Главная Случайная страница


Полезное:

Как сделать разговор полезным и приятным Как сделать объемную звезду своими руками Как сделать то, что делать не хочется? Как сделать погремушку Как сделать так чтобы женщины сами знакомились с вами Как сделать идею коммерческой Как сделать хорошую растяжку ног? Как сделать наш разум здоровым? Как сделать, чтобы люди обманывали меньше Вопрос 4. Как сделать так, чтобы вас уважали и ценили? Как сделать лучше себе и другим людям Как сделать свидание интересным?


Категории:

АрхитектураАстрономияБиологияГеографияГеологияИнформатикаИскусствоИсторияКулинарияКультураМаркетингМатематикаМедицинаМенеджментОхрана трудаПравоПроизводствоПсихологияРелигияСоциологияСпортТехникаФизикаФилософияХимияЭкологияЭкономикаЭлектроника






Обобщённые формулировки





Доказательство теоремы Гёделя обычно проводят для конкретной формальной системы (не обязательно одной и той же), соответственно утверждение теоремы оказывается доказанным только для одной этой системы. Исследование достаточных условий, которым должна удовлетворять формальная система для того, чтобы можно было провести доказательство её неполноты, приводит к обобщениям теоремы на широкий класс формальных систем. Пример обобщённой формулировки:

Всякая достаточно сильная рекурсивно аксиоматизируемая непротиворечивая теория первого порядка неполна.

В частности, теорема Гёделя справедлива для каждого непротиворечивого конечно аксиоматизируемого расширения арифметической формальной системы S.

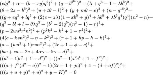
Полиномиальная форма После того, как Юрий Матиясевич доказал диофантовость любого эффективно перечислимого множества и были найдены примеры универсальных диофантовых уравнений, появилась возможность сформулировать теорему о неполноте в полиномиальной (или диофантовой) форме:

Для каждой непротиворечивой теории T можно указать такое целое значение параметра K, что уравнение

не имеет решений в неотрицательных целых числах, но этот факт не может быть доказан в теории T. Более того, для каждой непротиворечивой теории множество значений параметра K, обладающих таким свойством, бесконечно и алгоритмически неперечислимо.

Степень данного уравнения может быть понижена до 4 ценой увеличения количества переменных.

Набросок доказательства В своей статье Гёдель даёт набросок основных идей доказательства, который приведён ниже с незначительными изменениями.

Каждому примитивному символу, выражению и последовательности выражений некоторой формальной системы S поставим в соответствие определённое натуральное число. Математические понятия и утверждения таким образом становятся понятиями и утверждениями о натуральных числах, и, следовательно, сами могут быть выражены в символизме системы S. Можно показать, в частности, что понятия «формула», «вывод», «выводимая формула» определимы внутри системы S, то есть можно восстановить, например, формулу F (v) в S с одной свободной натурально-числовой переменной v такую, что F (v), в интуитивной интерпретации, означает: v — выводимая формула. Теперь построим неразрешимое предложение системы S, то есть предложение A, для которого ни A, ни не-A невыводимы, следующим образом:

Формулу в S с точно одной свободной натурально-числовой переменной назовём класс-выражением. Упорядочим класс-выражения в последовательность каким-либо образом, обозначим n -е через R (n), и заметим, что понятие «класс-выражение», также как и отношение упорядочения R можно определить в системе S. Пусть α — произвольное класс-выражение; через [α; n ] обозначим формулу, которая образуется из класс-выражения α заменой свободной переменной на символ натурального числа n. Тернарное отношение x = [ y; z ] тоже оказывается определимым в S. Теперь определим класс K натуральных чисел следующим образом:

nK ≡ Bew[ R (n); n ] (*)

(где Bew x означает: x — выводимая формула). Так как все определяющие понятия из этого определения можно выразить в S, то это же верно и для понятия K, которое из них построено, то есть имеется такое класс-выражение C, что формула [ C; n ], интуитивно интерпретируемая, обозначает, что натуральное число n принадлежит K. Как класс-выражение, C идентично некоторому определённому R (q) в нашей нумерации, то есть

C = R (q)

выполняется для некоторого определённого натурального числа q. Теперь покажем, что предложение [ R (q); q ] неразрешимо в S. Так, если предложение [ R (q); q ] предполагается выводимым, тогда оно оказывается истинным, то есть, в соответствии со сказанным выше, q будет принадлежать K, то есть, в соответствии с (*), будет выполнено Bew[ R (q); q ], что противоречит нашему предположению. С другой стороны, если предположить выводимым отрицание [ R (q); q ], то будет иметь место qK, то есть Bew[ R (q); q ] будет истинным. Следовательно, [ R (q); q ] вместе со своим отрицанием будет выводимо, что снова невозможно.

Связь с парадоксами В стандартной интерпретации гёделева неразрешимая формула A означает «не существует вывода формулы A», то есть утверждает свою собственную невыводимость в системе S. Таким образом, A является аналогом парадокса лжеца. Рассуждения Гёделя в целом очень похожи на парадокс Ришара. Более того, для доказательства существования невыводимых утверждений может быть использован любой семантический парадокс.


Следует отметить, что выражаемое формулой A утверждение не содержит порочного круга, поскольку изначально утверждается только, что некоторая конкретная формула, явную запись которой получить несложно (хоть и громоздко), недоказуема. «Только впоследствии (и, так сказать, по воле случая) оказывается, что эта формула в точности та, которой выражено само это утверждение».

Вторая теорема Гёделя В формальной арифметике S можно построить такую формулу, которая в стандартной интерпретации является истинной в том и только в том случае, когда теория S непротиворечива. Для этой формулы справедливо утверждение второй теоремы Гёделя:

Если формальная арифметика S непротиворечива, то в ней невыводима формула, содержательно утверждающая непротиворечивость S.

Иными словами, непротиворечивость формальной арифметики не может быть доказана средствами этой теории. Однако, могут существовать доказательства непротиворечивости формальной арифметики, использующие средства, невыразимые в ней.







Date: 2015-08-15; view: 555; Нарушение авторских прав



mydocx.ru - 2015-2026 year. (0.306 sec.) Все материалы представленные на сайте исключительно с целью ознакомления читателями и не преследуют коммерческих целей или нарушение авторских прав - Пожаловаться на публикацию