Главная Случайная страница


Полезное:

Как сделать разговор полезным и приятным Как сделать объемную звезду своими руками Как сделать то, что делать не хочется? Как сделать погремушку Как сделать так чтобы женщины сами знакомились с вами Как сделать идею коммерческой Как сделать хорошую растяжку ног? Как сделать наш разум здоровым? Как сделать, чтобы люди обманывали меньше Вопрос 4. Как сделать так, чтобы вас уважали и ценили? Как сделать лучше себе и другим людям Как сделать свидание интересным?


Категории:

АрхитектураАстрономияБиологияГеографияГеологияИнформатикаИскусствоИсторияКулинарияКультураМаркетингМатематикаМедицинаМенеджментОхрана трудаПравоПроизводствоПсихологияРелигияСоциологияСпортТехникаФизикаФилософияХимияЭкологияЭкономикаЭлектроника






Выполнение работы





1. Исследование частотных характеристик вольтметров переменного тока.

Дано:

Показание электродинамического вольтметра=2,5В

Тип образцового электронного милливольтметра- электронный милливольтметр средневыпрямленного значения.

Таблица 8.1 Результаты определения частотных характеристик вольтметров

Частота сигнала, кГц ……… Показания вольтметров, погрешность, результат
Электрон- ный милливольтметр среднеквадратического значения электромагнитный вольтметр электродинамический вольтметр
Показание образцового вольтметра, В Показа-ние вольтметра, В Систематическая погрешность Показа-ние вольтметра, В Систематическая погрешность
Абсолю- тная, В Относи-тельная, % абсолю-тная, В Относи-тельная, %
0,02 2,5 2,5 0,0 0,0 2,5 0,0 0,0
0,2 2,5 2,5 0,0 0,0 2,5 0,0 0,0
  2,5 2,5 0,0 0,0 2,5 0,0 0,0
  2,5 2,2 0,3   2,5 0,0 0,0
  2,5 1,8 0,7   2,5 0,0 0,0
  2,5 1,3 1,2   2,5 0,0 0,0
  2,5 0,8 1,7   1,9 0,6  

 

Расчет: f=0.02кГц

Абсолютная погрешность определяется по формуле: , где

- показание вольтметра

– действительное значение

Относительная погрешность определяется по формуле:

 

2. Измерение параметров напряжения сигнала произвольной формы

Дано:

Частота f=60 Гц

Показание электронного пикового вольтметра – 2,5 В

Форма сигнала – синусоидальная и пилообразная.

 

Измерить параметры напряжения сигнала произвольной формы:

· среднеквадратическое значение;

· средневыпрямленное значение;

· пиковое значение.

Измерение каждого из параметров напряжения сигнала произвольной формы возможно только вольтметром с адекватным преобразователем.

При выполнении этого задания, используйте три электронных вольтметра с различными преобразователями: среднеквадратического, средневыпрямленного и пикового значений.

1. Установите на выходе генератора гармоническую синусоидальную форму сигнала и частоту 60 Гц.

2. Установите показание электронного пикового вольтметра с помощью регулятора выходного напряжения измерительного генератора равной 2,5В. Зарисуйте осциллограмму исследуемого сигнала.

1. Установите на выходе генератора гармоническую пилообразную форму сигнала и частоту 60 Гц.

2. Установите показание электронного пикового вольтметра с помощью регулятора выходного напряжения измерительного генератора равной 2,5В. Зарисуйте осциллограмму исследуемого сигнала.

 

Таблица 8.2 Результаты измерений пикового Um, средневыпрямленного Uср.в и среднеквадратического U значений напряжения для сигналов синусоидальной, треугольной, пилообразной и прямоугольной форм.

Форма измеряемого сигнала с частотой 90 Гц Вид измеряемого параметра Тип вольтметра, класс точности ,% Тип преобразователя Вид градуировки Градуировочный Коэффициент С гр Показание вольтметра , В Предел допускаемой абсолютной погрешности вольтметра , В Значение измеряемого параметра , В Предел допускаемой абсолютной погрешности измерения параметра В Предел допускаемой относительной погрешности измерения параметра, % Результат измерения параметра в двух формах
Синусоидальная Um ЭВп 2,5 Uп Ср.в. зн-ий гарм. сигнала     2,5   0,075   3.925 0,11775 =0,12   3,92±0,12В
  3,92В±3%
U ЭВкв 1,5 Uср.кв Ср.кв. зн-ий гарм. сигнала     2,78   0,045   2,78 0,045   1,61870 =1,7 2,780±0,045В
  2,780В±1,7%
U ср.в ЭВср.в 1,5 Uср.в Ср.кв. зн-ий гарм. сигнала     1,11     2,73     0,045     2,459 0,0405405 =0,041     1,485= 1,5 2,459±0,041В
  2,459В±1,5%
Пилообразная Um ЭВп 2,5 Uп Ср.в. зн-ий гарм. сигнала         2,5     0,075     3.925 0,11775 =0,12     3,92±0,12В
  3,92В±3%
U ЭВкв 1,5 Uср.кв Ср.кв. зн-ий гарм. сигнала     2,25   0,045   2,25 0,045     2,250±0,045В
  2,250В±2%
U ср.в ЭВс. 1,5 Uср.в Ср.кв. зн-ий гарм. сигнала   1,11   2,15   0,045   2,3865 0,0405405 =0,041   1,88560= 1,9 2,386±0,041В
  2,386В±1,9%

 


Расчет для синусоидальной формы Um:

1. Предел допускаемой абсолютной погрешности вольтметра определяется:

2. Значение измеряемого параметра определяется:

 

3. Предел допускаемой абсолютной погрешности измерения параметра :

4.Предел допускаемой относительной погрешности измерения параметра :

 

3. Измерение значения коэффициентов амплитуды, формы и усреднения сигналов различной формы.

Таблица 8.3 Результаты измерения параметров Ку,сигнала пилообразная формы.

Форма измеряемого сигнала с частотой 60 Гц Коэффициент усреднения
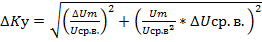
Ку ∆Ку δКу %
Пилообразная 1,64466 0,057 3,5

 

Расчет:

Kу= Um /Uср.в =

=

δ окр = (0,057 -0,05665)/ 0,05665·100% = 0.6 % δ окр < 5%

δ окр = (3,5 -3,44448)/ 3,44448·100% = 1,6 % δ окр < 5%

 

 

Вывод: в первой части работы мы увидели, что на маленьких частотах до 1 кГц показания электромагнитного вольтметра более точны, чем у электродинамического вольтметра. Но с превышением частоты более 1 кГц видно обратное явление, то есть электродинамический вольтметр более точен.

 

 







Date: 2015-08-06; view: 522; Нарушение авторских прав



mydocx.ru - 2015-2026 year. (2.521 sec.) Все материалы представленные на сайте исключительно с целью ознакомления читателями и не преследуют коммерческих целей или нарушение авторских прав - Пожаловаться на публикацию