Главная Случайная страница


Полезное:

Как сделать разговор полезным и приятным Как сделать объемную звезду своими руками Как сделать то, что делать не хочется? Как сделать погремушку Как сделать так чтобы женщины сами знакомились с вами Как сделать идею коммерческой Как сделать хорошую растяжку ног? Как сделать наш разум здоровым? Как сделать, чтобы люди обманывали меньше Вопрос 4. Как сделать так, чтобы вас уважали и ценили? Как сделать лучше себе и другим людям Как сделать свидание интересным?


Категории:

АрхитектураАстрономияБиологияГеографияГеологияИнформатикаИскусствоИсторияКулинарияКультураМаркетингМатематикаМедицинаМенеджментОхрана трудаПравоПроизводствоПсихологияРелигияСоциологияСпортТехникаФизикаФилософияХимияЭкологияЭкономикаЭлектроника






Гидродинамические исследования морских скважин. Назначение





Гидродинамические исследования –совокупность различных мероприятий, направленных на измерение определённых параметров (давление, температура, дебит, время и др.) в работающих или остановленных скважинах и их регистрацию.

Методы ГДИС

 На установившихся режимах.

 На неустановившихся режимах.

Установившийся отбор характеризуется стационарным режимом работы скважины, т.е. постоянством во времени забойного и устьевого давлений и дебита скважины.Изменение режима работы скважины зависит от способа эксплуатации: на фонтанной скважине изменяют диаметр штуцера

на выкидном манифольде;на газлифтной скважине изменяют режим закачки

рабочего агента — давление и (или) расход; на скважине, оборудованной установкой скважинного штангового насоса, изменяют длину хода и (или) число качаний.Для каждого способа эксплуатации имеется собственная возможность изменения режима.

Исследования с восстановлением давления (КВД)

Внастоящеевремяизвестномногоразличныхметодовисследованияскважин,нотолькогидродинамические исследования выполняютсясиламинефтедобывающихпредприятийиявляютсянеотъемлемойчастьюпроцессоврегулированиявыработкизапасовуглеводородов.Подгидродинамическимиисследованиямискважини пластов будемпониматьсовокупностьразличныхмероприятий,направленныхнаизмерениеопределенныхпараметров(давление,температура,дебит,времяидр.)вработающихилиостановленныхскважинахиихрегистрацию.Зачастуюприэтомотбираютсяпробыпродукции,направляемыев специальныеисследовательскиелаборатории.Исследованияпроводятсяспециальнымибригадамисиспользованиемсоответствующейтехникииизмерительныхприборов.Кгидродинамическимисследованиямбудемотноситьтермодинамическиеидебитометрическиеисследованияскважин.

Всякое изменение режима работы скважины сопровождается перераспределением давления вокруг неё и зависит от пьезопроводности зоны реагирования. Исследование заключается в получении зависимости изменения забойного давления Рза5 в скважине в функции tвремени Рза5 = /(t) после изменения режима её работы (пуска или остановки). Полученную зависимость интерпретируют и находят характеристики пласта.

Запись кривой восстановления давления осуществляется после остановки скважины посредством закрытия испытательного клапана сбросом давления в затрубном пространстве, тем самым сводится к минимуму влияние трубного пространства на качество записи кривой восстановления давления за счет притока газа после закрытия скважины. Так как время работы скважины Т меньше в 20 раз времени t, необходимого для полного восстановления давления (20T<t), то это позволяет представить КВД в координатах Хорнера. При этом экстраполяция прямолинейного участка до пересечения с осью ординат позволяет определить пластовое давление, а по значению углового коэффициента, используя традиционные методы, определить проницаемость пласта.

Цель исследования скважин заключается в определении ее продуктивности, получении данных о строении и свойствах продуктивных пластов, оценке технического состояния скважин. Существуют следующие методы исследований скважин и пластов:

гидродинамические, дебитометрические, термодинамические и геофизические.

Гидродинамические исследования. Гидродинамические методы подразделяются на:

- исследования скважин при установившихся отборах (снятие индикаторных диаграмм);

- исследование скважин при неустановившихся режимах (снятие КВД и КПД);

- исследование скважин на взаимодействие (гидропрослушивание).

Сущность метода исследования на установившихся режимах заключается в многократном изменении режима работы скважины и, после установления каждого режима, регистрации дебита и забойного давления. Коэффициент продуктивности скважин определяют с помощью уравнения:

Q = K(Pпл – Pзаб)n

где Q – дебит скважины; К – коэффициент продуктивности; Рпл, Рзаб - пластовое и забойное давления, соответственно; n – коэффициент, равный 1, когда индикаторная линия прямая; n<1, когда линия выпуклая относительно оси перепада давления; n>1, когда линия вогнутая относительно оси перепада давления.

