Главная Случайная страница


Полезное:

Как сделать разговор полезным и приятным Как сделать объемную звезду своими руками Как сделать то, что делать не хочется? Как сделать погремушку Как сделать так чтобы женщины сами знакомились с вами Как сделать идею коммерческой Как сделать хорошую растяжку ног? Как сделать наш разум здоровым? Как сделать, чтобы люди обманывали меньше Вопрос 4. Как сделать так, чтобы вас уважали и ценили? Как сделать лучше себе и другим людям Как сделать свидание интересным?


Категории:

АрхитектураАстрономияБиологияГеографияГеологияИнформатикаИскусствоИсторияКулинарияКультураМаркетингМатематикаМедицинаМенеджментОхрана трудаПравоПроизводствоПсихологияРелигияСоциологияСпортТехникаФизикаФилософияХимияЭкологияЭкономикаЭлектроника






Потенциал. Разность потенциалов





 

Потенциал электростатического поля — скалярная величина, равная отношению потен­циальной энергии заряда в поле к этому заряду: - энергетическая характеристика поля в данной точке. Потенциал не зависит от величины заряда, помещенного в это поле.
Т.к. потенциальная энергия зависит от выбора системы координат, то и потенциал определяется с точностью до постоянной. За точку отсчета потенциала выбирают в зависимости от задачи: а) потенциал Земли, б) потенциал бесконечно удаленной точки поля, в) потенциал отрицательной пластины конденсатора.  
- следствие принци­па суперпозиции полей (потенциалы складываются алгебраически).
Потенциал численно равен работе поля по перемещению единичного положительного заряда из данной точки электрического поля в бесконечность. В СИ потенциал измеряется в вольтах:  
Разность потенциалов
 
Напряжение — разность значений потенциала в начальной и конечнойточках траектории. Напряжение численно равно работе электростатического поля при перемещении единичного положительного заряда вдоль силовых линий этого поля. Разность потенциалов (напряжение) не зависит от выбора системы координат!
Единица разности потенциалов Напряжение равно 1 В, если при перемещении положительного заряда в 1 Кл вдоль силовых линий поле совершает работу в 1 Дж.  

 

9. электроемкость потенциалов.

когда заряды проводников одинаковы по модулю и противоположны по знаку: q1 = – q2 = q. В этом случае можно ввести понятие электрической емкости. Электроемкостью системы из двух проводников называется физическая величина, определяемая как отношение заряда q одного из проводников к разности потенциалов Δφ между ними:

В системе СИ единица электроемкости называется фарад (Ф):

Величина электроемкости зависит от формы и размеров проводников и от свойств диэлектрика, разделяющего проводники

 

10. Конденсаторы состоят из двух или более близко расположенных друг к другу проводников (обкладок), разделенных слоем диэлектрика (рис. 1), причем толщина слоя диэлектрика между проводниками значительно меньше размеров самих проводников.

Рис. 1

При небольших размерах конденсатор отличается значительной емкостью, не зависящей от наличия вблизи него других зарядов или проводников.

Электроемкостью конденсатора называют физическую величину, численно равную отношению заряда конденсатора к разности потенциалов между его обкладками:

Поле плоского конденсатора можно рассматривать как совокупность полей двух бесконечных разноименно заряженных плоскостей

Емкость плоского конденсатора зависит от площади обкладок, расстояния между ними и диэлектрической проницаемости диэлектрика, заполняющего пространство между обкладками конденсатора, но не зависит от материала, из которого эти пластины изготовлены.

Конденсаторы можно классифицировать по следующим признакам и свойствам:

1. по назначению — конденсаторы постоянной и переменной емкости;

2. по форме обкладок различают конденсаторы плоские, сферические, цилиндрические и др.;

3. по типу диэлектрика — воздушные, бумажные, слюдяные, керамические, электролитические и т.д.

