Главная Случайная страница


Полезное:

Как сделать разговор полезным и приятным Как сделать объемную звезду своими руками Как сделать то, что делать не хочется? Как сделать погремушку Как сделать так чтобы женщины сами знакомились с вами Как сделать идею коммерческой Как сделать хорошую растяжку ног? Как сделать наш разум здоровым? Как сделать, чтобы люди обманывали меньше Вопрос 4. Как сделать так, чтобы вас уважали и ценили? Как сделать лучше себе и другим людям Как сделать свидание интересным?


Категории:

АрхитектураАстрономияБиологияГеографияГеологияИнформатикаИскусствоИсторияКулинарияКультураМаркетингМатематикаМедицинаМенеджментОхрана трудаПравоПроизводствоПсихологияРелигияСоциологияСпортТехникаФизикаФилософияХимияЭкологияЭкономикаЭлектроника






Научные достижения Пифагора и его школы





 

Теперь, собственно, настало время для того, чтобы перейти к описанию той сферы деятельности Пифагора, благодаря которой он и стал героем нашей книги. Но прежде, чем перейти к рассказу о научных достижениях пифагорейцев, следует обсудить еще один аспект взаимоотношений Пифагора и его учеников. Речь идет о вопросе, который вызывает у исследователей особый интерес. А именно: присваивал ли Пифагор себе научные достижения своих последователей и приписывали ли пифагорейцы свои открытия учителю. Казалось бы, этот вопрос несложен. Ямвлих пишет:

 

«У них также был замечательный обычай приписывать все Пифагору и нисколько не присваивать себе славы первооткрывателей, кроме, может быть, нескольких случаев. И действительно, про очень немногих пифагорейцев известно, что они были авторами сочинений».

 

Долгое время такая точка зрения на данный вопрос была общеизвестной. Но сейчас большинство ученых склоняются к тому, что Ямвлих дает ошибочную информацию. Дело в том, что никто, кроме него, не упоминает о таком обычае. Более того, принято считать, что книга «О пифагоровой жизни», из которой взята данная цитата, не содержит в своей основе каких‑либо более древних, а значит – и более достоверных источников. Что же заставило Ямвлиха, жившего через 8 веков после Пифагора, сделать такой вывод? Скорее всего, на подобные мысли его натолкнули распространенные в то время произведения неопифагорейцев, которые приписывались непосредственно основателю учения. Ямвлих прекрасно понимал, что эти сочинения не могут принадлежать Пифагору, и, по всей видимости, сделал вывод о том, что традиция приписывать свои труды учителю бытовала и в раннепифагорейской школе.

При этом следует сказать, что приписываемые Пифагору сочинения начали появляться задолго до Ямвлиха, в III веке до нашей эры. Но эти работы не имели никакого отношения к тем или иным научным проблемам и касались философских, а по большей части – религиозных вопросов. Непосредственной информацией о том, что кто‑то из ранних пифагорейцев приписывал свои открытия или работы Пифагору, нет. Поэтому современные исследователи имеют все основания для того, чтобы попытаться выделить из научных достижений пифагорейской школы часть, которая, скорее всего, принадлежала самому Пифагору. Сперва мы отдадим должное математике – науке, с которой имя нашего героя связывает большинство современников.

Долгое время господствовало мнение, что корни древнегреческой математики уходят в исследования древневосточных, египетских, шумерских и вавилонских авторов. Например, египтянам были известны многие теоремы, приписываемые Фалесу и Пифагору, а вавилоняне умели решать квадратные уравнения. Более того, информация о каких‑либо математических изысканиях древних греков, производившихся до Фалеса и Пифагора, отсутствует. О восточных корнях своей науки говорили и сами греки.

