Главная Случайная страница


Полезное:

Как сделать разговор полезным и приятным Как сделать объемную звезду своими руками Как сделать то, что делать не хочется? Как сделать погремушку Как сделать так чтобы женщины сами знакомились с вами Как сделать идею коммерческой Как сделать хорошую растяжку ног? Как сделать наш разум здоровым? Как сделать, чтобы люди обманывали меньше Вопрос 4. Как сделать так, чтобы вас уважали и ценили? Как сделать лучше себе и другим людям Как сделать свидание интересным?


Категории:

АрхитектураАстрономияБиологияГеографияГеологияИнформатикаИскусствоИсторияКулинарияКультураМаркетингМатематикаМедицинаМенеджментОхрана трудаПравоПроизводствоПсихологияРелигияСоциологияСпортТехникаФизикаФилософияХимияЭкологияЭкономикаЭлектроника






Просторові зв’язки у виробничому процесі





Структуроутворення. Окремі частини і стадії сукупного виробничого процесу виготовлення складної продукції здійснюються в просторово відокремлених елементах та підсистемах, які мають функціональну спеціалізацію.

Типовий склад елементів, підсистем виробничої системи, які спрямовані на виконання основного завдання з випуску певної кінцевої продукції, визначається технологією її виготовлення при забезпеченні максимального здійснення основних структуроутворюючих зв’язків: взаємодії, функціонування, синергізму. Такі зв’язки структурних елементів та підсистем зумовлюють існування виробничої системи взагалі.

Зв’язки взаємодії полягають у впливі один на одного матеріальних об’єктів, трудових колективів та окремих працівників у процесі виробництва. На основі зв’язків взаємодії будуються технологічні та виробничі процеси, їх просторова й часова організація.

Але не всі структурні частини системи однаково функціонально необхідні. Тому створенню оптимальної структури виробничої системи передує вивчення функціональних і синергійних зв’язків щільності взаємодії елементів як у межах системи (підсистем), та і з зовнішнім середовищем.

Функціональні зв’язки. Відомо, що технологічний процес визначає упорядковану сукупність послідовних дій (операцій) з перетворення предмета праці та виготовлення готового виробу. Кожна операція виконується на певному устаткуванні, яке поєднується технологічною взаємодією при реалізації виробничого процесу. Така взаємодія зумовлює функціональні зв’язки елементів, які утворюють технологічну структуру виробничої системи. Таким чином, функціональні зв’язки структурного елемента характеризують ступінь його виробничої орієнтації на досягнення кінцевої мети системи.

Визначити рівень функціональних зв’язків структурного елемента (підрозділу) можна за допомогою коефіцієнта його орієнтації (замкненості) на функціональний вихід системи:

де Вф — величина функціонального виходу елемента, що задається функцією системи (у штуках, тоннах, гривнях);

Bj — значення j-го побічного виходу цього елемента, що не пов’язане безпосередньо з його функцією;

n — кількість побічних виходів елемента.

0,5, при Ковс = 1 елемент повністю орієнтований на мету системи в цілому. Вимірювання ступеня зв’язку можна здійснити за допомогою різних показників (у штуках, тоннах, кіловатах, гривнях та ін.). Наприклад, цех пластмас заводу виготовляє 1000 тис. корпусів апаратів на рік, з них 300 тис. шт. передає складальним цехам свого підприємства, а 700 тис. шт. поставляє замовникам. У такому випадку Ковс=300/(700+300)=0,3 що означає орієнтацію цеху переважно на зовнішні зв’язки. При цьому функціональний зв’язок елемента (підсистеми, підрозділу) з системою вважається суттєвим, якщо Ковс

Висновок: чим більше кожний з елементів (підрозділів) виконує функцій для системи в цілому, тим міцніші його системоутворюючі функціональні зв’язки.

Рівень функціональних зв’язків елемента (підрозділу) системи за входом можна також визначити коефіцієнтом орієнтації (замкненості) його на споживання внутрішніх ресурсів:

де Вхі — значення функціонального входу елемента (підрозділу), що визначається виходом і-го елемента системи (підприємства);

m — кількість функціональних входів від підрозділів підприємства;

n — кількість функціональних входів із зовнішнього середовища

Вхj — значення j-го входу цього підрозділу від елементів зовнішнього середовища. Це свідчить про те, що при збільшенні споживання матеріальних ресурсів даного елемента (підрозділу) від інших елементів (підрозділів) підвищується замкненість за входом.

Ступінь функціональної замкненості структури виробничої системи в цілому характеризується середньоваговим коефіцієнтом:

де ф — кількість основних фаз (стадій, переділів, сукупних операцій) з перетворення сирих матеріалів у готовий продукт. На підставі формули можна зробити висновок: функціональна замкненість виробничої системи буде найбільшою, якщо вона зосередить максимальну кількість операцій сукупного процесу.

Синергійні зв’язки. Для визначення оптимальної структури просторового розташування виробничого процесу показників функціональної замкненості недостатньо. Для цього треба проаналізувати синергійні (системного ефекту) зв’язки елементів (підрозділів) системи (підприємства). Синергійні зв’язки характеризують ступінь економічно доцільної сумісності будь-якого елемента з іншими елементами і системою в цілому.

