Главная Случайная страница


Полезное:

Как сделать разговор полезным и приятным Как сделать объемную звезду своими руками Как сделать то, что делать не хочется? Как сделать погремушку Как сделать так чтобы женщины сами знакомились с вами Как сделать идею коммерческой Как сделать хорошую растяжку ног? Как сделать наш разум здоровым? Как сделать, чтобы люди обманывали меньше Вопрос 4. Как сделать так, чтобы вас уважали и ценили? Как сделать лучше себе и другим людям Как сделать свидание интересным?


Категории:

АрхитектураАстрономияБиологияГеографияГеологияИнформатикаИскусствоИсторияКулинарияКультураМаркетингМатематикаМедицинаМенеджментОхрана трудаПравоПроизводствоПсихологияРелигияСоциологияСпортТехникаФизикаФилософияХимияЭкологияЭкономикаЭлектроника






Общая часть 4 page





 

Температура точки росы вычисляется следующим образом:

 

определяется влагосодержание воздуха чердака по формуле

 

, (36)

 

где - влагосодержание наружного воздуха, г/м , при расчетной температуре , определяется по формуле

 

, (37)

 

- среднее за январь парциальное давление водяного пара, гПа, определяемое согласно #M12291 1200004395СНиП 23-01#S;

 

- приращение влагосодержания за счет поступления влаги с воздухом из вентиляционных каналов, г/м , принимается: для домов с газовыми плитами - 4,0 г/м , для домов с электроплитами - 3,6 г/м ;

 

рассчитывается парциальное давление водяного пара воздуха в теплом чердаке , гПа, по формуле

 

; (38)

 

по таблицам парциального давления насыщенного водяного пара согласно приложению С определяется температура точки росы по значению .

 

Полученное значение сопоставляется с соответствующим значением (стен , перекрытий и покрытий ) на удовлетворение условия .

 

9.2.6 Пример расчета приведен в приложении Т.

 

9.3 ОГРАЖДАЮЩИЕ КОНСТРУКЦИИ ТЕХНИЧЕСКИХ ПОДВАЛОВ

 

9.3.1 Технические подвалы (техподполье) - это подвалы при наличии в них нижней разводки труб систем отопления, горячего водоснабжения, а также труб системы водоснабжения и канализации.

 

Расчет ограждающих конструкций техподполий следует выполнять в приведенной в 9.3.2-9.3.6 последовательности.

 

9.3.2 Нормируемое сопротивление теплопередаче , м ·°С/Вт, части цокольной стены, расположенной выше уровня грунта, определяют согласно #M12291 1200035109СНиП 23-02#S для стен в зависимости от градусо-суток отопительного периода климатического района строительства. При этом в качестве расчетной температуры внутреннего воздуха принимают расчетную температуру воздуха в техподполье , °С, равную не менее плюс 2 °С при расчетных условиях.

 

9.3.3 Определяют приведенное сопротивление теплопередаче , м ·°С/Вт, ограждающих конструкций заглубленной части техподполья, расположенных ниже уровня земли.

 

Для неутепленных полов на грунте в случае, когда материалы пола и стены имеют расчетные коэффициенты теплопроводности Вт/(м·°С), приведенное сопротивление теплопередаче определяют по таблице 13 в зависимости от суммарной длины , м, включающей ширину техподполья и две высоты части наружных стен, заглубленных в грунт.

 

 

Таблица 13 - Приведенное сопротивление теплопередаче ограждений техподполья, заглубленных в грунт

 

#G0 , м              
, м ·°С/Вт   2,15   2,86   3,31   3,69   4,13   4,52  

 

 

Для утепленных полов на грунте в случае, когда материалы пола и стены имеют расчетные коэффициенты теплопроводности Вт/(м·°С), приведенное сопротивление теплопередаче определяют по нормативной документации.

 

9.3.4 Нормируемое сопротивление теплопередаче цокольного перекрытия над техподпольем , м ·°С/Вт, определяют по формуле

 

, (39)

 

где - нормируемое сопротивление теплопередаче перекрытий над техподпольем, определяемое согласно #M12291 1200035109СНиП 23-02#S в зависимости от градусо-суток отопительного периода климатического района строительства;

 

- коэффициент, определяемый по формуле

 

, (40)

 

, - то же, что и в 9.2.1;

 

- то же, что и в 9.3.2.