Такая точка зрения распространена и до сих пор, но единственной не является. Дело в том, что математические знания вавилонян и египтян в основном сводились к решению исключительно утилитарных задач: составление календарей, землемерные работы, строительство, раздел имущества. При этом характер чисто теоретических исследований едва ли был присущ этой математике. Решение же практических вопросов на уровне «у Васи было 4 яблока…» наверняка имело место еще в доисторические времена. Переход к решению математических задач в общем виде, в отрыве от контекста, скорее всего, впервые осуществили и начали широко применять греческие ученые. Они же стали строить систему доказываемых математических положений, впервые применив дедуктивный подход к науке. Поэтому многие современные исследователи считают, что математика как наука зародилась именно в Греции. Также существует довольно серьезный довод в пользу того, что греки не использовали научные данные восточного происхождения. Банальный языковой барьер, который греки крайне редко старались преодолеть, изучая чужие языки, скорее всего, был для них серьезным препятствием. Ярким примером, подтверждающим нежелание греков изучать чужие языки и знакомиться с культурой других народов, являются «Начала» Евклида. Евклид большую часть своей жизни провел в Александрии Египетской. И тем не менее, в самом известном его труде собраны только результаты, полученные или изложенные его соотечественниками. Так или иначе, со времен Фалеса Милетского, предшественника и, возможно, учителя Пифагора, греческая наука развивалась относительно самостоятельно и независимо.


Первым греком, который стал известен своими математическими открытиями, был Фалес Милетский. Его, как и Пифагора, нередко называют родоначальником античной науки. Диоген Лаэртий пишет, что в молодости Фалес совершил поездку в Египет, где обучался астрономии и геометрии у жрецов. Разные авторы приписывают Фалесу доказательство нескольких теорем геометрии:

1 – диаметр делит круг пополам;

2 – в равнобедренном треугольнике углы при основании равны;

3 – вертикальные углы, образованные двумя пересекающимися прямыми, равны;

4 – треугольники равны, если равны два их угла и сторона.

Можно заметить, что эти теоремы вполне могли бы подтверждаться эмпирически, и их справедливость при взгляде на соответствующий чертеж очевидна. Тем не менее Фалес посчитал необходимым доказать их логическим путем. И в результате стал основателем дедуктивного метода в науке. Важно еще и то, что ни египтяне, ни вавилоняне в те времена не имели такого понятия, как величина угла. То есть смело можно считать, что теоремы, приписываемые Фалесу, не были заимствованы у ученых Востока.

Как мы уже писали, биографы называют Фалеса одним из учителей Пифагора. В достоверности этой информации можно сомневаться, но то, что Пифагор был знаком с математическими изысканиями Фалеса, сомнений не вызывает.

Пифагор открыл математические закономерности в музыке. Он обнаружил, что высота звука зависит от длины струны или флейты. Считается, что Пифагор определил отношения этих длин для трех гармонических интервалов. Если длины струн соотносятся как 2/1, то звуки, издаваемые ими, будут отличаться на октаву. Соотношению 3/2 соответствует квинта, 4/3 – кварта. Эксперимент, который помог обнаружить эти закономерности, производился с помощью монохорда. Этот однострунный музыкальный инструмент представлял собой струну, натянутую на линейку, имеющую 12 делений. Пифагор обнаружил, что свободная струна звучит созвучно половине струны (октава). Подобным образом были открыты и два других интервала. Возможно, это открытие основывалось на арифметической теории пропорций, начала которой, следовательно, были заложены ранее и, скорее всего, им же. Или же наоборот, теория пропорций стала непосредственным следствием музыкальных экспериментов. Важность этих опытов состоит не только и даже не столько в обнаружении тех или иных математических закономерностей. Здесь важнее то, что они стали, пожалуй, первыми экспериментами, продемонстрировавшими связь физических законов с законами математики.