 

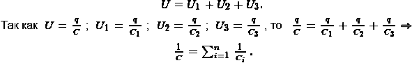
11. При последовательном соединении конденсаторов (рис. 5) потенциал соединенных между собой обкладок конденсаторов одинаков. Если сообщить одной из обкладок первого конденсатора заряд +q, то у второй обкладки будет заряд -q, у соседней обкладки второго конденсатора заряд +q и т.д. Следовательно,

Напряжение на батарее равно сумме напряжений на всех конденсаторах:

Величина, обратная емкости батареи последовательно соединенных конденсаторов, равна сумме величин, обратных емкостям отдельных конденсаторов.

Если последовательно соединены n одинаковых конденсаторов, то

 

12. При параллельном соединении конденсаторов одни обкладки всех конденсаторов соединяются в один узел, другие — в другой узел. Общий заряд равен алгебраической сумме зарядов каждой из обкладок отдельных конденсаторов (рис 3):

4.

Рис. 3

Так как соединенные обкладки представляют собой один проводник, то потенциалы всех соединенных в один узел обкладок одинаковы и разность потенциалов между обкладками всех конденсаторов одинакова:

Емкость батареи параллельно соединенных конденсаторов равна сумме емкостей отдельных конденсаторов.

Если параллельно соединяют n одинаковых конденсаторов, то


Рис. 4

Если между обкладками плоского конденсатора находятся два различных диэлектрика, причем первый занимает часть площади S1 а второй — часть площади S2 (например, воздушный конденсатор частично погружен в керосин (рис. 4)), то такую систему можно рассматривать как два параллельно соединенных конденсатора. Их общая емкость

 

13)Параллельное соединение конденсаторов.

При параллельной схеме подключения все обкладки конденсаторов соединяются в две группы, причем один вывод с каждого конденсатора соединяется в одну группу с другими, а второй — в другую. Наглядный пример параллельного соединения и схема на картинке.

Все параллельно соединенные конденсаторы подключаются к одному источнику напряжения, поэтому существует на них две точки разности потенциалов или напряжения. На всех выводах конденсаторов будет абсолютно одинаковое напряжение.

При подключении параллельно все конденсаторы вместе, образуют принципиально одну емкость, величина которой будет равняться сумме всех емкостей подключенных в цепи конденсаторов

При параллельном подключении через каждый из конденсаторов потечет разный ток, который будет зависеть от величины емкости каждого из них. Чем выше емкость, тем больший ток потечет через неё.

Параллельное соединение очень часто встречается в жизни. С его помощью можно из группы конденсаторов собрать любую необходимую емкость. Например, для запуска 3 фазного электродвигателя в однофазной сети 220 Вольт в результате расчетов Вы получили что необходима рабочая емкость 125 мкФ. Такой емкости конденсаторов Вы не найдете в продаже. Для того, что бы получить необходимую емкость придется купить и соединить параллельно 3 конденсатора один на 100 мкФ, второй- на 20, и третий на 5 мкФ.

 

14)Энергия конденсатора.

15)Электрический ток. Сила тока. Плотность тока.

Электрическим током называется направленное (упорядоченное) движение заряженных частиц.

Для существования электрического тока в веществе необходимо:

  1. наличие заряженных частиц, способных свободно перемещаться по проводнику под действием сил электрического поля;
  2. наличие источника тока, создающего и поддерживающего в проводнике в течение длительного времени электрическое поле.

Количественными характеристиками электрического тока являются сила тока I и плотность тока j.

Сила тока — скалярная физическая величина, определяемая отношением заряда q, проходящего через поперечное сечение проводника за некоторый промежуток времени t, к этому промежутку времени.

Плотность тока j — это векторная физическая величина, модуль которой определяется отношением силы тока I в проводнике к площади S поперечного сечения проводника, т.е.

 

16)Сторонние силы ЭДС источника. Условия существования электрического тока.

