Главная Случайная страница


Полезное:

Как сделать разговор полезным и приятным Как сделать объемную звезду своими руками Как сделать то, что делать не хочется? Как сделать погремушку Как сделать так чтобы женщины сами знакомились с вами Как сделать идею коммерческой Как сделать хорошую растяжку ног? Как сделать наш разум здоровым? Как сделать, чтобы люди обманывали меньше Вопрос 4. Как сделать так, чтобы вас уважали и ценили? Как сделать лучше себе и другим людям Как сделать свидание интересным?


Категории:

АрхитектураАстрономияБиологияГеографияГеологияИнформатикаИскусствоИсторияКулинарияКультураМаркетингМатематикаМедицинаМенеджментОхрана трудаПравоПроизводствоПсихологияРелигияСоциологияСпортТехникаФизикаФилософияХимияЭкологияЭкономикаЭлектроника






Ключові поняття. Альтернативні витрати

РОЗДІЛ 2. МІЖНАРОДНА ТОРГІВЛЯ

ТЕОРІЇ МІЖНАРОДНОЇ ТОРГІВЛІ ТОВАРАМИ ТА ПОСЛУГАМИ

Ключові поняття

Альтернативна ціна.

Альтернативні витрати.

Альтернативні теорії міжнародної торгівлі: теорія міжнарод­ного життєвого циклу товару; теорія попиту, що перетинається; теорія конкурентних переваг.

Виграш від торгівлі.

Відношення цін при торгівлі.

Внутрішньогалузева торгівля.

Детермінанти національної конкурентоспроможності.

Індекс внутрішньогалузевої торгівлі.

Класичні теорії міжнародної торгівлі: меркантилістська, неомеркантилістська, теорія абсолютних переваг, теорія порівняль­них переваг, теорія співвідношення факторів виробництва та її тестування (парадокс Леонтьева та його полегшення), теорія роз­міру країни.

Кластери.

Компенсаційний критерій.

Критерій ефективності Парето.

"Лесе-фер".

Національний ромб.

Статистика Леонтьева.

Торгівля декількома товарами.

Умови торгівлі (коефіцієнт міжнародного обміну).

Фактороінтенсивність товару: капіталомісткість, трудоміст­кість.

Факторонасиченість країни.

 

Альтернативна ціна (opportunity cost) — це робочий час, не­обхідний для виробництва одного товару, виражений через робо­чий час, необхідний для виробництва іншого товару.

Альтернативні витрати (opportunity cost), або витрати замі­щення — це кількість інших продуктів, від якої слід відмови­тись або якою слід пожертвувати, щоб отримати певну кількість будь-якого певного продукту.

Альтернативні теорії міжнародної торгівлі:

теорія міжнародного життєвого циклу товару — деякі види продукції проходять цикл, що складається із чотирьох етапів — впровадження, зростання, зрілість та занепад; виробництво цієї продукції переміщується з країни в країну залежно від етапу циклу;

теорія попиту, що перетинається (overlapping demand theory) — розробивши нову продукцію у відповідь на знайдену ринкову потребу на внутрішньому ринку, виробник потім звертається до ринків, які сприймаються ним як найбільш подібні до ринків його країни;

теорія конкурентних переваг — країна досягає міжнародного успіху в тій чи іншій галузі завдяки взаємодії конкурентних переваг у чотирьох національних детермінантах (властивостях країни): факторних умовах; умовах попиту; споріднених та об­слуговуючих галузях; стратегії фірми, її структурі та конкуренції, — з'єднаних у динамічну систему, так званий ромб.

Виграш від торгівлі (gains from trade) — це економічний ефект, який отримує кожна з країн, яка бере участь у торгівлі, якщо кожна з них спеціалізується на торгівлі тим товаром, у вироб­ництві якого вона має відносну перевагу.

Відношення цін при торгівлі — ціна імпортного товару, що визначається через ціну товару, який необхідно експортувати, щоб сплатити імпорт, тому кінцеве співвідношення цін при торгівлі визначається внутрішнім попитом на товари в кожній з торгуючих країн.

Внутрішньогалузева торгівля (intra-industry trade) — експорт та імпорт товарів, що належать до однієї й тієї самої товарної групи.

Детермінанти національної конкурентоспроможності — це:

1. Факторні умови, тобто ті конкретні фактори (наприклад, кваліфікована робоча сила певного профілю або інфраструкту­ра), які необхідні для успішної конкуренції в даній галузі.

2. Умови попиту, тобто який на внутрішньому ринку попит на продукцію чи послуги, що пропонуються певною галуззю.

3. Споріднені (related) та підтримуючі галузі, тобто наявність чи відсутність у країні споріднених або підтримуючих галузей, конкурентоспроможних на міжнародному ринку.

3. Стратегія фірми, її структура та конкуренти, тобто які умо­ви у країні, що визначають те, як утворюються та управляються фірми, й характер конкуренції на внутрішньому ринку.