 

9.3.5 Температуру воздуха в техподполье , °С, определяют по формуле

 

(41)

 

где - расчетная температура воздуха в помещении над техподпольем, °С;

 

, , , - то же, что и в формуле (32);

 

- площадь техподполья (цокольного перекрытия), м ;

 

- нормируемое сопротивление теплопередаче цокольного перекрытия, м ·°С/Вт, устанавливаемое согласно 9.3.4;

 

- объем воздуха, заполняющего пространство техподполья, м ;

 

- кратность воздухообмена в подвале, ч : при прокладке в подвале газовых труб =1,0 ч , в остальных случаях =0,5 ч ;

 

- плотность воздуха в техподполье, кг/м , принимаемая равной =1,2 кг/м ;

 

- площадь пола и стен техподполья, контактирующих с грунтом, м ;

 

- то же, что и в 9.3.3;

 

- площадь наружных стен техподполья над уровнем земли, м ;

 

- то же, что и в 9.3.2.

 

Если , отличается от первоначально заданной температуры, расчет повторяют по 9.3.3-9.3.5 до получения равенства величин в предыдущем и последующем шагах.


 

9.3.6 Проверяют по формуле (4) #M12291 1200035109СНиП 23-02#S полученное расчетом нормируемое сопротивление теплопередаче цокольного перекрытия на удовлетворение требования по нормируемому температурному перепаду для пола первого этажа, равному =2 °С.

 

9.3.7 Пример расчета приведен в приложении Т.

 

9.4 СВЕТОПРОЗРАЧНЫЕ ОГРАЖДАЮЩИЕ КОНСТРУКЦИИ

 

Светопрозрачные ограждающие конструкции подбирают по следующей методике.

 

9.4.1 Нормируемое сопротивление теплопередаче светопрозрачных конструкций следует определять по таблице 4 #M12291 1200035109СНиП 23-02#S. При этом сначала вычисляют для соответствующего климатического района количество градусо-суток отопительного периода по формуле (1) настоящего Свода правил. В зависимости от величины и типа проектируемого здания по колонкам 6 и 7 вышеупомянутой таблицы определяется значение . Для промежуточных значений величина определяется по формулам примечания 1 к этой таблице.

 

9.4.2 Выбор светопрозрачной конструкции осуществляется по значению приведенного сопротивления теплопередаче , полученному в результате сертификационных испытаний. Если приведенное сопротивление теплопередаче выбранной светопрозрачной конструкции , больше или равно , то эта конструкция удовлетворяет требованиям норм.

 

9.4.3 При отсутствии сертифицированных данных допускается использовать при проектировании значения , приведенные в приложении Л настоящего Свода правил. Значения в этом приложении даны для случаев, когда отношение площади остекления к площади заполнения светового проема равно 0,75. При использовании светопрозрачных конструкций с другими значениями следует корректировать значение следующим образом: для конструкций с деревянными или пластмассовыми переплетами при каждом увеличении на величину 0,1 следует уменьшать значение на 5% и наоборот - при каждом уменьшении на величину 0,1 следует увеличить значение на 5%.

 

9.4.4 Суммарная площадь окон жилых зданий должна быть не более 18% (для общественных - не более 25%) суммарной площади светопрозрачных и непрозрачных ограждающих конструкций, если приведенное сопротивление теплопередаче окон меньше: 0,51 м ·°С/Вт при градусо-сутках 3500 и ниже; 0,56 м ·°С/Вт при градусо-сутках выше 3500 до 5200; 0,65 м ·°С/Вт при градусо-сутках выше 5200 до 7000 и 0,81 м ·°С/Вт при градусо-сутках выше 7000. При определении этого соотношения в суммарную площадь непрозрачных конструкций следует включать все продольные и торцевые стены.

 

9.4.5 При проверке требования по обеспечению минимальной температуры на внутренней поверхности светопрозрачных ограждений температуру этих ограждений следует определять по 9.1.13 как для остекления, так и для непрозрачных элементов. Если в результате расчета окажется, что <3 °С, то следует выбрать другое конструктивное решение заполнения светопроема с целью обеспечения этого требования либо предусмотреть установку под окнами приборов отопления.

 

9.5 ОГРАЖДАЮЩИЕ КОНСТРУКЦИИ ОСТЕКЛЕННЫХ ЛОДЖИЙ И БАЛКОНОВ

 

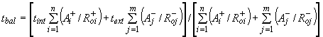
9.5.1 При остеклении лоджий и балконов образуется замкнутое пространство, температура которого формируется в результате воздействия его ограждающих конструкций, среды помещения здания и наружных условий. Температура внутри этого пространства определяется на основе решения уравнения теплового баланса остекленной лоджии или балкона (далее - лоджии).