Для протекания электрического тока в проводнике необходимо, чтобы на его концах поддерживалась разность потенциалов. Очевидно, для этой цели не может быть использован заряженный конденсатор. Действительно, если включить в цепь проводника заряженный конденсатор (рис.5.9) и замкнуть цепь, то под действием сил электростатического поля заряды придут в движение, возникнет кратковременный ток, после чего установится равновесное распределение зарядов, при котором потенциалы концов проводника выравниваются и ток прекращается. Другими словами, электростатическое поле конденсатора не может осуществить постоянную циркуляцию зарядов в цепи (то есть электрический ток), что является следствием потенциальности электростатического поля – равенства нулю работы сил электростатического поля по замкнутому контуру. Таким образом, для поддержания постоянного тока в замкнутой цепи необходимо действие сторонних сил неэлектростатического происхождения и не являющихся потенциальными силами.


Кратковременный ток.

Рис.5.9. Заряженный конденсатор не может служить источником постоянного тока.

Эти силы могут быть обусловлены химическими процессами, диффузией носителей заряда через границу двух разнородных проводников, магнитными полями, другими причинами.

 

17)Закон Ома для участка цепи.

ЗАКОН ОМА для участка электрической цепи (проводника), не содержащего источников электродвижущей силы: I = U/R.
Величина R (сопротивление) для данного проводника величина постоянная, и характеризует материал, его форму и размеры.

Если на участке цепи помимо сопротивления имеется источник тока, имеющий внутреннее сопротивление r, то закон Ома для участка цепи приобретает вид:
I = Е /(R+ r), где Е - электродвижущая сила.

Закон Ома для участка цепи в дифференциальной форме связывает плотность тока j с полной напряжённостью электрического поля Е в каждой точке проводника через коэффициент, получивший название электропроводность: J = sЕ.

18)Сопротивление проводника, зависимость его от материала, геометрических размеров и температуры.

1) Сопротивление проводника прямо пропорционально длине проводника и обратно пропорционально площади поперечного сечения: R = "ро"l/S; "ро" - удельное сопротивление проводника, приводится в таблицах, показывает, чему равно сопротивление проводника длиной 1 м и площадью поперечного сечения 1 кв. мм. Есть и другая единица измерения удельного сопротивления проводника.
2)У металлических проводников сопротивление с увеличением температуры возрастает R = R0(1+at); Здесь R0 - сопротивление при нуле по Цельсию, а - термический коэффициент сопротивлени, приводится в таблице, показывает, на какую часть первоначального сопротивления оно возрастает при нагревании на 1 градус С (Цельсия)
При очень низких температурах указанная зависимость не выполняется.

19)Последовательное соединение резисторов. Вывод формулы сопративления.

Последовательное соединение резисторов применяется для увеличения сопротивления. Т.е. когда резисторы соединены последовательно, общее сопротивление равняется сумме сопротивлений каждого резистора. Например, если резисторы R1 и R2 соединены последовательно, их общее сопротивление высчитывается по формуле:
R = R1 + R2.
Это справедливо и для большего количества соединённых последовательно резисторов:
R = R1 + R2 + R3 + R4 +... + Rn.


20)Паралельное соединение резисторов. Вывод формулы сопративления.

Параллельное соединение резисторов. При параллельном соединении резисторов нескольких приемников они включаются между двумя точками электрической цепи, образуя параллельные ветви (рис. 26, а). Заменяя

Рис. 26. Схемы параллельного соединения приемников

лампы резисторами с сопротивлениями R1, R2, R3, получим схему, показанную на рис. 26, б.
При параллельном соединении ко всем резисторам приложено одинаковое напряжение U. Поэтому согласно закону Ома:

I1=U/R1; I2=U/R2; I3=U/R3.

