Главная Случайная страница


Полезное:

Как сделать разговор полезным и приятным Как сделать объемную звезду своими руками Как сделать то, что делать не хочется? Как сделать погремушку Как сделать так чтобы женщины сами знакомились с вами Как сделать идею коммерческой Как сделать хорошую растяжку ног? Как сделать наш разум здоровым? Как сделать, чтобы люди обманывали меньше Вопрос 4. Как сделать так, чтобы вас уважали и ценили? Как сделать лучше себе и другим людям Как сделать свидание интересным?


Категории:

АрхитектураАстрономияБиологияГеографияГеологияИнформатикаИскусствоИсторияКулинарияКультураМаркетингМатематикаМедицинаМенеджментОхрана трудаПравоПроизводствоПсихологияРелигияСоциологияСпортТехникаФизикаФилософияХимияЭкологияЭкономикаЭлектроника






Назначение систем поддержания пластового давления





По мере извлечения углеводородов из залежи ее естественная энергия уменьшается, как и дебиты добывающих скважин. Количество добываемой нефти зависит от физических свойств пород и флюидов, от энергетического состояния залежи, от количества скважин и их расположения и т.д. Если использовать только естественные энергетические источники: -то невысокие коэффициенты нефтеотдачи; - и в значительной степени растянуть сроки раз-ки м-я. => применяются методы искусственного воздействия на залежи углеводородов (методы управления процессом выработки запасов). Заводнение нефтяных месторождений применяют с целью вытеснения нефти водой из пластов и поддержания при этом пластового давления на заданном уровне. На новых месторождениях обеспечивается заданная динамика отбора нефти и газа, на старых – замедление темпов ее падения.

Законтурное – нагн. скв. располагают за внешним контуром нефтеносности. При небольшом давлении на контуре питания или при большой удаленности контура применив законтурное заводнение можно приблизить контур к залежи и поддерживать в нем достаточное давление, тем самым повысить темп отбора.

Внутриконтурное – разрезание залежи рядами нагн. скважин на отдельные площади, тем самым более полно ввести залежь в разработку, увеличить текущий дебит и сократить срок разработки залежи. Благоприятными условиями для внутриконтурного заводнения является наличие подошвенной воды и монолитность пласта.

Блоковое - на крупных м-ях, создают несколько рядов нагн. скважин, разрезая залежь на блоки, в которых по несколько рядов доб. скв. (до 4-5 рядов). Ширина блоков при плохой проницаемости меньше. Блоковое з. часто применяют совместно с законтурным. В западной Сибири с начала раз-ки применяют в основном блоковое заводнение.

Площадное - на поздних стадиях разработки для вовлечения ранее не затронутых и слаборазрабатываемых участков залежи. а) Линейное – скважины в шахматном порядке; б) Четырехточечное; в) Пятиточечное; г) Семиточечное; д) Девятиточечная

Избирательное. м-е буриться по треугольной или квадратной сеткой, на основе комплексного анализа, ГИС, результатов испытаний выбирают скважины лучше принимающие воду и используют их под ППД.

Очаговое. Когда пробурено много скважин, детально изучено геологическое строение м-я и выявлена прерывистость продуктивных пластов или их выклинивание, наличие линз. нагн. скважины располагают так, чтобы обеспечить выработку незатронутых разработкой участков.

Барьерное. На м-ях с газовой шапкой нагн. скв. располагают по внутреннему контуру газоносности, тем самым отсекая газовую часть от нефтяной, что позволяет одновременно разрабатывать обе части пласта

Вытеснение нефти газом высокого давления -Закачка сухого углеводородного газа, не взаимодействующего с породами коллектора, может оказаться достаточно эффективной, так как при этом обеспечиваются технически приемлемые параметры процесса, такие как приемистость и давление. С энергетической точки зрения вытеснение нефти закачкой газа – процесс более энергоемкий по сравнению с закачкой воды. Это означает, что на вытеснение единицы объема нефти при закачке газа затрачивается энергии больше, чем при вытеснении нефти водой.

2.Коэффициенты обводненности и
водонасыщенности. Методы их определения.

Обычно для нефтяных месторождений SВ = 6-35%; SН = 65-94%, в зависимости от созревания пласта.

Водонасыщенность SВ – отношение объёма открытых пор, заполненных водой к общему объёму пор горной породы.

.

Пласт считается созревшим для разработки, если остаточная водонасыщенность SВ < 25%.

Остаточная водонасыщенность, обусловленная капиллярными силами, не влияет на основную фильтрацию нефти и газа.

При водонасыщенности до 25% нефте- и газонасыщенность пород максимальная: 45-77%, а относительная фазовая проницаемость для воды равна нулю.

При увеличении водонасыщенности до 40%, фазовая проницаемость для нефти и газа уменьшается в 2-2,5 раза. При увеличении водонасыщенности до 80% фильтрация газа и нефти в пласте стремится к нулю.

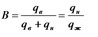
Обводненность продукции В - отношение дебита воды к суммарному дебиту нефти и воды. Этот показатель изменяется во времени от нуля до единицы: Коэффициент обводненности - это отношение объемной доли потока вытесняющей жидкости (воды) к суммарному потоку двух фаз (нефть +вода)

Существует 2 метода определения обводненности и водонасыщенности:

1. Прямой метод: отбор проб

2. Косвенные методы: построение функций, применение математических формул. Пример:


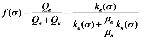
(Функция Баклея-Леверетта)

.

Функция Бакли – Леверетта f(σ) зависит от водонасыщенности σ, определяется следующим образом:

к1,к2-относительные фазовые проницаемости, σ-насыщенность.

