Главная Случайная страница


Полезное:

Как сделать разговор полезным и приятным Как сделать объемную звезду своими руками Как сделать то, что делать не хочется? Как сделать погремушку Как сделать так чтобы женщины сами знакомились с вами Как сделать идею коммерческой Как сделать хорошую растяжку ног? Как сделать наш разум здоровым? Как сделать, чтобы люди обманывали меньше Вопрос 4. Как сделать так, чтобы вас уважали и ценили? Как сделать лучше себе и другим людям Как сделать свидание интересным?


Категории:

АрхитектураАстрономияБиологияГеографияГеологияИнформатикаИскусствоИсторияКулинарияКультураМаркетингМатематикаМедицинаМенеджментОхрана трудаПравоПроизводствоПсихологияРелигияСоциологияСпортТехникаФизикаФилософияХимияЭкологияЭкономикаЭлектроника






Решение. Найдем производную заданной функции:





Найдем производную заданной функции:

 

 

Найдем нули производной:

Определим знаки производной функции и изобразим на рисунке поведение функции на заданном отрезке:

 

В точке заданная функция имеет максимум, являющийся ее наибольшим значением на заданном отрезке. Найдем это наибольшее значение:

 

Ответ: 4.

Ответ: 4

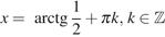
Решение.

 

.

Отсюда или .

Если , то . Если , то .

Из найденных решений промежутку принадлежат числа и .

 

 

Ответ: а) ;

б) .

Решение.

Проведем отрезок и опустим перпендикуляр на

 

Искомое расстояние равно высоте прямоугольного треугольника с прямым углом

 

Ответ:

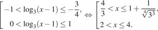
Решение.

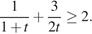
Перейдем к основанию 3 и упростим левую часть неравенства:

 

Обозначим тогда Решим неравенство методом интервалов:

 

Тогда

 

.

Ответ:

 







Date: 2015-07-25; view: 467; Нарушение авторских прав



mydocx.ru - 2015-2026 year. (0.588 sec.) Все материалы представленные на сайте исключительно с целью ознакомления читателями и не преследуют коммерческих целей или нарушение авторских прав - Пожаловаться на публикацию