Главная Случайная страница


Полезное:

Как сделать разговор полезным и приятным Как сделать объемную звезду своими руками Как сделать то, что делать не хочется? Как сделать погремушку Как сделать так чтобы женщины сами знакомились с вами Как сделать идею коммерческой Как сделать хорошую растяжку ног? Как сделать наш разум здоровым? Как сделать, чтобы люди обманывали меньше Вопрос 4. Как сделать так, чтобы вас уважали и ценили? Как сделать лучше себе и другим людям Как сделать свидание интересным?


Категории:

АрхитектураАстрономияБиологияГеографияГеологияИнформатикаИскусствоИсторияКулинарияКультураМаркетингМатематикаМедицинаМенеджментОхрана трудаПравоПроизводствоПсихологияРелигияСоциологияСпортТехникаФизикаФилософияХимияЭкологияЭкономикаЭлектроника






Основные формулы электричество и магнетизм





Изучение основ электродинамики традиционно начинается с электрического поля в вакууме. Для вычисления силы взаимодействия между двумя точными зарядами и вычисления напряженности электрического поля, созданного точечным зарядом, нужно уметь применять закон Кулона. Для вычисления напряженностей полей, созданных протяженными зарядами (заряженной нитью, плоскостью и т.д.), применяется теорема Гаусса. Для системы электрических зарядов необходимо применять принцип

При изучении темы "Постоянный ток" необходимо рассмотреть во всех формах законы Ома и Джоуля-Ленца При изучении "Магнетизма" необходимо иметь в виду, что магнитное поле порождается движущимися зарядами и действует на движущиеся заряды. Здесь следует обратить внимание на закон Био-Савара-Лапласа. Особое внимание следует обратить на силу Лоренца и рассмотреть движение заряженной частицы в магнитном поле.

Электрические и магнитные явления связаны особой формой существования материи - электромагнитным полем. Основой теории электромагнитного поля является теория Максвелла.

Смотрите также основные формулы оптики

 

Физические законы, формулы, переменные Формулы электричество и магнетизм
Закон Кулона: где q1 и q2 - величины точечных зарядов, ԑ1 - электрическая постоянная; ε - диэлектрическая проницаемость изотропной среды (для вакуума ε = 1), r - расстояние между зарядами.
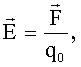
Напряженность электрического поля:где Ḟ - сила, действующая на заряд q0, находящийся в данной точке поля.
Напряженность поля на расстоянии r от источника поля: 1) точечного заряда 2) бесконечно длинной заряженной нити с линейной плотностью заряда τ: 3) равномерно заряженной бесконечной плоскости с поверхностной плотностью заряда σ: 4) между двумя разноименно заряженными плоскостями
1)
2)
3)
4)
Потенциал электрического поля: где W - потенциальная энергия заряда q0.
Потенциал поля точечного заряда на расстоянии r от заряда:
По принципу суперпозиции полей, напряженность:
Потенциал: где Ēi и ϕi - напряженность и потенциал в данной точке поля, создаваемый i-м зарядом.
Работа сил электрического поля по перемещению заряда q из точки с потенциалом ϕ1 в точку с потенциалом ϕ2:
Связь между напряженностью и потенциалом 1) для неоднородного поля: 2) для однородного поля:
1)
2)
Электроемкость уединенного проводника:
Электроемкость конденсатора: где U = ϕ1 - ϕ2 - напряжение.
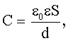
Электроемкость плоского конденсатора: где S - площадь пластины (одной) конденсатора, d - расстояние между пластинами.
Энергия заряженного конденсатора:
Сила тока:
Плотность тока: где S - площадь поперечного сечения проводника.
Сопротивление проводника: ρ - удельное сопротивление; l - длина проводника; S - площадь поперечного сечения.
Закон Ома 1) для однородного участка цепи: 2) в дифференциальной форме: 3) для участка цепи, содержащего ЭДС: где ε - ЭДС источника тока, R и r - внешнее и внутреннее сопротивления цепи; 4) для замкнутой цепи:
1)
2)
3)
4)
Закон Джоуля-Ленца 1) для однородного участка цепи постоянного тока: где Q - количество тепла, выделяющееся в проводнике с током, t - время прохождения тока; 2) для участка цепи с изменяющимся со временем током:
1)
2)
Мощность тока:
Связь магнитной индукции и напряженности магнитного поля: где B - вектор магнитной индукции, μ √ магнитная проницаемость изотропной среды, (для вакуума μ = 1), µ0 - магнитная постоянная , H - напряженность магнитного поля.
Магнитная индукция (индукция магнитного поля): 1) в центре кругового тока где R - радиус кругового тока, 2) поля бесконечно длинного прямого тока где r - кратчайшее расстояние до оси проводника; 3) поля, созданного отрезком проводника с током где ɑ1 и ɑ2 - углы между отрезком проводника и линией, соединяющей концы отрезка и точкой поля; 4) поля бесконечно длинного соленоида где n - число витков на единицу длины соленоида.
1)
2)
3)
4)
Сила Лоренца: по модулю где F - сила, действующая на заряд, движущийся в магнитном поле, v - скорость заряда q, α - угол между векторами v и B.
Поток вектора магнитной индукции (магнитный поток через площадку S): 1) для однородного магнитного поля, где α - угол между вектором B и нормалью к площадке, 2) для неоднородного поля
1)
2)
Потокосцепление (полный поток): где N - число витков катушки.
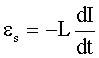
Закон Фарадея-Ленца: где ԑi - ЭДС индукции.
ЭДС самоиндукции: где L - индуктивность контура.
Индуктивность соленоида: где n - число витков на единицу длины соленоида, V - объем соленоида.
Энергия магнитного поля:
Заряд, протекающий по замкнутому контуру при изменении магнитного потока через контур: где ∆Ф = Ф2 – Ф1 - изменение магнитного потока, R - сопротивление контура.
Работа по перемещению замкнутого контура с током I в магнитном поле:

 


 

Постоянный ток,—электрический ток, который с течением временине изменяется по величине и направлению.

 

На рисунке справа красным цветом изображён график постоянного тока. По горизонтальной оси отложен масштаб времени , а по вертикальной — масштаб тока или электрического напряжения . Как видно, график постоянного тока представляет собой прямую линию, параллельную горизонтальной оси (оси времени).

Величина постоянного тока и электрического напряжения для любого момента времени сохраняется неизменной.

При постоянном токе через каждое поперечное сечение проводникав единицу времени протекает одинаковое количество электричества(электрических зарядов).







Date: 2015-07-27; view: 823; Нарушение авторских прав



mydocx.ru - 2015-2026 year. (0.572 sec.) Все материалы представленные на сайте исключительно с целью ознакомления читателями и не преследуют коммерческих целей или нарушение авторских прав - Пожаловаться на публикацию