Главная Случайная страница


Полезное:

Как сделать разговор полезным и приятным Как сделать объемную звезду своими руками Как сделать то, что делать не хочется? Как сделать погремушку Как сделать так чтобы женщины сами знакомились с вами Как сделать идею коммерческой Как сделать хорошую растяжку ног? Как сделать наш разум здоровым? Как сделать, чтобы люди обманывали меньше Вопрос 4. Как сделать так, чтобы вас уважали и ценили? Как сделать лучше себе и другим людям Как сделать свидание интересным?


Категории:

АрхитектураАстрономияБиологияГеографияГеологияИнформатикаИскусствоИсторияКулинарияКультураМаркетингМатематикаМедицинаМенеджментОхрана трудаПравоПроизводствоПсихологияРелигияСоциологияСпортТехникаФизикаФилософияХимияЭкологияЭкономикаЭлектроника






Задание 2. Формулы

Практическая работа №14, 15

Microsoft Office Word 2007. Дополнительные функции

Цель работы: Научиться работать с многоуровневыми списками, формулами, колонтитулами, фигурами и объектами SmartArt.

Задание 1. Многоуровневые списки

Создать многоуровневый список товаров, продаваемых какой-либо фирмой. Требования к списку: не менее четырех разделов, в каждом разделе не менее пяти наименований, как минимум три наименования делятся на подвиды.

Пример товаров: 1. Фрукты: 1.1. Бананы, 1.1.1. Зеленые, 1.1.2. Желтые; 1.2. Апельсины; 1.3. Виноград

Реализация списка:

1. Фрукты

1.1. Бананы

1.1.1. зеленые

1.1.2. желтые

1.2. Апельсины

1.3. Виноград

1.4. …

2. …

2.1. …

3. …

Чтобы создать многоуровневый список: на Ленте – Главная/Абзац, кнопка Многоуровневый список

Чтобы повысить уровень списка (например, с 1.1.1. на 1.1.), нужно перейти на него и нажать Enter).

Чтобы понизить уровень списка (например, с 3 до 2.1 – Правая кнопка на номер, Нумерация/Изменить уровень списка, выбрать нужный вариант.

Покажите результат преподавателю и получите оценку.

Задание 2. Формулы

Способ 1: Microsoft Equation 3.0. Чтобы запустить его, на Ленте вкладка Вставка/Текст/Экспресс-блоки/Поле, в списке выбрать Eq и справа нажать Редактор Формул.

Способ 2: на Ленте вкладка Вставка/Символы/Формула. Пример:

Изменить размеры формул и стили оформления – при редактировании формулы – пункт верхнего меню Размер.

Чтобы выйти из редактора формул – выполнить двойной щелчок в стороне.

 

Набрать в Редакторе формул следующие формулы (можно использовать любой из вариантов работы с формулами, но пояснения даны для работы в Microsoft Equation):

Вставка/Текст/Экспресс-блоки/Поле, в списке выбрать Eq и справа нажать Редактор Формул

 

Добавление степени: Формулы, третья кнопка в нижнем ряду, левая кнопка в верхнем ряду

 

Вставка дроби: Формулы, вторая кнопка слева в нижнем ряду, первая кнопка. Вставка прописных греческих букв (например, Ω, Δ, Σ): первая кнопка справа в верхнем ряду

 

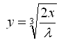
Вставка корня со степенью, отличной от 2: вторая слева кнопка в нижнем ряду, четвертая кнопка в правом ряду. Вставка строчных греческих букв (например, λ, π, μ): вторая кнопка справа в верхнем ряду.

 

Вставка системы уравнений: нижняя левая кнопка, потом шестая сверху в левом столбце. Чтобы вставить еще одну строку, нужно установить курсор в строку и нажать Enter. Знаки ≤, ≥ – первая кнопка слева в верхнем ряду.

 

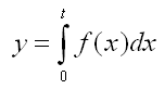
Вставка интеграла с верхним и нижним пределами: пятая кнопка слева в нижнем ряду, средняя кнопка в первой строке.

 

Покажите результат преподавателю и получите оценку.



<== предыдущая | следующая ==>
 | Ручне рубило





Date: 2015-07-22; view: 614; Нарушение авторских прав



mydocx.ru - 2015-2026 year. (1.231 sec.) Все материалы представленные на сайте исключительно с целью ознакомления читателями и не преследуют коммерческих целей или нарушение авторских прав - Пожаловаться на публикацию