Ток в неразветвленной части цепи согласно первому закону Кирхгофа I = I1+I2+I3, или

I = U / R1 + U / R2 + U / R3 = U (1/R1 + 1/R2 + 1/R3) = U / Rэк (23)

Следовательно, эквивалентное сопротивление рассматриваемой цепи при параллельном соединении трех резисторов определяется формулой

1/Rэк = 1/R1 + 1/R2 + 1/R3 (24)

Вводя в формулу (24) вместо значений 1/Rэк, 1/R1, 1/R2 и 1/R3 соответствующие проводимости Gэк, G1, G2 и G3, получим: эквивалентная проводимость параллельной цепи равна сумме проводимостей параллельно соединенных резисторов:

Gэк = G1+ G2 +G3 (25)

Таким образом, при увеличении числа параллельно включаемых резисторов результирующая проводимость электрической цепи увеличивается, а результирующее сопротивление уменьшается.
Из приведенных формул следует, что токи распределяются между параллельными ветвями обратно пропорционально их электрическим сопротивлениям или прямо пропорционально их проводимостям. Например, при трех ветвях

I1: I2: I3 = 1/R1: 1/R2: 1/R3 = G1 + G2 + G3 (26)

 

21)Закон Ома для полной цепи.

Закон Ома для полной цепи связывает величину силы тока в ней, величину электродвижущей силы (ЭДС) и полное сопротивление цепи.

Выражается формулой: I = E / (R+r),
где I - сила тока
E - электродвижущая сила
R - внешнее сопротивление цепи (т. е. сопротивление той
части цепи, которая находится за пределами источника
ЭДС)
r - внутреннее сопротивление источника ЭДС

22)приборы для измерения тока и напряжения. Включение их в цепь.

Амперметр.

Для того чтобы включение амперметра не оказывало влияния на работу электрических установок и он не создавал больших потерь энергии, амперметры выполняют с малым внутренним сопротивлением. Поэтому практически сопротивление его можно считать равным нулю и пренебрегать вызываемым им падением напряжения. Амперметр можно включать в цепь только последовательно с нагрузкой. Если амперметр подключить непосредственно к источнику 1, то через катушку прибора пойдет очень большой ток (сопротивление амперметра мало) и она сгорит

Вольтметр.

Для того чтобы включение вольтметра не оказывало влияния на работу электрических установок и он не создавал больших потерь энергии, вольтметры выполняют с большим сопротивлением. Поэтому практически можно пренебрегать проходящим по вольтметру током.

23)Последовательное соединение источников.

При последовательном соединении проводников сила тока в любых частях цепи одна и та же:

Полное напряжение в цепи при последовательном соединении, или напряжение на полюсах источника тока, равно сумме напряжений на отдельных участках цепи:

24)Параллельное соединение источников.

Сила тока в неразветвленной части цепи равна сумме сил токов в отдельных параллельно соединённых проводниках:

Напряжение на участках цепи АВ и на концах всех параллельно соединённых проводников одно и то же:

 

25) работа постоянного тока. закон джоуля-ленца.

Работа тока - это работа электрического поля по переносу электрических зарядов вдоль проводника;

Работа тока на участке цепи равна произведению силы тока, напряжения и времени, в течение которого работа совершалась.


Применяя формулу закона Ома для участка цепи, можно записать несколько вариантов формулы для расчета работы тока:


По закону сохранения энергии:


работа равна изменению энергии участка цепи, поэтому выделяемая проводником энергия равна работе тока.


В системе СИ:

 


ЗАКОН ДЖОУЛЯ -ЛЕНЦА


При прохождениии тока по проводнику проводник нагревается, и происходит теплообмен с окружающей средой, т.е. проводник отдает теплоту окружающим его телам.


Количество теплоты, выделяемое проводником с током в окружающую среду, равно произведению квадрата силы тока, сопротивления проводника и времени прохождения тока по проводнику.


По закону сохранения энергии количество теплоты, выделяемое проводником численно равно работе, которую совершает протекающий по проводнику ток за это же время.

 

26)Магнитное поле. Силовые линии магнитного поля. Магнитное поле солиноида, прямого тока.

Магни́тное по́ле — силовое поле, действующее на движущиеся электрические заряды и на тела, обладающие магнитным моментом, независимо от состояния их движения[1]; магнитная составляющая электромагнитного поля[2].

