литературе в различных вариантах.

Физический энциклопедический словарь: Простейшая форма Ф.п. – утверждение, что луч света всегда распространяется в пространстве между двумя точками по тому пути, вдоль которого время его прохождения меньше, чем вдоль любого из других путей, соединяющих эти точки.


Британская энциклопедия: Statement that light traveling between two points seeks a path such that the number of waves (the optical length between the points) is equal, in the first approximation, to that in neighbouring paths. Another way of stating this principle is that of the path taken by a ray of light in traveling between two points requires either a minimum or a maximum time.

Эти формулировки можно свести к двум основным.

1. Свет распространяется из одной точки пространства в другую по кратчайшей траектории. Термин “кратчайший” означает здесь минимальную затрату времени на прохождение этого пути.

2. Свет распространяется из одной точки пространства в другую по траектории, которая соответствует минимальной длине оптического пути. (Под термином “оптический путь” понимается расстояние, которое свет прошел бы в вакууме за время распространения от одной точки до другой, или же общее число длин волн, укладывающихся на этом пути.)

Кроме этих различий, часто утверждается (совершенно справедливо), что термин “минимум пути или времени” в некоторых случаях должен быть заменен на термин “максимум” или даже просто “экстремум”.

Правильной формулировкой принципа Ферма, как показал Веселаго (2002), пригодной для распространения электромагнитной волны в материалах с показателем преломления любого знака, является требование экстремальности суммарной длины оптического пути:

.

Интегрирование в этом выражении (являющегося, по сути, эйконалом) производится по реальному пути распространения света. Такой подход предусматривает, что длина оптического пути, пройденного электромагнитной волной в среде с отрицательным значением , также является отрицательной. Поэтому суммарная длина оптического пути, пройденного волной, может быть даже нулевой, хотя, конечно, геометрическая длина пути, по которому распространяется свет, и само время распространения света, разумеется, не равны нулю.

Для веществ с отрицательным коэффициентом преломления характерна несколько необычная реализация ряда основных законов оптики, в частности, закона Снеллиуса, эффектов Доплера и Черенкова. Так, например, преломленный луч на границе вакуума и среды с отрицательным коэффициентом преломления отклоняется в сторону, противоположную отклонению в “положительно преломляющей” среде.

Эта ситуация полностью описывается законом Снеллиуса:

,

как для положительных, так и отрицательных значений .

Точно также оказываются обращенными эффекты Доплера и Черенкова [1].

Выпуклые и вогнутые линзы как бы “меняются местами”, а обычная плоскопараллельная пластина может при некоторых условиях быть собирающей линзой (рис. 1).

 



<== предыдущая | следующая ==>
 | Транспорт предоставляется. Размещение в гостинице Охтинская





Date: 2015-08-06; view: 762; Нарушение авторских прав



mydocx.ru - 2015-2026 year. (3.904 sec.) Все материалы представленные на сайте исключительно с целью ознакомления читателями и не преследуют коммерческих целей или нарушение авторских прав - Пожаловаться на публикацию