Главная Случайная страница


Полезное:

Как сделать разговор полезным и приятным Как сделать объемную звезду своими руками Как сделать то, что делать не хочется? Как сделать погремушку Как сделать так чтобы женщины сами знакомились с вами Как сделать идею коммерческой Как сделать хорошую растяжку ног? Как сделать наш разум здоровым? Как сделать, чтобы люди обманывали меньше Вопрос 4. Как сделать так, чтобы вас уважали и ценили? Как сделать лучше себе и другим людям Как сделать свидание интересным?


Категории:

АрхитектураАстрономияБиологияГеографияГеологияИнформатикаИскусствоИсторияКулинарияКультураМаркетингМатематикаМедицинаМенеджментОхрана трудаПравоПроизводствоПсихологияРелигияСоциологияСпортТехникаФизикаФилософияХимияЭкологияЭкономикаЭлектроника






Применяем инвертирующий сумматор, Коэффициент усиления по первому входу





К1 = -2, по второму входу К2 = -2.

Задаемся сопротивлением резистора в цепи обратной связи Rос1 = 36 кОм и рассчитываем входные сопротивления R1 = Rос11= 18 кОм, R2 = Rоc1 / К2 = 18 кОм.

На выходе сумматора получаем зависимость Uвых = -(2Uвх1 + 2Uвх2), поэтому дополнительно устанавливаем инвертирующий усилитель с коэффициентом усиления

К3 = -1. Общий коэффициент двухкаскадного усилителя: К = (-2)×(-1) = 2.

 

Схема неинвертирующего сумматора

 

Uвх1 R1
Rос1
Uвх2 Rвх2
36к
36к
Uвых
R2

 

 


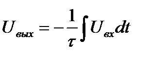
Создать устройство для получения интегральной зависимости , , при нулевых начальных условиях.

Сос
R2
Uвых
Uвх
Решение

 

Схема интегратора

, принимаем R2 = 10 кОм, тогда Сос = 1/104 = 100 ∙ 10-6 = 100 мкФ.

U IXSZlL6s0Wo/cx0SZ2fXWx3Y9pU0vR553LZyHkULaXVD/FDrDrc1lpf91Sp4H/W4SeLXYXc5b2/H Q/rxvYtRqceHafMCIuAU/srwi8/oUDDTyV3JeNEqSLinYJ6ycrpMnpcgTgoWcZSCLHL5n7/4AQAA //8DAFBLAQItABQABgAIAAAAIQC2gziS/gAAAOEBAAATAAAAAAAAAAAAAAAAAAAAAABbQ29udGVu dF9UeXBlc10ueG1sUEsBAi0AFAAGAAgAAAAhADj9If/WAAAAlAEAAAsAAAAAAAAAAAAAAAAALwEA AF9yZWxzLy5yZWxzUEsBAi0AFAAGAAgAAAAhALFxUfxOBQAABykAAA4AAAAAAAAAAAAAAAAALgIA AGRycy9lMm9Eb2MueG1sUEsBAi0AFAAGAAgAAAAhALcaELneAAAABwEAAA8AAAAAAAAAAAAAAAAA qAcAAGRycy9kb3ducmV2LnhtbFBLBQYAAAAABAAEAPMAAACzCAAAAAA= ">

 


Uвх

 

1 2 3 4 5 t, c

 

 

t, c

 

 







Date: 2015-07-27; view: 368; Нарушение авторских прав



mydocx.ru - 2015-2026 year. (0.546 sec.) Все материалы представленные на сайте исключительно с целью ознакомления читателями и не преследуют коммерческих целей или нарушение авторских прав - Пожаловаться на публикацию