Главная Случайная страница


Полезное:

Как сделать разговор полезным и приятным Как сделать объемную звезду своими руками Как сделать то, что делать не хочется? Как сделать погремушку Как сделать так чтобы женщины сами знакомились с вами Как сделать идею коммерческой Как сделать хорошую растяжку ног? Как сделать наш разум здоровым? Как сделать, чтобы люди обманывали меньше Вопрос 4. Как сделать так, чтобы вас уважали и ценили? Как сделать лучше себе и другим людям Как сделать свидание интересным?


Категории:

АрхитектураАстрономияБиологияГеографияГеологияИнформатикаИскусствоИсторияКулинарияКультураМаркетингМатематикаМедицинаМенеджментОхрана трудаПравоПроизводствоПсихологияРелигияСоциологияСпортТехникаФизикаФилософияХимияЭкологияЭкономикаЭлектроника






Попит на гроші





Попит на гроші — це така кількість ліквідних активів, яка потрібна в певний час як засіб обігу, платежів та заощаджень (нагромадження) купівельної спроможності.

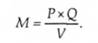
Одне з перших теоретичних пояснень попиту на гроші дала класична кількісна теорія грошей. її представники (Ж. Воден, Д. Юм, Дж. Мілль, Ш.-Л. Монтеск'є, І. Фішер) виходили з того, що кожен акт купівлі-продажу є обміном певної кількості товарів на гроші. Отже, маса грошей в обігу (М) залежить від кількості операцій (Т) в економіці протягом певного періоду часу, ціни типової операції (Р) та швидкості обігу грошей (V):

З часом складності визначення величини Т зумовили заміну її на фізичний обсяг випуску продукції (О), а під Р почали розуміти рівень (індекс) цін:

Ця рівність відома як рівняння обміну І. Фішера. У його лівій частині — грошова маса з урахуванням швидкості грошового обміну (М х V), а в правій — товарне покриття даної грошової маси, грошовий, або номінальний, ВНП (Р х О).

З попередньої формули випливає, що

Інакше кажучи, величина попиту на гроші перебуває у прямій залежності від абсолютного рівня цін і фізичного обсягу виробництва, і в оберненій — від швидкості обігу грошей. Якщо припустити, що швидкість грошового обігу незмінна і мати за мету стабілізацію рівня цін, то держава повинна підтримувати темпи зростання грошової маси на рівні середніх темпів зростання фізичного обсягу ВНП (правило монетаристів).

Іншою формою рівняння І. Фішера є так зване кембріджське рівняння:

Багато хто з фахівців у структурі загального попиту на гроші розрізняють попит на гроші для операцій і попит на гроші з боку активів.

Попит на гроші для операцій (МDt) пов'язується з обслуговуванням грошима операцій купівлі-продажу товарів, послуг і факторів виробництва. Гроші у цьому разі виконують функцію засобу обігу і платежу, а їх кількість залежить від номінального ВНП (V):

Дж.-М. Кейнс і його послідовники пояснювали існування такого попиту на гроші трансакційним мотивом поведінки людей. Водночас вони виділяли й близький до нього за своєю природою попит на гроші як тимчасовий засіб заощаджень (резерв) на випадок непередбачених подій у майбутньому, що обумовлене мотивом обережності. У сукупності ці види попиту створюють операційний попит на гроші.

Попит на гроші з боку активів (МDa) виникає у зв'язку з тим, що частина доходів заощаджується для вигідного розміщення. Гроші в цьому разі виконують функцію засобу заощаджень.

Однак "портфель" можливих фінансових активів виявляється набагато ширшим. Власники заощаджень можуть зберігати їх на банківських рахунках/ у цінних паперах, у формі нерухомості, товарів тривалого користування, страхових полісів тощо. Причому все, що впливає на переваги щодо володіння будь-яким з цих активів, може вплинути і на величину попиту на гроші з боку активів у цілому (теорія "вибору портфеля" Дж. Тобіна).

Порівняємо, наприклад, володіння облігаціями і готівкою. Оскільки ринкова ціна облігацій не постійна, володіння ними пов'язане з більшим ризиком, ніж володіння грошима. З другого боку, володіння облігаціями дає право на одержання процента, який є альтернативною вартістю зберігання грошей як активу. Вибір між ліквідністю і цінними паперами визначає ставка процента (г): якщо вона низька, люди обирають ліквідність, тобто володіння більшою кількістю грошей як активів; коли ж ставка процента висока, вигідніше мати облігації, тому кількість активів у формі грошей зменшується. Отже,

У процесі такого вибору, на думку Дж.-М. Кейнса, виявляються спекулятивні мотиви поведінки людей, а попит на гроші з боку активів є спекулятивним.

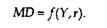
Загальний, або сукупний, попит на гроші (МD) складається з попиту на гроші для операцій і попиту на гроші з боку активів:

Графік попиту на гроші для операцій МБ(має вигляд вертикальної прямої (рис. 24), оскільки він залежить не від ставки процента за не грошовими активами, а від номінального ВНП. Попит на гроші з боку активів МDа (рис. 25) обернено пропорційний ставці процента. Загальний попит на гроші МD (рис. 26) зсуває по горизонтальній осі криву попиту на гроші з боку активів на величину, яка дорівнює попиту на гроші для операцій. При цьому ставка процента не повинна опускатися нижче деякого мінімально припустимого значення г0, інакше власник заощаджень віддасть перевагу збереженню своїх доходів у формі готівки.

Деякі зарубіжні економісти не визнають відокремлення попиту на гроші для операцій від попиту на гроші з боку активів, у. Баумоль і Дж. Тобін, зокрема, вважають, що індивід, маючи певну кількість грошей для оперативних


цілей, може інвестувати тимчасово вільні кошти і одержувати процент, але в певний момент вилучати їх для оплати поточних витрат. Причому чим вища ставка процента, тим менше коштів зберігатиметься у грошовій формі, і навпаки. Водночас важливими факторами попиту на гроші вважаються: багатство індивідів; очікування змін у господарській кон'юнктурі; рівень інфляції. Отже, пропонується єдина концепція попиту на гроші, згідно з якою він залежить від номінального ВНП і номінальної ставки процента з урахуванням інфляції:







Date: 2015-07-23; view: 498; Нарушение авторских прав



mydocx.ru - 2015-2026 year. (3.098 sec.) Все материалы представленные на сайте исключительно с целью ознакомления читателями и не преследуют коммерческих целей или нарушение авторских прав - Пожаловаться на публикацию