 

, (42)

 

где - расчетная температура внутреннего воздуха помещения, °С, принимаемая согласно указаниям 5.2;

 

- расчетная температура наружного воздуха, °С, принимаемая согласно указаниям 5.1;

 

- температура воздуха пространства остекленной лоджии, °С;

 

, - соответственно площадь, м , и приведенное сопротивление теплопередаче, м ·°С/Вт, -го участка ограждения между помещением здания и лоджией;

 

- число участков ограждений между помещением здания и лоджией;

 

, - соответственно площадь, м , и приведенное сопротивление теплопередаче, м ·°С/Вт, -го участка ограждения между лоджией и наружным воздухом;

 

- число участков ограждений между лоджией и наружным воздухом.

 

9.5.2 Температуру воздуха внутри остекленной лоджии следует определять из уравнения теплового баланса по формуле

 

. (43)

 

9.5.3 Приведенное сопротивление теплопередаче системы ограждающих конструкций остекленной лоджии, разделяющих внутреннюю и наружную среды: стен и окон следует определять по формулам:

 

; , (44)

 

где - приведенное сопротивление теплопередаче наружной стены в пределах остекленной лоджии, м ·°С/Вт;

 

- приведенное сопротивление теплопередаче заполнений оконных проемов и проемов лоджии, расположенных в наружной стене в пределах остекленной лоджии, м ·°С/Вт;

 

- коэффициент, зависящий от положения наружной поверхности ограждающих конструкций здания по отношению к наружному воздуху; для наружных стен и окон остекленной лоджии следует принимать по формуле

 

. (45)

 

9.5.4 Пример расчета приведен в приложении У.

 

10 ПОВЫШЕНИЕ ЭНЕРГЕТИЧЕСКОЙ ЭФФЕКТИВНОСТИ СУЩЕСТВУЮЩИХ ЗДАНИЙ

 

10.1 Повышение энергетической эффективности существующих зданий следует осуществлять при капитальном ремонте, реконструкции (модернизации, санации), расширении и функциональном переназначении помещений (далее - реконструкция) существующих зданий в соответствии с требованиями 10.2 и с учетом требований #M12293 0 871001224 4291609043 4043645392 12 2818778555 1301148883 2685059051 3363248087 1280084117ВСН 58(р)#S и #M12293 1 901707779 4291609043 663200713 12 2299495579 1301148883 2685059051 3363248087 1653019659ВСН 61(р)#S, за исключением случаев, предусмотренных в #M12291 1200035109СНиП 23-02#S. При частичной реконструкции здания (в том числе при изменении габаритов здания за счет пристраиваемых и надстраиваемых объемов) требования настоящих норм распространяются на изменяемую часть здания.

 

10.2 Требования #M12291 1200035109СНиП 23-02#S считаются выполненными, если фактическое приведенное сопротивление теплопередаче наружных ограждающих конструкций здания составляет не менее 90% значений, установленных в таблице 4 #M12291 1200035109СНиП 23-02#S, либо расчетное значение удельного расхода тепловой энергии на отопление существующего здания или его изменяемой части, определяемое согласно приложению Г #M12291 1200035109СНиП 23-02#S, не превышает нормируемых величин, установленных в таблицах 8 и 9 #M12291 1200035109СНиП 23-02#S.


 

10.3 Проект реконструкции зданий следует разрабатывать согласно требованиям раздела 6 #M12291 1200035109СНиП 23-02#S. При этом для существующего здания по данным проекта и/или натурных обследований следует определить расчетный удельный расход тепловой энергии на отопление, рассматривая влияние отдельных составляющих на тепловой баланс и выделяя основные элементы теплозащиты, где происходят наибольшие теплопотери. Затем для выбранных элементов теплозащиты и системы отопления и теплоснабжения следует разработать конструктивные и инженерные решения, обеспечивающие нормируемые значения удельного расхода тепловой энергии на отопление здания.

 

10.4 Расчетная величина удельного расхода тепловой энергии на отопление здания может быть снижена, следуя указаниям 7.7.

 

10.5 Выбор мероприятий по повышению тепловой защиты при реконструкции зданий рекомендуется выполнять на основе технико-экономического сравнения проектных решений увеличения или замены теплозащиты отдельных видов ограждающих конструкций здания (чердачных и цокольных перекрытий, торцевых стен, стен фасада, светопрозрачных конструкций и прочих), начиная с повышения эксплуатационных качеств более дешевых вариантов ограждающих конструкций. Если при увеличении теплозащиты этих видов ограждающих конструкций не удается достигнуть нормируемого значения удельного расхода энергии согласно #M12291 1200035109СНиП 23-02#S, то следует дополнительно применять другие более дорогие варианты утепления, замены или комбинации вариантов до достижения указанного требования.

