Главная Случайная страница


Полезное:

Как сделать разговор полезным и приятным Как сделать объемную звезду своими руками Как сделать то, что делать не хочется? Как сделать погремушку Как сделать так чтобы женщины сами знакомились с вами Как сделать идею коммерческой Как сделать хорошую растяжку ног? Как сделать наш разум здоровым? Как сделать, чтобы люди обманывали меньше Вопрос 4. Как сделать так, чтобы вас уважали и ценили? Как сделать лучше себе и другим людям Как сделать свидание интересным?


Категории:

АрхитектураАстрономияБиологияГеографияГеологияИнформатикаИскусствоИсторияКулинарияКультураМаркетингМатематикаМедицинаМенеджментОхрана трудаПравоПроизводствоПсихологияРелигияСоциологияСпортТехникаФизикаФилософияХимияЭкологияЭкономикаЭлектроника






Билет 6

Билет 23

Определение периода и частоты колебаний в колебательном контуре.

 

 

 

Билет 11

Движение заряженной частицы в электрическом поле

 

 

Билет 9

Определение индукции магнитного поля

 

 

Билет 4

Применение формулы линзы с учётом размеров предмета и его изображения

 

 

 

 


Билет 15

Применение закона электромагнитной индукции.

 

 

Билет 25

Применение законов Ньютона

к системе связанных тел.

 


Билет 17

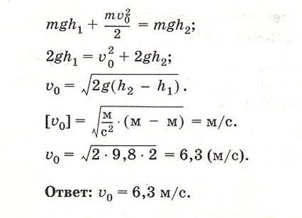
Применение закона сохранения энергии.

 

 

 

Билет 2

Применение уравнения состояния

идеального газа.

 

Билет 6

Графическая задача на газовые законы

На рис. представлен циклический процесс, проведённый с 1 молем идеального газа.

а) Дайте название каждого процесса

б) Напишите уравнения, описывающие каждый из процессов

г)Изобразите этот процесс в координатных плоскостях p,V

       
 
 
   

 

 


 
 

 


 



<== предыдущая | следующая ==>
Педагог. Ученый. Знаток законов. Твой кандидат – Олег Катионов | Участие в международной молодежной научной конференции бесплатное





Date: 2015-07-23; view: 1555; Нарушение авторских прав



mydocx.ru - 2015-2026 year. (0.923 sec.) Все материалы представленные на сайте исключительно с целью ознакомления читателями и не преследуют коммерческих целей или нарушение авторских прав - Пожаловаться на публикацию