Главная Случайная страница


Полезное:

Как сделать разговор полезным и приятным Как сделать объемную звезду своими руками Как сделать то, что делать не хочется? Как сделать погремушку Как сделать так чтобы женщины сами знакомились с вами Как сделать идею коммерческой Как сделать хорошую растяжку ног? Как сделать наш разум здоровым? Как сделать, чтобы люди обманывали меньше Вопрос 4. Как сделать так, чтобы вас уважали и ценили? Как сделать лучше себе и другим людям Как сделать свидание интересным?


Категории:

АрхитектураАстрономияБиологияГеографияГеологияИнформатикаИскусствоИсторияКулинарияКультураМаркетингМатематикаМедицинаМенеджментОхрана трудаПравоПроизводствоПсихологияРелигияСоциологияСпортТехникаФизикаФилософияХимияЭкологияЭкономикаЭлектроника






Сечения ионизации и перезарядки





 

 

 

 

средний свободный пробег частицы диаметром d 1 (радиусом r 1)

 

 

 


Получим полное эффективное сечение процесса


σ i = σ i 0 p,

 

 

Рис. 1.5. Зависимость эффективных поперечных сечений столкновений в ртути от энергии электрона: σупр — упругие соударения; σвозб — возбуждения; σион — ионизации

Рис. 1.6. Распределение по энергиям, нормированные к одной и той же средней энергии и одинаковому числу электронов, 1 — Максвелла и 2 — Дрювестейна

 


 

где U — энергия ионизирующих электронов; Ui — потенциал ионизации атома или молекулы; С i — коэффициент пропорциональности, характери­зующий наклон кривых сечения ионизации у пороговых значений (для арго­на Сi Ar=2·10-17 см2 /эВ; неона — Сi Ne =0,85·10-17 см2 /эВ).

В широком диапазоне изменения напряжения используется аппроксима­ция Лотца — Дрэвина:

 

где а0 = 5,29·10 -9 м — радиус первой боровской орбиты атома водорода;

та0 = 0,88·10 -20 м2 — площадь первой боровской орбиты; U H = 13,595 В —

первый потенциал ионизации атома водорода; p 1 = 0,8…1,3 и р 2 = 0,7…3,0 — расчетные коэффициенты; п — число валентных электронов на внешней обо­лочке ионизируемого атома.

Распределение Максвелла:

 

Распределение Дрювестейна:

 

где We = еЕlea; Е — напряженность электрического поля в плазме,

lea —средняя длина свободного пробега электронов.

Усреднение σ i по функции распределения электронов:

 

где W e — средняя энергия электронов.

 

Процесс резонансной перезарядки

 

 

Рис. 1.7. Процесс резонансной перезарядки

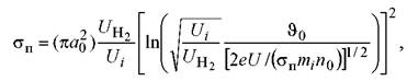
Сечение перезарядки

 

 

 

A — атомная масса элемента, m0 = 1,66·10 -27 кг — масса протона; n0 3·1022 м 3 — концентра­ция нейтралов при р = 133 Па и Т = 300 К.

 

 







Date: 2015-07-24; view: 1373; Нарушение авторских прав



mydocx.ru - 2015-2026 year. (0.894 sec.) Все материалы представленные на сайте исключительно с целью ознакомления читателями и не преследуют коммерческих целей или нарушение авторских прав - Пожаловаться на публикацию