Главная Случайная страница


Полезное:

Как сделать разговор полезным и приятным Как сделать объемную звезду своими руками Как сделать то, что делать не хочется? Как сделать погремушку Как сделать так чтобы женщины сами знакомились с вами Как сделать идею коммерческой Как сделать хорошую растяжку ног? Как сделать наш разум здоровым? Как сделать, чтобы люди обманывали меньше Вопрос 4. Как сделать так, чтобы вас уважали и ценили? Как сделать лучше себе и другим людям Как сделать свидание интересным?


Категории:

АрхитектураАстрономияБиологияГеографияГеологияИнформатикаИскусствоИсторияКулинарияКультураМаркетингМатематикаМедицинаМенеджментОхрана трудаПравоПроизводствоПсихологияРелигияСоциологияСпортТехникаФизикаФилософияХимияЭкологияЭкономикаЭлектроника






Цель работы. Изучить методику проведения испытаний на растяжение для определения механических свойств различных материалов





Лабораторная работа №2

ИСПЫТАНИЕ МАТЕРИАЛОВ НА РАСТЯЖЕНИЕ

Цель работы

Изучить методику проведения испытаний на растяжение для определения механических свойств различных материалов.

Основные теоретические положения:

Бро́нзы — ряд двойных или многокомпонентных сплавов на основе меди, где основным легирующим компонентом является олово, бериллий, марганец, алюминий или другой элемент (соответственно бронза называются оловянными, бериллиевыми, марганцевыми, алюминиевыми и т. п.), иногда с добавлением дополнительных компонентов — цинка, свинца, фосфора и пр. Однако бронзой не может быть назван сплавы меди с цинком (это латунь) и никелем (медноникелевые сплавы).

 

Сила не перпендикулярна площадке, на которую она действует. Тогда ее, как и любой вектор, можно разложить на две составляющие: нормальную (перпендикулярную к площадке), создающую нормальное напряжение:

и касательную, действующую в плоскости площадки и вызывающую касательное напряжение:

 

Предел пропорциональности σпц – напряжение, до которого материал деформируется строго упруго, то есть соблюдается закон Гука σ=Еε, где Е - модуль упругости (модуль Юнга. Это структурно нечувствительная величина).

σпц =FА /A0,

где FА – нагрузка, при пределе пропорциональности.

Силуми́н — сплав алюминия с кремнием. Химический состав — 4-22 % Si, основа — Al, незначительное количество примесей Fe, Cu, Mn, Ca, Ti, Zn, и некоторых других. Некоторые силумины модифицируются добавками натрия или лития.

Упругая деформация характеризуется прямо пропорциональной зависимостью от нагрузки и упругим изменениям межатомных расстояний.

Физический предел текучести σт – это наименьшее напряжение, при котором образец деформируется без увеличения растягивающей нагрузки:

σт = FТ/A0.

Условный предел текучести σ0,2 – это напряжение, при котором остаточное удлинение (необратимая пластическая деформация) составляет 0,2% длины участка образца на его рабочей части, удлинение которого принимается в расчет при определении указанной характеристики.

 

Предел прочности (временное сопротивление) σв – это условное напряжение, соответствующее наибольшей нагрузке, предшествовавшей разрыву образца:

σв =FВ/A0,

где FВ – нагрузка, соответствующая точке В.

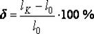
Относительное удлинение после разрыва δ – это отношение приращения расчетной длины образца (lк – l0) после разрушения (рис. 6.) к начальной расчетной длине l0, выраженное в процентах:

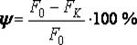
Относительное сужение ψ – это отношение абсолютного уменьшения площади поперечного сечения в шейке образца (F0 – Fк) к начальной площади сечения F0, выраженное в процентах:

 

где F0 и Fк – площади поперечного сечения образца до и после испытания соответственно.

Шейка – местное уменьшение сечения

 

Контрольные вопросы:

1. Предел текучести — механическое напряжение σт, отвечающее нижнему положению верхнего отклонения по площади неизвестной эпюры площадки текучести на диаграмме деформирования материала.

Преде́лпро́чности — механическое напряжение, выше которого происходит разрушение материала. Согласно ГОСТу 1497-84 более корректным термином является «Временное сопротивление разрушению», то есть напряжение, соответствующее наибольшему усилию, предшествующему разрыву образца при (статических) механических испытаниях.

2.

предел пропорциональности Рпц ,

нагрузкой при пределе текучестиРт,

нагрузка на пределе прочностиРмах.

 

3.

Рис. 15. Схема испытательной машины УММ-5

4.

Рис. 11. Образцы для испытаний: а – круглый образец; б – плоский образец. L – общая длина; l – рабочая длина; l0 – начальная расчетная длина; d0– диаметр образца до испытания; а – толщина; b – ширина; R – радиус скругления.

 







Date: 2015-07-22; view: 452; Нарушение авторских прав



mydocx.ru - 2015-2026 year. (0.418 sec.) Все материалы представленные на сайте исключительно с целью ознакомления читателями и не преследуют коммерческих целей или нарушение авторских прав - Пожаловаться на публикацию