Главная Случайная страница


Полезное:

Как сделать разговор полезным и приятным Как сделать объемную звезду своими руками Как сделать то, что делать не хочется? Как сделать погремушку Как сделать так чтобы женщины сами знакомились с вами Как сделать идею коммерческой Как сделать хорошую растяжку ног? Как сделать наш разум здоровым? Как сделать, чтобы люди обманывали меньше Вопрос 4. Как сделать так, чтобы вас уважали и ценили? Как сделать лучше себе и другим людям Как сделать свидание интересным?


Категории:

АрхитектураАстрономияБиологияГеографияГеологияИнформатикаИскусствоИсторияКулинарияКультураМаркетингМатематикаМедицинаМенеджментОхрана трудаПравоПроизводствоПсихологияРелигияСоциологияСпортТехникаФизикаФилософияХимияЭкологияЭкономикаЭлектроника






Дисперсия





Дисперсия - представляет собой средний квадрат отклонений индивидуальных значений признака от их средней величины.

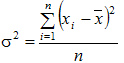
Дисперсия простая:

В нашем примере:

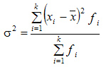
Дисперсия взвешенная:

Более удобно вычислять дисперсию по формуле:

которая получается из основной путем несложных преобразований. В этом случае средний квадрат отклонений равен средней из квадратов значений признака минус квадрат средней.

Для несгрупиированных данных:

Для сгруппированных данных:

Вариация альтернативного признака заключается в наличии или отсутствии изучаемого свойства у единиц совокупности. Количественно вариация альтернативного признака выражается двумя значениями: наличие у единицы изучаемого свойства обозначается единицей (1), а его отсутствие — нулем (0). Долю единиц, обладающих изучаемым признаком, обозначают буквой , а долю единиц, не обладающих этим признаком — через . Учитывая, что p + q = 1 (отсюда q = 1 — p), а среднее значение альтернативного признака равно

,

средний квадрат отклонений

Таким образом, дисперсия альтернативного признака равна произведению доли единиц, обладающих данным свойством (), на долю единиц, данным свойством не обладающих ().

Максимальное значение средний квадрат отклонения (дисперсия) принимает в случае равенства долей, т.е. когда т.е. . Нижняя граница этого показателя равна нулю, что соответствует ситуации, при которой в совокупности отсутствует вариация. Среднее квадратическое отклонение альтернативного признака:

Так, если в изготовленной партии 3% изделий оказались нестандартными, то дисперсия доли нестандартных изделий , а среднее квадратическое отклонение или 17,1%.

Среднее квадратическое отклонение равно квадратному корню из среднего квадрата отклонений отдельных значений признака от средней арифметической. .

 







Date: 2015-07-22; view: 451; Нарушение авторских прав



mydocx.ru - 2015-2026 year. (0.785 sec.) Все материалы представленные на сайте исключительно с целью ознакомления читателями и не преследуют коммерческих целей или нарушение авторских прав - Пожаловаться на публикацию