Непосредственное указание на то, что именно Пифагор был создателем теории пропорций, есть и в комментариях к «Началам» Евклида Прокла – греческого философа и ученого V века нашей эры. Несмотря на то что Прокла от Пифагора отделяет 10 веков, к его информации можно относиться с большим доверием. Дело в том, что упомянутые комментарии содержат «Каталог геометров», составленный по материалам Евдема Родосского – философа IV века до нашей эры. Вот цитата из этого каталога:

 

«…Пифагор преобразовал философию геометрии, сделав ее формой образования свободного человека, рассматривая ее начала абстрактным образом и исследуя теоремы с нематериальной, интеллектуальной точки зрения. Он же открыл теорию пропорций и конструкцию космических тел (правильных многогранников, см. ниже)».


 

Пифагор знал три средние величины:

среднее арифметическое:

среднее геометрическое:

среднее гармоническое:

Вполне вероятно, что именно он придумал все эти величины или какие‑то из них.

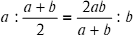
Исследования математических аспектов музыки, по свидетельствам Ямвлиха, привели Пифагора к открытию так называемой «музыкальной» пропорции:

То есть отношение а к среднему арифметическому а и b равно отношению среднего гармонического к b.

В частном виде, при экспериментировании с монохордом можно было получить такое выражение: 12/9 = 8/6. При этом 9 – среднее арифметическое 12 и 6, а 8 – среднее гармоническое. Дальше, скорее всего, были обнаружены и такие равенства: 2/1 = 3/2:3/4. Численно был выражен целый тон, как разница между квинтой и квартой: 3/2:4/3 = 9/8. Естественно, что еще Пифагор и его ученики придали обнаруженным закономерностям, кроме научного, и мистический смысл. Числа, с помощью которых можно было выразить музыкальные интервалы, составили тетрактиду. Вот пример того, как вместе с математической теорией музыки могла развиваться и теория пропорций.

Теперь подробнее рассмотрим теорему, названную в честь нашего героя. Квадрат гипотенузы прямоугольного треугольника равен сумме квадратов двух катетов. И вавилоняне, и египтяне были знакомы с этим утверждением задолго до Пифагора и использовали его знание в практических целях. Конечно же, задаваясь вопросом о том, кто открыл теорему Пифагора, мы, прежде всего, интересуемся тем, кто ее доказал. Споры об этом не прекращаются до сих пор, и вряд ли исследователи когда‑нибудь придут к единому мнению по данному вопросу. Сложность решения этой проблемы связана не только с якобы бытовавшей среди пифагорейцев традицией приписывать свои открытия Пифагору. В свидетельствах биографов встречаются противоречия, которые ставят под сомнение авторство Пифагора. Так, Диоген Лаэртий пишет:

 

В день, когда Пифагор открыл свой чертеж знаменитый,

Славную он за него жертву быками воздвиг.

 

Долгое время эта цитата считалась серьезным косвенным доказательством того, что на самом деле не Пифагор доказал теорему, названную его именем. Ведь такое свидетельство противоречит представлению о Пифагоре как о вегетарианце и факту, что он учил не приносить в жертву животных. Но, как мы уже писали выше, современные исследователи считают, что запрет на принесение в жертву животных, на самом деле, был приписан ученому позже. Поэтому в качестве серьезного возражения против авторства Пифагора такой довод рассматриваться не может. С другой стороны, есть косвенное подтверждение того, что именно Пифагор первым доказал знаменитую теорему. Дело в том, что ее первое доказательство вполне могло вытекать из той же самой теории пропорций. Предположительно оно могло выглядеть следующим образом.


Треугольники ABC, ABD и ACD подобны. Следовательно, их стороны пропорциональны:

Следовательно:

 

АВ2 = BC'BD и АС2 = ВС'DC

 

Сложив эти уравнения, получаем:

 

АВ2 + АС2 = BC(BD + DC); АВ2 + АС2 = ВС2

 

Пифагор создал учение о четных и нечетных числах. Он дал определения этим видам чисел и исследовал их свойства. Историки математики считают, что приведенные ниже утверждения из 9‑й книги «Начал» Евклида восходят к Пифагору и переданы практически в неизмененном виде.

 

21. Если складывается сколько угодно четных чисел, то целое будет четным.

22. Если складывается сколько угодно нечетных чисел, количество же их будет четным, то целое будет четным.