При дальнейшей обработки исследований дополнительно определяют коэффициент проницаемости ПЗП, подвижность нефти в ПЗП, гидропроводность ПЗП, а также ряд дополнительных параметров.

Исследование скважин на неустановившихся режимах заключается в прослеживании скорости подъема уровня жидкости в насосной скважине после ее остановки и скорости восстановления забойного давления после остановки фонтанной скважины (снятие КВД). Таким же образом можно исследовать и нагнетательные скважины, регистрируя скорость падения давления на устье после ее остановки (снятие КПД). По полученным данным определяют коэффициент проницаемости пласта, подвижность нефти в пласте, гидропроводность пласта, пьезопроводность пласта в зоне дренирования скважины, а также скин-эффект (степень загрязнения ПЗП).


Исследование скважин на взаимодействие заключается в наблюдении за изменениями уровня или давления, происходящими в одних скважинах (реагирующих) при изменении отбора жидкости в других соседних скважинах (возмущающих). По результатам этихисследований определяют те же параметры, что и при исследовании скважин на неустановившихся режимах. Отличие заключается в том, что эти параметры характеризуют область пласта в пределах исследуемых скважин. Для измерения давления на забое скважин используют абсолютные и дифференциальные (регистрируют приращение отклонения от начального давления) манометры. По принципу действия скважинные манометры подразделяют на:

- пружинные, в которых чувствительный элемент – многовитковая, геликсная, трубчатая пружина;

- пружинно-поршневые, в которых измеряемое давление передается на поршень, соединенный с винтовой цилиндрической пружиной;

- пневматические, в которых измеряемое давление уравновешивается давлением сжатого газа, заполняющего измерительную камеру.

Дебитометрические исследования. Сущность метода исследований профилей притока и поглощения заключается в измерении расходов жидкостей и газов по толщине пласта. Скважинные приборы, предназначенные для измерения притока жидкости и газа (дебита) называются дебитомерами, а для измерения поглощения (расхода) – расходомерами. По принципу действия скважинные дистанционные дебитомеры (ДГД) и расходомеры (РГД) бывают: турбинные, пружинно-поплавковые и с заторможенной турбинкой на струнной подвеске. Кроме своего основного назначения, скважинные дебитомеры и расходомеры используют и для установления затрубной циркуляции жидкости, негерметичности и мест нарушения эксплуатационной колонны, перетока жидкости между пластами.

Термодинамические исследования. Термодинамические исследования основаны на сопоставлении геотермы и термограммы действующей скважины. Геотерма снимается в простаивающей скважине и дает представление о естественном тепловом поле Земли. Термограмма фиксирует изменение температуры в стволе скважины. С помощью данных исследований можно определить интервалы поглощающих и отдающих пластов, а также использовать полученные результаты для: определения затрубной циркуляции; перетока закачиваемой воды и места нарушения колонны; определения высоты подъема цементного раствора за колоннами после их цементирования.

Геофизические исследования. Геофизические методы исследования скважин включают в себя различные виды каротажа электрическими, магнитными, радиоактивными акустическими и другими методами с целью определения характера нефте-, газа- и водонасыщенности пород, а также некоторые способы контроля за техническим состоянием скважин.

Обработка КВД

Закрытие скважины на забое.Дебит мгновенно становится равным нулю.

В случае, когда T»t, где Т - время до остановки скважины^ - время остановки скважины.

Начиная с момента Tq в течение периода tна забое скважины забойное давление Рзаб(0 восстанавливается.


Формула Мае кета для обработки кривых восстановления давления

 
 


 

 

Логарифмическую зависимость (1) можно линеаризовать:

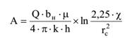
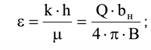
- определяют гидропроводность пласта в объеме дренированияскважины:

- определяют подвижность нефти в удаленной зоне пласта:

- определяют коэффициент проницаемости пласта в областидренирования скважины:

- отрезок прямой, отсекаемый на оси

"y" при пересечении с прямой линией графика КВД;

- определяют приведенный радиус скважины, учитывающийгидродинамическое несовершенство скважины:

- определяют коэффициент пьезопроводности пласта вудаленной от скважины части пласта:

 

 







Date: 2015-07-27; view: 1232; Нарушение авторских прав



mydocx.ru - 2015-2026 year. (0.842 sec.) Все материалы представленные на сайте исключительно с целью ознакомления читателями и не преследуют коммерческих целей или нарушение авторских прав - Пожаловаться на публикацию