Главная Случайная страница


Полезное:

Как сделать разговор полезным и приятным Как сделать объемную звезду своими руками Как сделать то, что делать не хочется? Как сделать погремушку Как сделать так чтобы женщины сами знакомились с вами Как сделать идею коммерческой Как сделать хорошую растяжку ног? Как сделать наш разум здоровым? Как сделать, чтобы люди обманывали меньше Вопрос 4. Как сделать так, чтобы вас уважали и ценили? Как сделать лучше себе и другим людям Как сделать свидание интересным?


Категории:

АрхитектураАстрономияБиологияГеографияГеологияИнформатикаИскусствоИсторияКулинарияКультураМаркетингМатематикаМедицинаМенеджментОхрана трудаПравоПроизводствоПсихологияРелигияСоциологияСпортТехникаФизикаФилософияХимияЭкологияЭкономикаЭлектроника






Приведение плоской системы сил к данному центру. Главный вектор и главный момент системы сил. Равнодействующая система сил





Все силы системы переносят в одну произ­вольно выбранную точку — точку приведения. Применяют теорему Пуансо. При любом переносе силы в точку, не лежащую на линии ее действия, добавляют пару сил.

Появившиеся при переносе пары называют присоединенными па­рами.

Дана плоская система произвольно расположенных сил.

Переносим все силы в точку О. Получим пучок сил в точке О, который можно заменить одной силой — главным вектором систе­мы.

Образующуюся систему пар сил можно заменить одной эквива­лентной парой — главным моментом системы.


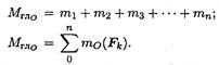
Главный вектор равен геометрической сумме векторов произ­вольной плоской системы сил.


Проецируем все силы системы на оси координат и, сложив соответствующие проекции на оси, получим проекции главного вектора.

По величине проекций главного вектора на оси координат нахо­дим модуль главного вектора:

Главный момент системы сил равен алгебраической сумме мо­ментов сил системы относительно точки приведения.

Таким образом, произвольная плоская система сил приводится к одной силе (главному вектору системы сил) и одному моменту (главному моменту системы сил).

С помощью теоремы Вариньона о моменте равнодействующей можно определить точку на плоскости, относительно которой глав­ный момент равен нулю.







Date: 2015-07-27; view: 3005; Нарушение авторских прав



mydocx.ru - 2015-2026 year. (0.554 sec.) Все материалы представленные на сайте исключительно с целью ознакомления читателями и не преследуют коммерческих целей или нарушение авторских прав - Пожаловаться на публикацию