Главная Случайная страница


Полезное:

Как сделать разговор полезным и приятным Как сделать объемную звезду своими руками Как сделать то, что делать не хочется? Как сделать погремушку Как сделать так чтобы женщины сами знакомились с вами Как сделать идею коммерческой Как сделать хорошую растяжку ног? Как сделать наш разум здоровым? Как сделать, чтобы люди обманывали меньше Вопрос 4. Как сделать так, чтобы вас уважали и ценили? Как сделать лучше себе и другим людям Как сделать свидание интересным?


Категории:

АрхитектураАстрономияБиологияГеографияГеологияИнформатикаИскусствоИсторияКулинарияКультураМаркетингМатематикаМедицинаМенеджментОхрана трудаПравоПроизводствоПсихологияРелигияСоциологияСпортТехникаФизикаФилософияХимияЭкологияЭкономикаЭлектроника






Оценка поражающего действия





 

1) Вероятность повреждений стен промышленных зданий, при которых возможно восстановление зданий без их сноса, оценивается по соотношению:

,

гдеPr1 – пробит-функция;

Фактор V1 рассчитывается с учетом перепада давления в волне и импульса статического давления по соотношению:

По табл. 3 Методики «Связь вероятности поражения с пробит-функцией» вероятность повреждения стен промышленных зданий, при которых возможно восстановление зданий без их сноса для Рr1 = 4,41: Р1=28%;

2) Вероятность разрушений промышленных зданий, при которых здания подлежат сносу, оценивается по соотношению:

;

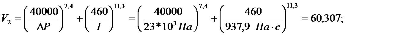
В этом случае фактор V2 рассчитывается по формуле:

По табл. 3 Методики «Связь вероятности поражения с пробит-функцией» вероятность разрушений промышленных зданий, при которых здания подлежат сносу для Рr2 = 4,098: Р2 = 18%.

3) Вероятность длительной потери управляемости у людей (состояние нокдауна), попавших в зону действия ударной волны при взрыве облака ТВС, может быть оценена по величине пробит-функции:

;

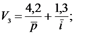
В этом случае фактор опасности V3рассчитывается по формуле:

Безразмерное давление и безразмерный импульс задаются выражениями:

где m – масса тела живого организма, (при отсутствии данных принимают 70 кг);

По табл. 3 Методики «Связь вероятности поражения с пробит-функцией» вероятность длительной потери управляемости у людей при отрицательном значении пробит-функции Рr3 = -4,47; Р3 = 0%.

4) Вероятность разрыва барабанных перепонок у людей от уровня перепада давления в воздушной волне определяется выражением:

По табл. 3 Методики «Связь вероятности поражения с пробит-функцией» вероятность разрыва барабанных перепонок у людей для Рr4 =2,66; Р4=0,1%.

5) Вероятность отброса людей волной давления оценивается по величине пробит-функции:

Здесь фактор V5рассчитывается из соотношения:

.

.

По табл. 3 Методики «Связь вероятности поражения с пробит-функцией» вероятность отброса людей волной давления при значении пробит-функции Рr5 =-5,086; Р5 = 0%.

Таблица 1.3.

 







Date: 2015-07-24; view: 919; Нарушение авторских прав



mydocx.ru - 2015-2026 year. (1.967 sec.) Все материалы представленные на сайте исключительно с целью ознакомления читателями и не преследуют коммерческих целей или нарушение авторских прав - Пожаловаться на публикацию