Магнитное поле соленоида можно представить как результат сложения полей, создаваемых несколькими круговыми токами, имеющими общую ось

Рассмотрим магнитное поле прямого тока (рис. 1.6).

Рис. 1.6

Все векторы от произвольных элементарных участков имеют одинаковое направление. Поэтому сложение векторов можно заменить сложением модулей.

Пусть точка, в которой определяется магнитное поле, находится на расстоянии b от провода. Из рисунка 1.6 видно, что:

Подставив найденные значения r и d l в закон Био–Савара–Лапласа, получим:

Для конечного проводника угол α изменяется от , до . Тогда

  ,

27)Сила взаимодействия параллельных токов. Магнитная проницаемость среды.

При одинаковых направлениях токов парал­лельные проводники притягиваются, а при противоположных на­правлениях отталкиваются.

Магнитная проницаемость — физическая величина, коэффициент (зависящий от свойств среды), характеризующий связь между магнитной индукцией и напряжённостью магнитного поля в веществе. Для разных сред этот коэффициент различен, поэтому говорят о магнитной проницаемости конкретной среды (подразумевая ее состав, состояние, температуру и т. д.).

28)Действие магнитного поля на проводник с током, закон Ампера.

магнитное поле действует с некоторой силой на любой проводник с током, находящийся в этом поле.

Действительно, расположим проводник с током (см. рис. 1) так, чтобы только один прямолинейный участок его аb оказался в сильном магнитном поле (между полюсами подковообразного магнита), а остальные части цепи находились в областях пространства, где магнитное поле слабое и его действием на эти части цепи можно пренебречь.

Опыт показывает, что в зависимости от направления тока и от расположения полюсов магнита проводник аb движется вправо или влево, вверх или вниз. На проводники, расположенные вдоль направления магнитного поля, силы не действуют.

Рис. 1

 

Силу, действующую на проводник с током в магнитном поле, называют силой Ампера. Направление силы Ампера можно определить, пользуясь правилом левой руки: руку располагают так, чтобы нормальная к проводнику составляющая магнитной индукции входила в ладонь, четыре вытянутых пальца были направлены по току: тогда отогнутый на 90° большой палец укажет направление действующей на проводник силы Ампера

29)Работа при перемещении проводника с током в магнитном поле.

перпендикулярном к плоскости контура. При показанном на рисунке направлении тока I, вектор сонаправлен с .

Рис. 2.17

На элемент тока I (подвижный провод) длиной l действует сила Ампера, направленная вправо:

Пусть проводник l переместится параллельно самому себе на расстояние d x. При этом совершится работа:

Итак,

  , (2.9.1)  

Работа, совершаемая проводником с током при перемещении, численно равна произведению тока на магнитный поток, пересечённый этим проводником.

Формула остаётся справедливой, если проводник любой формы движется под любым углом к линиям вектора магнитной индукции.

Выведем выражение для работы по перемещению замкнутого контура с током в магнитном поле.

Рассмотрим прямоугольный контур с током 1-2-3-4-1 (рис. 2.18). Магнитное поле направлено от нас перпендикулярно плоскости контура. Магнитный поток , пронизывающий контур, направлен по нормали к контуру, поэтому .

Рис. 2.18

Переместим этот контур параллельно самому себе в новое положение 1'-2'-3'-4'-1'. Магнитное поле в общем случае может быть неоднородным и новый контур будет пронизан магнитным потоком .

Площадка 4-3-2'-1'-4, расположенная между старым и новым контуром, пронизывается потоком .

Полная работа по перемещению контура в магнитном поле равна алгебраической сумме работ, совершаемых при перемещении каждой из четырех сторон контура:

где , равны нулю, т.к. эти стороны не пересекают магнитного потока, при своём перемещение (очерчивают нулевую площадку).

.

Провод 1–2 перерезает поток (), но движется против сил действия магнитного поля.

.

Тогда общая работа по перемещению контура

или

  , (2.9.2)  

здесь – это изменение магнитного потока, сцепленного с контуром.