23. Если складывается сколько угодно нечетных чисел, количество же их будет нечетным, то и целое будет нечетным.

24. Если от четного числа отнимается четное, то остаток будет четным.

25. Если от четного числа отнимается нечетное, то остаток будет нечетным.

26. Если от нечетного числа отнимается нечетное, то остаток будет четным.

27. Если от нечетного числа отнимается четное, то остаток будет нечетным.

28. Если нечетное число, умножая четное, производит что‑то, то возникающее будет четным.

29. Если нечетное число, умножая нечетное число, производит что‑то, то возникающее будет нечетным.

30. Если нечетное число измеряет (является делителем) четное число, то оно будет измерять и его половину.

31. Если нечетное число по отношению к некоторому числу будет первым, то оно будет первым и по отношению к его удвоенному.

32. Из чисел, получаемых удвоением от двойки, каждое будет только четно‑четным (см. ниже).

33. Если число имеет нечетную половину, то оно будет только четно‑нечетным.

34. Если число не будет из получаемых удвоением от двойки и не имеет нечетную половину, то оно будет и четно‑четным и четно‑нечетным.

 

Терминология, используемая Евклидом, изложена в начале 7‑й книги. Часть из используемых определений, по всей видимости, тоже восходит к Пифагору.

6. Четное число есть делящееся пополам.

7. Нечетное же – не делящееся пополам или отличающееся на единицу от четного числа.

8. Четно‑четное число – есть четным числом, измеряемое четным числом (раз).

9. Четно же нечетное есть четным числом, измеряемое нечетное число (раз).

10. Нечетно‑четное число есть нечетным числом, измеряемое четное число (раз).

11. Нечетно‑нечетное число есть нечетным числом, измеряемое нечетное число (раз).

О том, что именно Пифагор занимался изучением свойств четных и нечетных чисел, свидетельствуют Аристотель и Аристоксен. Едва ли можно предположить, что эти ученые приписывали Пифагору «честь» открытия вполне очевидных истин. Здесь, как и в случае с теоремой Пифагора, заслугой, безусловно, является доказательства приведенных утверждений. Следовательно, ученый впервые применил дедуктивный подход к арифметике.

Единственное незначительное отличие, содержащееся в книге Евклида, состоит в способе доказательства приведенных утверждений. Евклид в данном фрагменте представляет числа в виде отрезков, а Пифагор и его последователи пользовались счетными камешками (псефами). В остальном доказательства, приводимые Евклидом, скорее всего, сходны с доказательствами Пифагора. Интересно, что в восходящем к Пифагору фрагменте «Начал» для некоторых положений даже применяется такой метод, как доказательство от противного. Открытие этого метода также вполне можно приписать Пифагору.

Исследования свойств четных и нечетных чисел стали первыми исследованиями в области теории чисел. Таким образом, нашего героя с полным правом можно назвать основателем этого раздела математики.

Во времена Пифагора и, скорее всего, им самим, также была разработана теория фигурных чисел. Эта теория стала результатом попыток найти взаимосвязь между числами и геометрическими фигурами. Здесь следует несколько подробнее рассмотреть методы счета, используемые пифагорейцами. Для вычислений, как мы уже говорили, они использовали счетные камешки. Их выкладывали на песке, а позже – на счетной доске (абаке) в виде геометрических фигур. Кстати, некоторые источники приписывают изобретение абака Пифагору. Интересно, что при таком взгляде на числа невозможно было представить ноль. Даже единицу считали не числом, а «числовым атомом», а другие числа считали множеством единиц, что и нашло свое отображение в пифагорейской философии.

Рассматривая фигуры, которые образовывали выложенные на песке псефы, Пифагор обнаружил несколько типов фигурных чисел.

Квадратные числа – сумма ряда нечетных чисел, начиная с единицы: 1 + 3 + 5+… + (2 n – 1) = n2.