 

10.6 При замене светопрозрачных конструкций на энергоэффективные согласно #M12291 1200035109СНиП 23-02#S следует предусматривать необходимый воздухообмен помещений зданий.

 

10.7 При разработке конструктивных решений по увеличению теплозащиты непрозрачных ограждающих конструкций, как правило, следует руководствоваться указаниями раздела 8 настоящего документа и, при необходимости, предусматривать пароизоляционные слои в соответствии с требованиями #M12291 1200035109СНиП 23-02#S.

 

10.8 При надстройке здания дополнительным этажом (этажами) и выборе объемно-планировочного решения рекомендуется с энергетической точки зрения применять мансардные этажи, так как они потребляют на 30-40% меньше тепловой энергии на отопление, чем этажи с вертикальными стенами при одинаковой отапливаемой площади.

 

11 ТЕПЛОУСТОЙЧИВОСТЬ

 

 

11.1 ТЕПЛОУСТОЙЧИВОСТЬ ОГРАЖДАЮЩИХ КОНСТРУКЦИЙ

В ТЕПЛЫЙ ПЕРИОД ГОДА

 

11.1.1 При проектировании ограждающих конструкций с учетом их теплоустойчивости необходимо руководствоваться следующими положениями:

 

теплоустойчивость конструкции зависит от порядка расположения слоев материалов; величина затухания амплитуды колебаний температуры наружного воздуха в двухслойной конструкции увеличивается, если более теплоустойчивый материал расположен изнутри;

 

наличие в конструкции ограждения воздушной прослойки увеличивает теплоустойчивость конструкции. В замкнутой воздушной прослойке целесообразно устраивать теплоизоляцию с теплоотражающей поверхностью; слои конструкции, расположенные между вентилируемой наружным воздухом воздушной прослойкой и наружной поверхностью ограждающей конструкции, должны иметь минимально возможную толщину. Наиболее целесообразно выполнять эти слои из тонких металлических или асбестоцементных листов.

 

11.1.2 Теплоустойчивость ограждающей конструкции здания должна соответствовать требованиям #M12291 1200035109СНиП 23-02#S; для этого определяют нормируемую амплитуду колебаний температуры внутренней поверхности ограждающей конструкции , °С, по формуле (11) #M12291 1200035109СНиП 23-02#S

 

, (46)

 

где - средняя месячная температура наружного воздуха за июль, °С, принимаемая согласно #M12291 1200004395СНиП 23-01#S.

 

11.1.3 Величину затухания расчетной амплитуды колебаний температуры наружного воздуха в ограждающей конструкции, состоящей из однородных слоев, рассчитывают по формуле

 

(47)

 

где - тепловая инерция ограждающей конструкции, определяемая по формуле (53);

 

, , +, - расчетные коэффициенты теплоусвоения материала отдельных слоев ограждающей конструкции, Вт/(м ·°С), принимаемые по приложению Д или по результатам теплотехнических испытаний;

 

, ,..., , - коэффициенты теплоусвоения наружной поверхности отдельных слоев ограждающей конструкции, Вт/(м ·°С), определяемые согласно 11.1.6;

 

- то же, что и в формуле (8);

 

- коэффициент теплоотдачи наружной поверхности ограждающей конструкции по летним условиям, Bт/(м ·°C), определяемый по формуле

 

, (48)

 

где - минимальная из средних скоростей ветра по румбам за июль, повторяемость которых составляет 16% и более, принимаемая согласно #M12291 1200004395СНиП 23-01#S, но не менее 1 м/с.

 

Величину для многослойной неоднородной ограждающей конструкции с теплопроводными включениями в виде обрамляющих ребер принимают в соответствии с #M12291 901708128ГОСТ 26253#S.

 

11.1.4 Расчетную амплитуду колебаний температуры наружного воздуха , °С, рассчитывают по формуле

 

, (49)

 

где - максимальная амплитуда температуры наружного воздуха в июле, °С, принимаемая согласно #M12291 1200004395СНиП 23-01#S;

 

- коэффициент поглощения солнечной радиации материалом наружной поверхности ограждающей конструкции, принимаемый по таблице 14;

 

, соответственно максимальное и среднее значения суммарной солнечной радиации (прямой и рассеянной), Вт/м , принимаемые согласно приложению Г: для наружных стен - как для вертикальной поверхности западной ориентации, для покрытий - как для горизонтальной поверхности;

 







Date: 2015-07-27; view: 613; Нарушение авторских прав



mydocx.ru - 2015-2026 year. (2.846 sec.) Все материалы представленные на сайте исключительно с целью ознакомления читателями и не преследуют коммерческих целей или нарушение авторских прав - Пожаловаться на публикацию