Работа, совершаемая при перемещении замкнутого контура с током в магнитном поле, равна произведению величины тока на изменение магнитного потока, сцепленного с этим контуром.

Элементарную работу по бесконечно малому перемещению контура в магнитном поле можно найти по формуле

  , (2.9.5)  

Выражения (2.9.1) и (2.9.5) внешне тождественны, но физический смысл величины d Ф различен.

Соотношение (2.9.5), выведенное нами для простейшего случая, остаётся справедливым для контура любой формы в произвольном магнитном поле. Более того, если контур неподвижен, а меняется , то при изменении магнитного потока в контуре на величину dФ, магнитное поле совершает ту же работу

30)Магнитная индукция тока различной формы. Напряжённость магнитного поля.

Напряжённость магни́тного по́ля (стандартное обозначение Н) — векторная физическая величина, равная разности вектора магнитной индукции B и вектора намагниченности M.

В Международной системе единиц (СИ): где — магнитная постоянная.

Магни́тная инду́кция — векторная величина, являющаяся силовой характеристикой магнитного поля (его действия на заряженные частицы) в данной точке пространства. Определяет, с какой силой магнитное поле действует на заряд , движущийся со скоростью .

Более конкретно, — это такой вектор, что сила Лоренца , действующая со стороны магнитного поля[1] на заряд , движущийся со скоростью , равна

где косым крестом обозначено векторное произведение, α — угол между векторами скорости и магнитной индукции (направление вектора перпендикулярно им обоим и направлено по правилу левой руки).

Также магнитная индукция может быть определена[2] как отношение максимального механического момента сил, действующих на рамку с током, помещенную в однородное поле, к произведению силы тока в рамке на её площадь.

Является основной фундаментальной характеристикой магнитного поля, аналогичной вектору напряжённости электрического поля.

В системе СГС магнитная индукция поля измеряется в гауссах (Гс), в системе СИ — в теслах (Тл)

1 Тл = 104 Гс

31)Магнитные свойства веществ.

С фундаментальной точки зрения, как это было указано выше, магнитное поле может создаваться (а значит — в контексте этого параграфа — и ослабляться или усиливаться) переменным электрическим полем, электрическими токами в виде потоков заряженных частиц или магнитными моментами частиц.

Конкретные микроскопические структуры и свойства различных веществ (а также их смесей, сплавов, агрегатных состояний, кристаллических модификаций и т. д.) приводят к тому, что на макроскопическом уровне они могут вести себя достаточно разнообразно под действием внешнего магнитного поля (в частности, ослабляя или усиливая его в разной степени).

В связи с этим вещества (и вообще среды) в отношении их магнитных свойств делятся на такие основные группы:

  • Антиферромагнетики — вещества, в которых установился антиферромагнитный порядок магнитных моментов атомов или ионов: магнитные моменты веществ направлены противоположно и равны по силе.
  • Диамагнетики — вещества, намагничивающиеся против направления внешнего магнитного поля.
  • Парамагнетики — вещества, которые намагничиваются во внешнем магнитном поле в направлении внешнего магнитного поля.
  • Ферромагнетики — вещества, в которых ниже определённой критической температуры (точки Кюри) устанавливается дальний ферромагнитный порядок магнитных моментов.
  • Ферримагнетики — материалы, у которых магнитные моменты вещества направлены противоположно и не равны по силе.
  • К перечисленным выше группам веществ в основном относятся обычные твердые или (к некоторым) жидкие вещества, а также газы. Существенно отличается взаимодействие с магнитным полем сверхпроводников и плазмы.

32) Сила Лоренция. Движение зарядов в магнитном поле







Date: 2015-07-27; view: 1361; Нарушение авторских прав



mydocx.ru - 2015-2026 year. (0.646 sec.) Все материалы представленные на сайте исключительно с целью ознакомления читателями и не преследуют коммерческих целей или нарушение авторских прав - Пожаловаться на публикацию