Главная Случайная страница


Полезное:

Как сделать разговор полезным и приятным Как сделать объемную звезду своими руками Как сделать то, что делать не хочется? Как сделать погремушку Как сделать так чтобы женщины сами знакомились с вами Как сделать идею коммерческой Как сделать хорошую растяжку ног? Как сделать наш разум здоровым? Как сделать, чтобы люди обманывали меньше Вопрос 4. Как сделать так, чтобы вас уважали и ценили? Как сделать лучше себе и другим людям Как сделать свидание интересным?


Категории:

АрхитектураАстрономияБиологияГеографияГеологияИнформатикаИскусствоИсторияКулинарияКультураМаркетингМатематикаМедицинаМенеджментОхрана трудаПравоПроизводствоПсихологияРелигияСоциологияСпортТехникаФизикаФилософияХимияЭкологияЭкономикаЭлектроника






Построение ленточного и сетевого графика выполнения НИР





Для ускорения процесса НИР осуществляют планирование. Одной из основных целей планирования НИР является определение общей продолжительности проведения работ. В этом случае наиболее удобным, простым, наглядным является ленточный график проведения НИР. Он представляет собой таблицу, где перечислены наименования видов работ, исполнители, трудоёмкость, численность исполнителей и длительность выполнения каждого вида работ. Продолжением таблицы является график, отражающий продолжительность каждого вида работ в виде отрезков времени, которые располагаются в соответствии с последовательностью выполнения работ. Пример построения ленточного графика НИР приведён в таблице 3.

Таблица 3

Ленточный график проведения НИР

 

Виды работ исполнитель Ті Чі Ді Продолжительность работы (пятидневка)
          …..  
1. Составление и утверждение ТЗ на НИР 2. Изучение ТЗ на НИР ………………. 25. Анализ результатов проведения НИР                              
   
 
Общая трудоемкость и длительность проведения НИР                      

где Ді – длительность работы, дн

Продолжительность каждой работы определяется по формуле, дн:

Ді = Ті / Чі, (2)

где Ті – трудоёмкость работ, чел. – дн;

Чі – численность исполнителей, чел.

Календарный график удобнее строить по пятидневкам (рабочая неде-ля составляет пять дней). При больших продолжительностях проведения НИР шкала ленточного графика строится по месяцам.

При построении ленточного графика необходимо охватить весь перечень видов работ по теме. Для выполнения отдельных видов работ

(например, разработка и изготовление лабораторного макета, опытной ус-тановки подготовка экспериментальных образцов и т.д.) могут привлекать-ся сотрудники других подразделений. На ленточном графике это должно найти отражение в виде параллельных линий, характеризующих одновре-менное проведение нескольких видов работ разными сотрудниками. При этом не должна нарушаться технологическая последовательность их выполнения.

Таким образом, особое внимание необходимо уделить возможности совмещения отдельных видов работ во времени, что уменьшает общую продолжительность проведения НИР, хотя одновременно в определенной степени усложняет планирование и управление ходом их выполнения.

Планирование на основе ленточных графиков даёт удовлетворитель-ные результаты при проведении сравнительно простых НИР. С ростом

сложности НИР количество планируемых видов работ резко возрастает, и значительно усложняются взаимосвязи между ними. В этом случае ленточ- ные графики становятся трудно обозримыми, и теряется их основное достоинство – наглядность. Поэтому при планировании сложных НИР (свыше 25 работ) рекомендуется перейти к составлению сетевого графика и использовании аппарата систем сетевого планирования и управления.

Разработка сетевого графика начинается с составления перечня работ (указаны в за­дании на выполнение проекта). При построении сетевого графи­ка следует руководствоваться следующим правилом взаимосвязи работ: каждая последующая работа может начаться после за­вершения всех работ, результаты которых необходимы для на­чала данной работы.

В сетевой модели события обозначаются кружками, рабо­ты - стрелками. Событие - это промежуточный или конечный результат одной или нескольких работ. Под работой в сетевом графике понимается любой трудовой процесс, требующий затрат определенного количества времени. Продолжительность работы в днях проставляется над стрелкой.

Начало и окончание любой работы описывается парой событий, которые называются начальным и конечным событиями. Поэтому для идентификации конкретной работы используют код работы (i,j), состоящий из номеров начального (i-го) и конечного(j-го) событий (см.рис.1).

работа (i j)
i
j

 


Начальное событие Конечное событие

Рис. 1 Кодирование работы

При построении сетевого графика необходимо следовать следующим правилам:

- длина стрелки не зависит от времени выполнения работы;

- для действительных работ используются сплошные стрелки, а для фиктивных пунктирные стрелки;

- между одними и теми же событиями не должно быть параллельных работ, т.е. работ с одинаковыми кодами;


- следует избегать пересечения стрелок;

- не должно быть стрелок, направленных справа налево;

- номер начального события должен быть меньше номера конечного события;

- не должно быть висячих событий (т.е. не имеющих предшествующих событий), кроме исходного;

- не должно быть тупиковых событий (т.е. не имеющих последующих событий), кроме завершающего.