σф – точка насыщенности на фронте вытеснения

σсв ≤ σф ≤ σ*

σ*– предельное значение коэффициента водонасыщенности при котором нефть перестаёт двигаться.

Функция f(σ) строится индивидуально для каждого типа коллектора (песчаников, алевролитов, известняков)

Характер изменения показателя В зависит от ряда факторов. Один из основных - отношение вязкости нефти к вязкости воды в пластовых условиях μ0 :

μ0 = μнв , (1.20)

где μн и μв — динамическая вязкость соответственно нефти и воды.

1.Находим относительные фазовые проницаемости

2. определяем f(s) и f’(σ)

 

3.Время подхода фронта воды и обводненность после прорыва воды:

 

Функция Баклея - Леверетта или функцией распределения потоков фаз f(s), которая имеет простой физический смысл. Действительно, данная функция представляет собой отношение скорости фильтрации вытесняющей фазы к суммарной скорости, и равна объемной доле потока вытесняющей жидкости (воды) в суммарном потоке двух фаз. Таким образом, функция Баклея - Лаверетта определяет полноту вытеснения и характер распределения газоконденсатонасыщенности по пласту.

Рис. 3. Вид функции Баклея-Леверетта и её производной

Вид кривых функции f(σ) и ее производной f/(σ) показан на рис.3. С ростом насыщенности f(σ) монотонно возрастает от 0 до 1. Характерной особенностью графика f(σ) является наличие точки перегиба sп, участков вогнутости и выпуклости, где вторая производная f’’(σ) соответственно больше и меньше нуля. Эта особенность в большой степени определяет специфику фильтрационных задач вытеснения в рамках модели Баклея - Леверетта.

При разработке месторождений с высоковязкими нефтями вода может появиться в продукции некоторых скважин с начала их эксплуатации. Некоторые залежи с маловязкими нефтями разрабатываются длительное время с незначительной обводненностью. Граничное значение μ0 между вязкими и маловязкими нефтями изменяется от 3 до 4.

На характер обводнения продукции скважин и пласта влияют также послойная неоднородность пласта и положение интервала перфорации скважин относительно водонефтяного контакта.

3.Основные законы фильтрации жидкости в пористой среде.

Закон Дарси справедлив при соблюдении следующих условий:a) пористая среда мелкозерниста и поровые каналы достаточно узки;b) скорость фильтрации и градиент давления малы;с) изменение скорости фильтрации и градиента давления малы.Формула Дарси: где Кф – коэф. фильтрации – зависит как от природы пористой среды, так и от св-в фильтрующейся жидкости. Имеет размерность скорости и хар-ет скорость потока через единицу площади сечения, перпендикулярного к потоку, под действием единичного градиента напора. Применяется только для однородной ж-ти. Закон дарси: скорость фильтрации жидкости прямо пропорциональна градиенту давления: v = k/m * dP/L

Для разработки месторождений наибольшее значение имеет плоскорадиальный тип течения (приток к скважине).условия вывода: жидкость несжимаема,плотность постоянна,пористая среда несжимаема, прониц и вязкость пост. Течение установившееся, Q,dp = пост, сква-а работает с круговым контуром питания. Скважина совершенная. S фильтрации = 2Пrh. Vф = Q/2Пrh. R = rск до r кп. V = 1/r. V = 10 ^ -3 м/c. Rc = 0.1 м. r = 100 м. v = 10^-6 м/с. Формула дюпюи вытекает из закона дарси. ЗД*v = - K/µ * dP/dl


L= Rk – r. Dl = - dr. V = k/µ * dP/dl. Q/2Пhr = k/µ * dP/dl. Q*dr/2Пhr = k/µ ∫ dP. Q/2Пh * ∫dr/r = k/µ∫dP. ∫dr/r = ln r. Ln a – ln b = ln a/b. Q/2Пh (ln rc-ln Rk)= k/µ (Pc - Pk)отсюда Формула Дюпии:

где К – коэф проницаемости, который не зависит от св-в ж-ти и является динамической хар-кой только пористой среды. Размерность или 1 Д (Дарси) =1,02* .

Коэф фильтрации и проницаемости связаны м/ду собой соотношением:

Анализ:

Дебит не зависит от r, а только от депрессии . График зависимости Q от (Рис.3.4) называется индикаторной диаграммой, а сама зависимость - индикаторной. Отношение дебита к депрессии называется коэффициентом продуктивности скважины

 

. 3.28

2. Градиент давления и скорость обратно пропорциональны расстоянию (рис.3.5) и образуют гиперболу с резким возрастанием значений при приближении к забою.

3. Графиком зависимости р=р(r) является логарифмическая кривая (рис.3.6), вращением которой вокруг оси скважины образуется поверхность, называемая воронкой депрессии. Отсюда, основное влияние на дебит оказывает состояние призабойной зоны, что и обеспечивает эффективность методов интенсификации притока.

4. Изобары - концентрические, цилиндрические поверхности, ортогональные траекториям.

Дебит слабо зависит от величины радиуса контура rк для достаточно больших значений rк /rc, т.к. rк /rc входят в формулу под знаком логарифма.

По индикаторным диаграммам зависимости дебита от депрессии находят: установившееся(ИД,ИП) или неустановившееся движение флюида(КВД,КПД)2 коэффициент продуктивности,прониц, гидропровд, пьезопров







Date: 2015-07-23; view: 3917; Нарушение авторских прав



mydocx.ru - 2015-2026 year. (1.287 sec.) Все материалы представленные на сайте исключительно с целью ознакомления читателями и не преследуют коммерческих целей или нарушение авторских прав - Пожаловаться на публикацию