Главная Случайная страница


Полезное:

Как сделать разговор полезным и приятным Как сделать объемную звезду своими руками Как сделать то, что делать не хочется? Как сделать погремушку Как сделать так чтобы женщины сами знакомились с вами Как сделать идею коммерческой Как сделать хорошую растяжку ног? Как сделать наш разум здоровым? Как сделать, чтобы люди обманывали меньше Вопрос 4. Как сделать так, чтобы вас уважали и ценили? Как сделать лучше себе и другим людям Как сделать свидание интересным?


Категории:

АрхитектураАстрономияБиологияГеографияГеологияИнформатикаИскусствоИсторияКулинарияКультураМаркетингМатематикаМедицинаМенеджментОхрана трудаПравоПроизводствоПсихологияРелигияСоциологияСпортТехникаФизикаФилософияХимияЭкологияЭкономикаЭлектроника






Типовая задача 1. Имеются следующие данные о структуре ВВП региона по видам пер­вичных доходов (в фактически действовавших ценах





Имеются следующие данные о структуре ВВП региона по видам пер­вичных доходов (в фактически действовавших ценах, %).

Показатели      
ВВП, млн. руб. 1384,5 3326,3 7492,0
Доля ВВП в %: официальная оплата труда наемных работников (ОТ), %   35,0   37,9   40,2
скрытая оплата труда наемных работников (СОТ), % 9,0 11,6 12,7
чистые налоги на производство и импорт (ЧНПИ), % 10,4 9,7 9,6

Справочно:

Потребление основного капитала составило, в млн. руб.:

-в 1996 г.-265,0;

-в 1999 г.-476,7;

- в 2002 г. - 734,0.

1. Определите чистую прибыль (чистые смешанные доходы) эконо­мики.

2. Рассчитайте и проанализируйте обобщающие показатели измене­ния структуры ВВП. В каком из периодов: в 1996-1999 гг. или в 1999— 2002 гг. наблюдались более интенсивные структурные сдвиги?

Решение: 1. Для того чтобы определить чистую прибыль и чистые смешанные доходы экономики. Вначале определим валовую прибыль и валовые смешанные доходы ВП (ВСД).

Поскольку ВВП = ОТ + ВП (ВСД) + ЧНПИ (распределительный ме­тод), то исходя из имеющихся по условию данных ВП (ВСД) можно оп­ределить по следующей формуле: ВП = ВВП - (ВВП х dOТ + ВВП * d cот + ВВП * d чнпи).

Соответственно:

ВП (ВСД)96 = 1384,5 – (1384,5 * 0,350 + 1384,5 * 0,090 + 1384,5 * 0,104) = 631,5 млн. руб.

ВП (ВСД)99 = 3326,3 – (3326,3 * 0,397 + 3326,3 * 0,116 + 3326,3 * 0,097)= 1297,3 млн. руб.

ВП (ВСД)02 = 7492,0 – (7492,0 * 0,402 + 7492,0 * 0,127 + 7492,0 * 0,096) = =2809,5 млн. руб.

Показатель чистой прибыли и чистых смешанных доходов можно по­лучить вычитанием из валовой прибыли потребления основного капитала:

ЧП (ЧСД) = ВП (ВСД) – ПОК.

ЧП (ЧСД)96 = 631,5 – 265,0 = 366,5 млн. руб.

ЧП (ЧСД)99 = 1297,3 – 476,7 = 820,6 млн. руб.

ЧП (ЧСД)02 = 2809,5 – 734,0 = 2075,5 млн. руб.

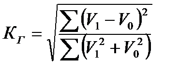
3. Оценку структурных сдвигов можно дать с помощью интегрально­го коэффициента структурных сдвигов, рассчитываемого по формуле:

,

где V1 ,V0 доли каждого вида первичных доходов в отчетном и базис­ном периоде.

Расчет представлен далее.

Расчет интегральных коэффициентов структурных сдвигов.

Показатели V96 V99 V02 V99-V96 V02 -V99 (V99-V96 )2 (V02 -V99 )2 (V96 )2 (V99 )2 (V02 )2
Официальная оплата труда наемных работников 35,0 37,9 40,2 2,9 2,3 8,4 5,3 1225,0 1436,4 1616,0
Скрытая оплата труданаемных работников 9,0 11,6 12,7 2,6 1,1 6,8 1,2 81,0 134,6 161,3
Чистые налоги на производство и импорт 10,4 9,7 9,6 -0,7 -0,1 0,5 0,0 108,2 94,1 92,2
Валовая прибыль и ВСД 45,6 40,8 37,5 -4,8 -3,3 23,0 10,9 2079,4 1664,6 1406,3
Итого 100.0 100,0 100,0 X X 38,7 17,4 3493,5 3329,7 3275,7

;

.

Сравнение коэффициентов между собой показывает, что более интен­сивные структурные сдвиги произошли в 1996-1999 гг. (K99/96> К02/99). В то же время, поскольку значения коэффициентов близки к 0, можно говорить о незначительном изменении структуры.







Date: 2015-07-27; view: 843; Нарушение авторских прав



mydocx.ru - 2015-2026 year. (2.174 sec.) Все материалы представленные на сайте исключительно с целью ознакомления читателями и не преследуют коммерческих целей или нарушение авторских прав - Пожаловаться на публикацию