 

Синергійний ефект створюється від:


- перевищення виходу над входом системи при взаємодії елементів системи за даного обсягу ресурсів споживання (наприклад, глибоке перероблення і комплексне використання сировини);

- використання відходів та викидів виробництва для виготовлення основної продукції (наприклад, синергійний ефект комбінування полягає у використанні супутніх газів, відходів металу, залишкового тепла, у напівфабрикатах попереднього переділу та інших відходів);

- розташування структурних елементів (підрозділів), що виконують окремі стадії процесу в одній виробничій системі (підприємстві), завдяки чому скорочуються витрати на переміщення предметів від стадії до стадії;

- забезпечення безперервності процесу під час переходу від однієї стадії до іншої;

- зменшення трудових і фінансових ресурсів на управління і обслуговування за рахунок суміщення та спрощення багатьох функцій, що притаманні самостійним підрозділам, обсяг яких відносно зменшується зворотно пропорційно кількості елементів, що суміщаються в однієї системі.

Синергійний ефект може бути негативним у випадках, коли в системі концентруються елементи, які не можуть функціонувати в оптимальних параметрах з причин малих обсягів, низького рівня спеціалізації і продуктивності порівняно з параметрами високоефективних виробничих систем.

Такий стан характерний для підприємств, що спеціалізуються на випуску складної продукції, яка комплектується з множини різнопредметних, різноресурсних, різнорідних частин. При цьому системний ефект частіше забезпечується за умови виготовлення цих частин як стадій отримання готового виробу в самостійних спеціалізованих виробничих системах.

Наприклад, зарубіжний досвід показує, що машинобудівному підприємству доцільно отримувати відливки та поковки від спеціалізованих підприємств, де потужності ливарного та кувального виробництв використовуються повніше.

Аналіз синергійних зв’язків показує, що включення до складу виробничої системи максимальної кількості елементів (підрозділів), які мають функціональну сумісність, у багатьох випадках не тільки не забезпечує економію ресурсів, а веде до перевищення входу над виходом, тобто втрат.

Висновок: збільшення кількості виробничих підрозділів збільшує обсяг ресурсів, що споживаються.

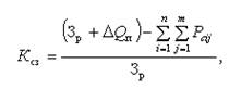
Ступінь економічної сумісності структурних елементів виробничої системи (підрозділів підприємства) визначається коефіцієнтом синергійної замкненості системи Кез, який розраховується за формулою:

де Рсіj — витрати і-го ресурсу у j-му елементі системи;

Зр — обсяг витрачених ресурсів на випуск продукції в умовах мінімальної функціональної замкненості системи (поза системою);

Qп — приріст (перевищення) обсягу продукції в результаті системного використання ресурсів;

п — кількість видів ресурсів;

m — кількість структурних елементів, що включені до системи.

Він характеризує частку економії або перевитрат при забезпеченні повної функціональної суміщеності елементів виробничої системи. Іншими словами, показує доцільну кількість об’єднання основних та допоміжних (обслуговуючих) елементів (підрозділів) в одну виробничу систему (підприємство).

Таким чином, склад виробничої системи, її структура формуються з елементів, які мають функціональні і синергійні зв’язки взаємодії, безпосередньо беруть участь у виробничому процесі та у формуванні системного ефекту, забезпечуючи функціонування цілісної системи в оптимальних параметрах. Цілісність виробничої системи визначається міцністю зв’язків її елементів між собою і зовнішнім середовищем. Чим більше кожний підрозділ орієнтований на здійснення мети системи в цілому, тим міцніші зв’язки між ними і слабкіші з зовнішнім середовищем.


Просторові зв’язки. Розглянуті зв’язки характеризують технологічну єдність та економічну доцільність елементного складу системи, але для забезпечення ефективного перетину виробничого процесу дуже важливим є його просторове розташування і всіх необхідних компонентів та підсистем.

Організація виробничого процесу значною мірою забезпечується просторовими зв’язками, визначаючи склад, взаємне розташування і взаємодію елементів системи (підрозділів підприємства). Просторові зв’язки істотно впливають на результати функціонування елементів та системи в цілому. Найбільша ефективність досягається за умови забезпечення просторовими зв’язками максимального рівня прямоточності, пропорційності, безперервності та спеціалізації сукупного виробничого процесу і його окремих операцій, що оптимально відображається в поточному виробництві.

Раціональні просторові функціональні зв’язки у виробничому процесі забезпечуються спеціалізацією і взаємним розташуванням елементів (верстатів, робочих місць, підрозділів) на певній площі.

Внутрішні функціональні взаємозв’язки виробничого процесу підпорядковуються вимогам таких принципів: максимального скорочення переміщень предметів праці, робочої сили, забезпечення сприятливих умов праці, безперебійності процесів, мінімізації площі їх реалізації.

 







Date: 2015-07-27; view: 456; Нарушение авторских прав



mydocx.ru - 2015-2026 year. (0.814 sec.) Все материалы представленные на сайте исключительно с целью ознакомления читателями и не преследуют коммерческих целей или нарушение авторских прав - Пожаловаться на публикацию