Главная Случайная страница


Полезное:

Как сделать разговор полезным и приятным Как сделать объемную звезду своими руками Как сделать то, что делать не хочется? Как сделать погремушку Как сделать так чтобы женщины сами знакомились с вами Как сделать идею коммерческой Как сделать хорошую растяжку ног? Как сделать наш разум здоровым? Как сделать, чтобы люди обманывали меньше Вопрос 4. Как сделать так, чтобы вас уважали и ценили? Как сделать лучше себе и другим людям Как сделать свидание интересным?


Категории:

АрхитектураАстрономияБиологияГеографияГеологияИнформатикаИскусствоИсторияКулинарияКультураМаркетингМатематикаМедицинаМенеджментОхрана трудаПравоПроизводствоПсихологияРелигияСоциологияСпортТехникаФизикаФилософияХимияЭкологияЭкономикаЭлектроника






Метаболизм аминокислот





Метаболизм аминокислот

Источниками аминокислот в клетке являются:

1. белки пищи после их гидролиза в органах пищеварения;

2. синтез заменимых аминокислот;

3. распад тканевых белков.

Тканевые белки подвергаются гидролитическому расщеплению при участии тканевых ПРОТЕАЗ - КАТЕПСИНОВ, которые в основном находятся в ЛИЗОСОМАХ. Выделяют разные КАТЕПСИНЫ, которые отличаются оптимумом рН и специфичностью действия. Распад тканевых белков необходим для обновления белков, а также для устранения дефектных молекул белка.

Несмотря на то, что почти для каждой аминокислоты выяснены индивидуальные пути обмена, известен ряд превращений, общих для многих аминокислот:

· ТРАНСАМИНИРОВАНИЕ;

· ДЕКАРБОКСИЛИРОВАНИЕ;

· ДЕЗАМИНИРОВАНИЕ.

ТРАНСАМИНИРОВАНИЕ – реакции межмолекулярного переноса аминогруппы от аминокислоты на кетокислоту без промежуточного образования аммиака.

Особенности реакций трансаминирования:

· протекают при участии ферментов - аминотрансфераз;

· для реакций необходим кофермент – пиридоксальфосфат (ПФ);

· реакции обратимы;

· могут подвергаться все аминокислоты кроме лиз, тре;

· в результате реакции образуются новая аминокислота и новая кетокислота.

 

Рис. Пример реакции трансаминирования (действие аспарагиновой аминотрансферазы)

 

Роль реакций ТРАНСАМИНИРОВАНИЯ:

1. Синтез заменимых аминокислот. При этом происходит перераспределение азота в органах и тканях;

2. Являются начальным этапом катаболизма аминокислот.

 

 

Реакции ДЕКАРБОКСИЛИРОВАНИЯ – отщепление альфа – карбоксильной группы аминокислот в виде углекислого газа.

При этом аминокислоты в тканях образуют биогенные амины, которые являются биологически активными веществами (БАВ). Среди них могут быть соединения, которые выполняют функции:

1. НЕЙРОМЕДИАТОРОВ (СЕРОТОНИН, ДОФАМИН, ГАМК),

2. Гормоны (АДРЕНАЛИН, НОРАДРЕНАЛИН),

3. Регуляторы местного действия (ГИСТАМИН).

 

Рис. Декарбоксилирование глутаминовой килоты

 

 

ГАМК является НЕЙРОМЕДИАТОРОМ тормозного действия, поэтому препараты на основе ГАМК используются в клинике для лечения некоторых заболеваний ЦНС. Эта реакция используется в педиатрической практике: детям при сильном возбуждении используют раствор витамина В6, который стимулирует процесс образования ГАМК.

ДОФАМИН является НЕЙРОМЕДИАТОРОМ возбуждающего действия. Он является основой для синтеза АДРЕНАЛИНА и НОРАДРЕНАЛИНА.

 

Рис. Декарбоксилирование гистидина

 

 

Реакции ДЕЗАМИНИРОВАНИЯ - отщепление NН2-группы в виде аммиака.

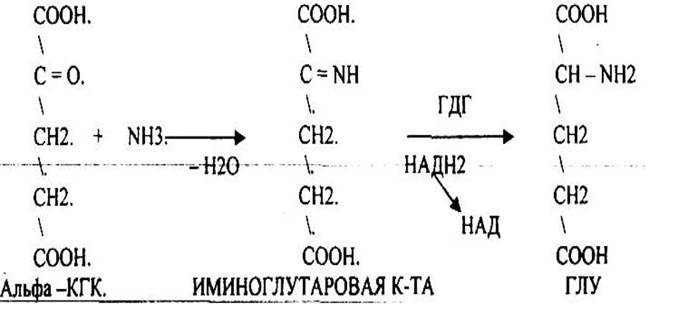
ОКИСЛИТЕЛЬНОЕ ДЕЗАМИНИРОВАНИЕ.

Непосредственно, ОКИСЛИТЕЛЬНОМУ ДЕЗАМИНИРОВАНИЮ подвергается только ГЛУ.

Рис. Окислительное дезаминирование глутаминовой кислоты

 

 

НЕПРЯМОЕ ДЕЗАМИНИРОВАНИЕ

Этому виду дезаминирования подвергаются остальные аминокислоты, но через стадию трансаминирования с альфа-кетоглутаровой кислотой. Затем глутаминовая кислота (продукт этой реакции) подвергается окислительному дезаминированию.

 

Предыдущий раздел Раздел верхнего уровня  






Date: 2015-07-24; view: 855; Нарушение авторских прав



mydocx.ru - 2015-2026 year. (0.626 sec.) Все материалы представленные на сайте исключительно с целью ознакомления читателями и не преследуют коммерческих целей или нарушение авторских прав - Пожаловаться на публикацию