Прямоугольные числа – сумма четных чисел, начиная с 2: 2 + 4 + 6 +… + 2n = n (n – 1).

Треугольные числа:

Телесные (объемные) числа:

Простые (линейные) числа – те, которые можно было выложить только в виде линии.

На примере квадратных и прямоугольных чисел можно видеть, что с их помощью вполне могли быть открыты закономерности суммирования арифметических рядов.

Такой способ вычисления вполне мог стать толчком для открытия некоторых математических закономерностей. Возможно, именно так, еще в допифагорейский период, было установлено, что площадь прямоугольника равна произведению его сторон. С помощью псефов можно легко вывести и продемонстрировать справедливость многих арифметических правил, например ab =

и вывести распределительный закон умножения:

 

+ b)с = ас + bc

Именно к способу вычисления с помощью псефов восходит происхождение математических понятий «квадрат» – как вторая, и «куб» – как третья степень.

К сожалению, теория фигурных чисел не вошла в «Начала» Евклида, хотя в определениях к 7‑й книге «Начал» есть описания «плоскостных», «телесных», «квадратных» и «кубических» чисел. Более подробно теория фигурных чисел описана у Никомаха – философа II века нашей эры, но этот источник не содержит доказательств. Тем не менее, было бы странно предположить, что, исследуя свойства четных и нечетных чисел, Пифагор доказывал вполне очевидные вещи и при этом оставил недоказанными гораздо более сложные положения теории фигурных чисел. Так же как для теоремы Пифагора, ученые реконструируют возможные способы доказательств этих положений.

Считается, что с помощью теории фигурных чисел Пифагор вывел метод нахождения неограниченного количества так называемых «пифагоровых троек» – целочисленных длин сторон прямоугольного треугольника. Числа, составляющие пифагоровы тройки, должны укладываться в равенство а2 + b2 = с2. Как видим, эта формула соответствует теореме Пифагора. Пифагор открыл, что числа эти должны иметь следующий вид:

При этом n – нечетное число. Для четного n закономерность, по всей видимости, была выведена уже позднее.

Есть сведения о том, что, изучая делимость чисел, Пифагор открыл дружественные и совершенные числа. Дружественные числа – пары чисел, каждое из которых равно сумме делителей другого. Например: 220 и 284. Совершенные числа равны сумме собственных делителей: 6 (1 + 2 + 3 = 6), 28 (1 + 2 + 4 + 7 + 14 = 28). Об открытии Пифагором дружественных чисел пишет Ямвлих. А описание способа нахождения совершенных чисел есть и у Никомаха, и в «Началах» Евклида. В последнем источнике описание этого способа и доказательство его справедливости расположены в непосредственной близости от описания свойств четных и нечетных чисел (36‑я глава 9‑й книги). Таким образом, можно предположить, что они тоже восходят к Пифагору.

Как мы уже писали выше, ему приписывают и построение «космических тел» – правильных многогранников – тетраэдра, куба, додекаэдра, октаэдра и икосаэдра. То, что Пифагор не мог открыть все пять правильных многоугольников, достоверно известно. Два последних открыл Теэтет – ученый IV века до нашей эры. Некоторые источники утверждают, что додекаэдр построил Гиппас – математик‑пифагореец V века до нашей эры. Таким образом, Пифагору может принадлежать только честь построения двух первых многогранников – тетраэдра и куба.

Также есть сведения о том, что Пифагор открыл и доказал иррациональность

. Но эта информация вызывает серьезные сомнения. Многие источники свидетельствуют о том, что иррациональные величины открыл Гиппас.

Роль Пифагора в становлении и развитии математики, естественно, заключается не только в тех открытиях, которые он сам совершил. Гиппас и другие математики – члены пифагорейских общин – продолжили дело своего учителя. Пользуясь дедуктивным методом, разработанным Фалесом и Пифагором, они заложили прочный фундамент теоретической математики. К сожалению, сведений о том, какие именно открытия принадлежат тому или иному ученому, практически нет. Только о Гиппасе известно, что он открыл способ построения додекаэдра, вписанного в шар, открыл иррациональные величины, работал над теорией пропорций и продолжил изыскания Пифагора в области математической теории музыки.

