Главная Случайная страница


Полезное:

Как сделать разговор полезным и приятным Как сделать объемную звезду своими руками Как сделать то, что делать не хочется? Как сделать погремушку Как сделать так чтобы женщины сами знакомились с вами Как сделать идею коммерческой Как сделать хорошую растяжку ног? Как сделать наш разум здоровым? Как сделать, чтобы люди обманывали меньше Вопрос 4. Как сделать так, чтобы вас уважали и ценили? Как сделать лучше себе и другим людям Как сделать свидание интересным?


Категории:

АрхитектураАстрономияБиологияГеографияГеологияИнформатикаИскусствоИсторияКулинарияКультураМаркетингМатематикаМедицинаМенеджментОхрана трудаПравоПроизводствоПсихологияРелигияСоциологияСпортТехникаФизикаФилософияХимияЭкологияЭкономикаЭлектроника






Нахождение из графика параметров зависимостей





Для начала рассмотрим случай линейной зависимости. Пусть из теоретических соображений известно, что физические величины и связаны соотношением

и требуется определить значение коэффициентов , . Казалось бы, алгоритм прост: строим график , наносим на него экспериментальные точки, проводим прямую, по которой легко находятся искомые коэффициенты. Однако экспериментальные точки зачастую не ложатся на одну линию, поэтому прямую по ним можно построить не одну и получить разные (хотя и близкие) значения для коэффициентов. Как же провести оптимальную прямую? Наиболее простой способ сделать это — провести линию так, чтобы по обе стороны от неё оказалось одинаковое количество экспериментальных точек, и линия проходила через все области ошибок точек. Для этого удобно использовать прозрачную линейку. Бывают случаи, когда прямая не проходит через все области ошибок точек – в этом случае погрешность эксперимента недооценена, и прямая строится так, чтобы она лежала максимально близко к полученным значениям точек. Данный способ не является самым точным и некоторый произвол в проведении прямой всё ещё остаётся, но считается, что получающаяся точность достаточна для школьных олимпиад (вплоть до заключительного этапа всероссийской). Более точным является метод наименьших квадратов (МНК). Его идея заключается в поиске прямой, сумма квадратов отклонений экспериментальных точек от которой была бы минимальна. Значения коэффициентов и при этом задаются следующими выражениями:

где угловыми скобками обозначено усреднение: . На олимпиадах можно пользоваться методом наименьших квадратов (особенно если калькулятор позволяет легко проводить статистические расчёты), однако это занимает больше времени, чем способ с прозрачной линейкой, и не будет оценено дополнительными баллами[3].

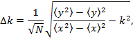
Помимо определения значений коэффициентов и нужно ещё узнать их погрешность. При использовании МНК, погрешности коэффициентов рассчитываются по формулам:

Для графической оценки погрешности коэффициента нужно повернуть линию 2 раза таким образом, чтобы отношение количества точек сверху и снизу линии в первый раз оказалось равным 2:1, а во второй раз 1:2. Таким образом, получается верхняя ограничивающая линия с угловым коэффициентом и нижняя с коэффициентом . Затем погрешность рассчитывается по формуле

где — количество точек на графике. Аналогично проводится графическая оценка погрешности коэффициента , только теперь нужно не менять наклон линии, а смещать её параллельно. Однако, все подобные правила являются условными, основная цель данных построений – рассчитать угловой коэффициент прямой и его погрешность.

Пример:

Пусть на тела разной массы действует одинаковая сила, и был проведен эксперимент по определению ускорения этих тел. Необходимо узнать, какова была сила, действующая на тела.

Тогда в предположении выполнения второго закона Ньютона, построим график зависимости массы тела от обратной величины ускорения этого тела. Проведем через экспериментальные точки прямую, угловой коэффициент которой окажется равным силе , действующей на тела.

Найдем из графика:










Date: 2015-07-27; view: 448; Нарушение авторских прав



mydocx.ru - 2015-2026 year. (1.089 sec.) Все материалы представленные на сайте исключительно с целью ознакомления читателями и не преследуют коммерческих целей или нарушение авторских прав - Пожаловаться на публикацию