Індекс внутрішньогалузевої торгівлі (index of intra-industry trade) — це різниця між одиницею і відношенням сум торгово­го сальдо до сум торгового обороту — при збалансованій зовніш­ній торгівлі (нульове зовнішньоторговельне сальдо), і різниця між одиницею і відношенням сум часток (у відсотках) торгового саль­до до сум торгового обороту кожного товару або товарної групи — при незбалансованій зовнішній торгівлі.

Збалансована зовнішня торгівля:

де xі, mі — відповідно абсолютні величини експорту та імпорту і-го товару (або товарної категорії); It — індекс внутрішньогалузевої торгівлі.

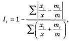
Незбалансована зовнішня торгівля:

де xі, mі — відповідно абсолютні величини експорту та імпорту і-го товару (або товарної категорії); It — індекс внутрішньогалузевої торгівлі; х, т — весь експорт та імпорт відповідно.


Класичні теорії міжнародної торгівлі:

меркантилістська теорія — багатство країни вимірюється кількістю золота та срібла, якою вони володіють;

неомеркантилістська теорія — країни намагаються мати ак­тивне сальдо торгового балансу для досягнення певної соціаль­ної або політичної мети;

теорія абсолютних переваг (absolute advantage theory) — краї­ни експортують ті товари, які вони виробляють з меншими ви­тратами (у виробництві яких вони мають абсолютну перевагу), та імпортують ті товари, які продукуються іншими країнами з меншими витратами (у виробництві яких абсолютна перевага належить їх торговим партнерам);

теорія порівняльних переваг (comparative advantage theory) — якщо країни спеціалізуються на виробництві тих товарів, які вони можуть виробляти з відносно нижчими витратами порівняно з іншими країнами (або, інакше кажучи, з меншими альтерна­тивними витратами), то торгівля буде взаємовигідною для обох країн, незалежно від того, чи є виробництво в одній з них абсо­лютно більш ефективним, ніж в іншій;

теорія співвідношення факторів виробництва та її тестуван­ня (парадокс Леонтьева та його полегшення) — країни експор­тують продукти інтенсивного використання надлишкових фак­торів та імпортують продукти інтенсивного використання дефі­цитних для них факторів;

парадокс Леонтьева — теорія співвідношення факторів ви­робництва Хекшера — Оліна не підтверджується на практиці: трудонасичені країни експортують капіталомістку продукцію, тоді як капіталонасичені — трудомістку;

теорія розміру країни — у зв'язку з тим, що країни з більшою територією зазвичай мають більш різноманітні кліматичні умо­ви та природні ресурси, вони в цілому ближчі до економічної самодостатності, ніж малі за розміром країни.

Кластери — це об'єднання національних конкурентоспромож­них взаємозалежних галузей.

"Лесе-фер" (фр. laissez-faire) — політика державного невтру­чання в економіку і свободу конкуренції.

Компенсаційний критерій (compensation criterion) — реалі­зація економічної політики, яка веде до поліпшення становища одних економічних гравців за рахунок інших.

Критерій ефективності Парето (criterion effekt Pareto) — кожна зміна, внаслідок якої поліпшується добробут хоча б одно­го індивіда, причому становище будь-якого члена суспільства при цьому не погіршується, веде до збільшення добробуту в цілому.

Національний ромб — детермінанти національної конкурен­тоспроможності становлять собою комплексну систему, яка по­стійно розвивається (рис. 2.1.1).

Статистика Леонтьева (Leontief Statistic) — співвідношення (K/L) (дол. США/людино-рік). Згідно з цим співвідношенням країна може вважатись капіталонасиченою, якщо: (Kx/Lx) / (Km/Lm) > 1 і трудонасиченою, якщо (Kx/Lx)/ (Km/Lm) < 1. К, Кт, Кх — кількість капіталу, необхідного для виробництва одиниці продукції, оди­ниці американського імпорту та одиниці американського експорту відповідно; L, Lm, Lx — кількість праці, необхідної для вироб­ництва одиниці продукції, одиниці американського імпорту та одиниці американського експорту відповідно.

Торгівля декількома товарами — товари будуть виготовля­тись там, де відносна заробітна плата є меншою, тобто там, де їх дешевше виготовляти.


Умови торгівлі (коефіцієнт міжнародного обміну) (terms of trade) — співвідношення експортних й імпортних цін певного товару, країни в цілому, групи країн.

Фактороінтенсивність товару (factor intensity) — показник, що визначає відносні витрати факторів виробництва на створен­ня певного товару:

капіталомісткість — показник, який визначає відносні витра­ти капіталу на створення певного товару;

трудомісткість — показник, який визначає відносні витрати праці на створення певного товару.

Факторонасиченість країни (factor abundance) — показник, який визначає відносну забезпеченість країни факторами вироб­ництва.



<== предыдущая | следующая ==>
Ключові поняття. Валовий внутрішній продукт | Ключові поняття





Date: 2015-07-24; view: 584; Нарушение авторских прав



mydocx.ru - 2015-2026 year. (0.119 sec.) Все материалы представленные на сайте исключительно с целью ознакомления читателями и не преследуют коммерческих целей или нарушение авторских прав - Пожаловаться на публикацию