В целом же о масштабах достижений пифагорейских математиков можно судить только косвенно по развитию математики за тот период времени, когда ею занимались практически только пифагорейцы. Считается, что представителями школы Пифагора к середине V века до нашей эры были найдены все математические положения, изложенные в 2‑й и 4‑й книгах «Начал» Евклида. 2‑я книга содержит основы геометрической алгебры, а 4‑я посвящена правильным многоугольникам. К ним же восходит основная масса материала, изложенного в 1‑й и 3‑й книгах. 1‑я книга содержит 23 определения геометрических понятий. Вот несколько примеров этих определений: точка – то, что не имеет частей; линия – длина без ширины; прямая – линия, одинаково расположенная относительно всех своих точек; параллельные прямые – прямые, которые лежат в одной плоскости и не встречаются, сколь угодно продолженные. Дальше содержатся аксиомы и постулаты, рассматриваются свойства основных фигур планиметрии: треугольника, прямоугольника, параллелограмма[16], приводится теорема о сумме углов треугольника и теорема Пифагора. 3‑я книга описывает свойства круга, его касательных и хорд. К этому же времени был в том или ином виде создан тот кусок 9‑й книги «Начал», о котором мы писали выше, и часть 13‑й книги, описывающая построения тетраэдра, куба и додекаэдра. Также есть основания предполагать, что пифагорейцам принадлежит авторство 7‑й книги «Начал», представляющей собой введение в арифметику.

Кроме математики пифагорейцы занимались и астрономическими исследованиями. К сожалению, установить авторство тех или иных астрономических открытий и теорий того времени еще сложнее, чем математических. Поэтому мы ограничимся только перечислением тех достижений астрономии, которые предположительно восходят к Пифагору и его ближайшим последователям. Так, Пифагору приписывается авторство идеи о шарообразности Земли. Возможно, именно он установил, что Фосфор и Геспер, звезды, которые наблюдали утром и вечером, на самом деле являются Венерой, а также осуществил разделение Земли на зоны: арктическую, летнюю, экваториальную, зимнюю и антарктическую. В такой зональности отражено более раннее разделение на пояса небесной сферы. Так, Арктика получила свое название от созвездия Большой Медведицы.[17]Разделение на пояса небесной сферы тоже приписывается Пифагору. Считается, что он ввел и само слово «космос».

Пифагор и его ученики проводили астрономические наблюдения. Им приписывается отделение планет от звезд и обнаружение попятного движения планет[18]. Пифагорейцы, скорее всего, открыли все пять планет, видимые невооруженным глазом: Меркурий, Венеру, Марс, Юпитер и Сатурн. Они же установили и порядок расположения планет: Луна, Солнце, Венера, Меркурий, Марс, Юпитер, Сатурн (Луна и Солнце ставились в один ряд с планетами). Этот порядок был выведен из скорости движения небесных тел и их яркости. При этом ошибка в определении относительного положения Венеры и Меркурия связана именно с выводами, сделанными из яркости этих небесных тел. Пифагорейцы знали о том, что Луна светит отраженным светом. Скорее всего, они также пришли к выводу о круговом движении планет и высказали идею геоцентризма.

Пифагорейцы считали, что движение небесных тел подчиняется законам так называемой гармонии небесных сфер. Вот краткое описание пифагорейской модели мира, вернее, того варианта этой модели, который дошел до нас. Земля имеет форму шара. Она находится в центре космоса. Вокруг Земли с запада на восток вращаются Солнце, Луна, Венера, Меркурий, Марс, Юпитер и Сатурн. Каждое тело вращается по своей сфере. С востока на запад вращается сфера неподвижных звезд. Каждая сфера движется равномерно и при этом издает свой звук. Расстояние между сферами, скорость их движения и звуки, которые они издают, соответствуют музыкальным гармоническим интервалам. Почему человек не слышит звуки, издаваемые вращающимися сферами, объяснялось по‑разному. Например, одним из вариантов объяснения был такой: человек с рождения находится в среде, где звук небесной музыки присутствует, привыкает к нему и уже не замечает, подобно кузнецам, которые со временем перестают замечать грохот молотов.

