Главная Случайная страница


Полезное:

Как сделать разговор полезным и приятным Как сделать объемную звезду своими руками Как сделать то, что делать не хочется? Как сделать погремушку Как сделать так чтобы женщины сами знакомились с вами Как сделать идею коммерческой Как сделать хорошую растяжку ног? Как сделать наш разум здоровым? Как сделать, чтобы люди обманывали меньше Вопрос 4. Как сделать так, чтобы вас уважали и ценили? Как сделать лучше себе и другим людям Как сделать свидание интересным?


Категории:

АрхитектураАстрономияБиологияГеографияГеологияИнформатикаИскусствоИсторияКулинарияКультураМаркетингМатематикаМедицинаМенеджментОхрана трудаПравоПроизводствоПсихологияРелигияСоциологияСпортТехникаФизикаФилософияХимияЭкологияЭкономикаЭлектроника






Тепловой расчет





150) Расчетные сопротивления обмоток

Где поправочный коэффициент, с помощью которого приводятся температуры обмоток к предельно допустимым температурам; при классе нагревостойкости В

151) Потери в обмотках

152) Коэффициент теплоотдачи с внешней поверхности якоря

153) Превышение температуры охлаждаемой поверхности якоря

154) Перепад температуры охлаждаемой поверхности якоря

Где:

155) Превышение температуры охлаждаемой поверхности лобовых частей обмотки якоря

где коэффициент теплоотдачи с лобовых поверхностей обмотки якоря

вылет лобовых частей обмотки якоря

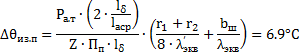
156) Перепад температуры в изоляции лобовой части обмотки якоря

где

157) Среднее превышение температуры обмотки якоря над температурой охлаждающего воздуха

158) Сумма потерь, отводимых воздухом, охлаждающим внутренний объем двигателя

 

159) Условная поверхность охлаждения двигателя

160) Среднее превышение температуры воздуха внутри двигателя

где

161) Среднее превышение температуры обмотки якоря над температурой охлаждающей среды

162) Превышение температуры наружной поверхности катушки возбуждения над температурой воздуха внутри машины

где

163) Перепад температуры в изоляции катушки

164) Среднее превышение температуры обмотки возбуждения над температурой окружающей среды

165) Превышение температуры наружной поверхности добавочного полюса над температурой воздуха машины

где

166) Перепад температуры в изоляции катушки добавочного полюса для обмотки прямоугольного провода

 

 

167) Среднее превышение температуры обмотки добавочных полюсов над температурой охлаждающей среды

168) Превышение температуры наружной поверхности коллектора над температурой воздуха внутри двигателя

 

где коэффициент теплоотдачи поверхности коллектора (см.рис.11.31)







Date: 2015-07-27; view: 383; Нарушение авторских прав



mydocx.ru - 2015-2026 year. (0.942 sec.) Все материалы представленные на сайте исключительно с целью ознакомления читателями и не преследуют коммерческих целей или нарушение авторских прав - Пожаловаться на публикацию