Важное значение для анализа сетевых моделей имеет понятие пути. Путь – это любая последовательность работ в сетевом графике, в которой конечное событие одной работы совпадает с начальным событием следующей за ней работы. Различают следующие виды путей.

Полный путь – это путь от исходного до завершающего события.

Критический путь – это максимальный по продолжительности полый путь.

Построение сети является начальным этапом в построении календарного плана. Следующим этапом является расчет сетевой модели

(параметров сети), который выполняют прямо на сетевом графике, используя графический метод.

Параметры сетевого графика можно определить графическим методом. При этом рассчитываются следующие параметры:

- продолжительность критического пути [ t(Lкр)];

- ранние сроки свершения события (tp);

- поздние сроки свершения события (tn);

- резервы времени события (R);

- полный резерв времени работы (Rn);

- частный (свободный) резерв времени работы (Rc).

Для расчета параметров графическим методом события сетевого графика разбиваются на четыре сектора(рис.2), в которых указываются их параметры.

j   tpj tnj   Rj
i   tpi tni   Ri

tij (Rnij; Rcij)

Рис.2 Элементы сетевого графика

Примечание к рисунку:

Элементы сетевого графика при расчете его параметров

графическим методом

i - начальное событие;

j - конечное событие;

tpi(j)- ранний срок свершения события;

tni(j)- поздний срок свершения события;

Ri(j) - резерв времени события;

t ij - продолжительность работы;

Rnij - полный резерв времени работы;

Rcij - свободный резерв времени работы.

Расчеты параметров производятся непосредственно на графике.

Критический путь - это наиболее протяженная по времени цепочка работ, ведущих от исходного события (I) к завер­шающему (С), т.е.

(3)

Критический путь на сетевом графике выделяется двой­ной линией.

Порядок определения ранних сроков свершения события следующий: ранний срок свершения исходного события прини­мается равным нулю. Расчет раннего срока свершения любого последующего события tpj, т.е. значение левого сектора любо­го события ведут от исходного события (i) до данного (j) по максимальному пути, или ранний срок свершения любого по­следующего события tpj определяется суммой раннего срока предшествующего события и продолжительности работы по максимальному пути:

или tpj=(tpi+tij)max (4)

Ранний срок свершения завершающего события определя­ет срок окончания всех работ разработки.

Определение поздних сроков свершения событий (t n ), начинается с завершающего события (с), к исходному (I), т.е. с конца графика и ведется в обратном порядке, т.е. справа налево по максимальному из путей, проходящих через данное событие. Поздний срок свершения события tn определяется разностью между продолжительностью критического пути и максимального из последующих за данным событием путей, т.е.


, или (5)

Резерв времени события R определяется как разность между поздним t и ранним t сроками свершения события:

(6)

Резерв времени работы определяется как полный и свободный (частный). Полный резерв времени показывает предельное время, на которое можно увеличить продолжительность данной работы, не изменяя при этом продолжительности критического пути.

Полный резерв времени работы определяется путем вычи­тания из значения правого сектора конечного события работы суммы значения левого сектора начального события данной ра­боты, т.е.

(7)

Использование полного резерва любой работы приведет к тому, что данная работа переместится на критический путь.

Свободный (частный) резерв времени работы - это максимальное количество вре­мени, на которое можно перенести начало работы или увели­чить ее продолжительность без изменения раннего начала по­следующей работы.

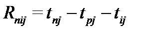
Свободный (частный) резерв для любой работы определя­ется вычитанием из значения левого сектора начального собы­тия этой работы суммы значений левого сектора начального со­бытия и продолжительности работы, т.е.

(8)

Использование свободного резерва работы приведет к изме­нению ранних сроков начала последующих работ.

При расчёте значений резервов следует помнить, что ра­боты, лежащие на критическом пути, резервов не имеют, т.е. их значения равны нулю.

Полученные результаты по расчету сетевого графика сле­дует свести в таблицу 1.

Таблица 1

Параметры сетевого графика

i j tij Tpj R R R R

 

Затем вычерчивают окончательный вариант сетевого графика. Фрагмент сетевого графика приведен на рис.3. Критический путь на нем выделяют двойной линией, а фиктивные работы, прожолжительности которых равны нулю, - пунктирной. Событие и расчетные параметры сетевого графика вычерчиваются так, как указано на рис.2.

 

 

 

 


Рис. 3 Фрагмент сетевого графика

Резервы времени работ показывают время, на которое может быть увеличена продолжительность соответствующих работ без изменения срока выполнения всего комплекса работ.

Определение плановой себестоимости проведения НИР

Целью планирования себестоимости проведения НИР является экономически обоснованное определение величины затрат на её выполнение. Определение затрат на НИР производится путём составления калькуляции плановой себестоимости. Она является основным документом, на основании которого осуществляется планирование и учёт затрат на выполнение НИР.

Калькуляция плановой себестоимости проведения НИР составляется по следующим статьям затрат:







Date: 2015-07-24; view: 2117; Нарушение авторских прав



mydocx.ru - 2015-2026 year. (1.331 sec.) Все материалы представленные на сайте исключительно с целью ознакомления читателями и не преследуют коммерческих целей или нарушение авторских прав - Пожаловаться на публикацию