Авторы этой системы, скорее всего, вполне сознательно не учли факты, не укладывающиеся в нее. Так, уже упомянутое попятное движение планет не может быть объяснено в рамках такой модели. Пифагорейцы просто пренебрегали уже известными им неудобными данными в угоду своим теоретическим выкладкам. Очевидно, что, ища и находя строгие математические закономерности в музыке, пифагорейцы придали им некую универсальность. Они старались перенести эти закономерности и на свою модель мира, не пытаясь искать собственные законы для описания движения небесных тел. Тем не менее, существование этой модели сыграло важную роль в развитии астрономии через две с лишним тысячи лет. Пытаясь найти математические закономерности в скоростях движения планет и расстоянии до них, Иоганн Кеплер открыл законы движения планет. Естественно, что при этом он уже не задумывался о звуках, которые якобы издают небесные тела при движении. Но книгу, в которой Кеплер в 1619 году опубликовал свои законы, он совсем не случайно назвал «Гармонией мира».

Объединив воедино арифметику, геометрию, музыку и астрономию, Пифагор и его последователи заложили свод наук, впоследствии превратившийся в средневековый квадривиум – повышенный цикл семи свободных искусств.

Последняя область научной деятельности пифагорейцев, которой мы уделим внимание, – медицина. Достоверных данных, касающихся теории и практики медицины ранних пифагорейцев, не много. Но абсолютно очевидно, что они занимались врачеванием. Биографы пишут, что сам Пифагор лечил своих учеников. Конечно, можно было бы сомневаться в этих свидетельствах, как в утверждениях об исцеляющей силе святых, но о врачебной практике Пифагора пишут не только Диоген, Порфирий и Ямвлих, но и авторы, непосредственно занимавшиеся медициной. К сожалению, эти свидетельства очень отрывочны. Известно, что Пифагор пытался применять для лечения музыку. Знаменитый врач и ученый II века нашей эры Гален писал, что Пифагор является автором теории критических дней, согласно которой в каждой болезни периодически наступают дни кризиса. Правда, и здесь Пифагор пытался подогнать действительные данные под свои философские умозаключения. Он говорил, что критические дни чаще всего бывают нечетными.

С гораздо большей уверенностью можно сказать, что Пифагор серьезно интересовался вопросом профилактики болезней. Он проповедовал здоровый образ жизни, большое внимание уделял правильному распорядку дня, чередованию видов деятельности, физическим упражнениям, правильному питанию, заложил основы диетологии. Эти методы применялись при подготовке кротонских атлетов, которые во времена расцвета пифагореизма считались фаворитами спортивных состязаний.

На основе пифагорейского учения в конце V – начале IV века до нашей эры возникла кротонская школа медицины. К этой школе относились самые знаменитые врачи того времени, и большинство из них были пифагорейцами. Занятия медициной врачи Кротона совмещали с изучением наук, неразрывно связанных с медициной: анатомией, физиологией, ботаникой.

В заключение хочется добавить еще несколько общих слов. Мы не знаем, насколько велики научные достижения Пифагора. Трудно сказать, какие именно принадлежат ему, какие его ученикам, а к каким они не имеют отношения. Но с уверенностью можно утверждать, что имя Пифагора неразрывно связано со становлением античной науки и сыграло в нем значительную роль.

 







Date: 2015-07-25; view: 1637; Нарушение авторских прав



mydocx.ru - 2015-2026 year. (0.277 sec.) Все материалы представленные на сайте исключительно с целью ознакомления читателями и не преследуют коммерческих целей или нарушение авторских прав - Пожаловаться на публикацию