Главная Случайная страница


Полезное:

Как сделать разговор полезным и приятным Как сделать объемную звезду своими руками Как сделать то, что делать не хочется? Как сделать погремушку Как сделать так чтобы женщины сами знакомились с вами Как сделать идею коммерческой Как сделать хорошую растяжку ног? Как сделать наш разум здоровым? Как сделать, чтобы люди обманывали меньше Вопрос 4. Как сделать так, чтобы вас уважали и ценили? Как сделать лучше себе и другим людям Как сделать свидание интересным?


Категории:

АрхитектураАстрономияБиологияГеографияГеологияИнформатикаИскусствоИсторияКулинарияКультураМаркетингМатематикаМедицинаМенеджментОхрана трудаПравоПроизводствоПсихологияРелигияСоциологияСпортТехникаФизикаФилософияХимияЭкологияЭкономикаЭлектроника






Учебная информация

Логика - это наука правильно рассуждать, наука о формах и законах человеческого мышления.

Главная задача логики состоит в том, чтобы выявить, какие способы рассуждений правильные, а какие нет. Логика рассматривает три различные формы, в которых осуществляется мышление: понятие, высказывание (суждение), умозаключение.

Понятие - мысль, в которой обобщаются и выделяются предметы некоторого класса по определенным общим и в совокупности специфическим для них признакам.

Например: Этот вписанный угол, опирающийся на диаметр.

Высказыванием (суждением) называется всякое утверждение (предложение), о котором можно судить, истинно оно или ложно.

Например: Все вписанные углы, опирающиеся на диаметр - прямые.

Если из двух суждений выводится третье, то этот процесс – называется умозаключением.

Например:

Первое суждение: Академик Ершов русифицировал язык Паскаль.

Второе суждение: Язык Паскаль - структурный язык.

Тогда вывод из этих суждений: Академик Ершов русифицировал структурный язык.

Условимся простые высказывания обозначать большими буквами (А,В, С и т, д) и, если высказывание истинно, будем писать А=1, а если ложно, то А=0.

Для составления сложных высказываний, как правило, используют простые высказывания, соединяя их знаками логических операций: И, ИЛИ, НЕТ, ЕСЛИ...ТО. Значение истинности сложных суждений полностью определяется значениями истинности составляющих элементарных суждений. Это дает возможность заниматься своеобразным исчислением суждений, т.е. определять значение истинности формулы на основании значений истинности составляющих суждений.

 


 

Операции Обозначения Определение Таблица истинности Пример
Отрицание (НЕ) , ⌐ читается "не А" или "неверно, что А" Высказывание истинна когда ложна, и ложна когда истинна..
А
   
   

 

Пусть суждение А - "Мы любим информатику"; - " Мы не любим информатику".
Конъюнкция (И) &, . Высказывание истинна когда оба высказывания истинны, в остальных ложно.
А В А В
     
     
     
     

 

А - «Сегодня солнечный день» В - «Вова пошел купаться». А В - «Сегодня солнечный день и Вова пошел купаться»
Дизъюнкция (ИЛИ) +, . Высказывание которое ложно, когда оба высказывания ложно, в остальных истинно.
А В А В
     
     
     
     

 

А - «Снег пойдет ночью». В - «Снег пойдет утром» А В - «Снег пойдет ночью или утром»
Импликация (логическое следование или"ЕСЛИ..., ТО") Высказывание которое ложно, когда первое высказывание истинно, а второе ложно, в остальных истинно.
А В А→В
     
     
     
     

 

Пусть истинно следующее суждение: А - "Треугольник равносторонний". Тогда, как известно, истинно суждение: В - "Треугольник равноугольный", поэтому А →В - "Если треугольник равносторонний, то он равноугольный".  
Эквивалентность ("...ТОГДА И ТОЛЬКО ТОГДА, КОГДА...") ↔, ~ Высказывание истинна когда оба высказывание имеют одно и тоже значение, в остальном ложно
А В А↔В
     
     
     
     

 

А - "Дождь идет", В - "На небе тучи". А↔В - «Дождь идет тогда и только тогда, когда на небе тучи».

Любые простые и сложные высказывания, полученные из элементарных высказываний с помощью конечного числа введенных логических операций, называются формулами алгебры логики.

Для упрощения формул, содержащих скобки и различные логические операции, будем учитывать ряд правил.

Порядок выполнения логических операций следующий:

1. Отрицание (Hе,)

2. Конъюнкция (И, )

3. Дизъюнкция (ИЛИ, )

4. Эквивалентность (↔, ~)

5. Импликация (→)

Зная таблицы истинности для эквивалентности, отрицания, конъюнкции, дизъюнкции и импликации, а также учитывая приоритеты перечисленных операций, мы можем научиться составлять таблицы истинности для сложных формул. Учтем лишь, что операции в скобках выполняются в первую очередь.


*Записать в тетради примеры решения задач к этой теме:

Пример 1. Составить таблицу истинности для формулы (А→В) В.

Решение. В формуле имеется две переменной; А и В, значит в таблице истинности будет 4 строчки. Операция в скобочке выполняется в первую очередь, значит:

А В А→В В
       
       
       
       

Пример 2. Составить таблицу истинности для формулы:

Формула называется тождественно-истинной, или тавтоло­гией, если она принимает значение «истинно» при всех значениях переменных, входящих в нее.

Иными словами, тавтологией явля­ется функция, где все переменные фиктивны и хотя бы при од­ном наборе значений аргументов ее значение равно 1, Так, тавто­логиями будет: F: .

а b b→a F
       
       
       
       

Формула называется тождественно-ложной, если она принимает значение нуль при всех значениях переменной, входящих в нее. Так, тождественно-ложны формулы .

*Проверьте тождественно – ложность самостоятельно в своей тетради.

*Выполните задание в своей тетради, по вариантам (вариант по номеру в журнале).

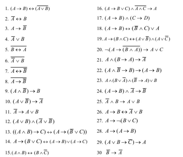
Задание 1. Построить таблицы истинности для следующих функций алгебры логики:

*Ответьте устно на вопросы к данной теме:

1. Что изучает логика?

2. Дайте определения понятия, высказывания, умозаключения.

3. Перечислите операции над высказываниями.

4. Дайте характеристику каждой операции.

5. Перечислите порядок выполнения каждой операции.

6. Дайте определение тождественно-истинной и тождественно – ложной формулы.

*Если вопросы и задачи не были для Вас сложными, значит учебная информация этой темы Вами усвоена, и вы можете переходить к последнему этапу этой работы – защита.



<== предыдущая | следующая ==>
Проверочный расчет подшипников | 





Date: 2015-07-23; view: 564; Нарушение авторских прав



mydocx.ru - 2015-2026 year. (0.355 sec.) Все материалы представленные на сайте исключительно с целью ознакомления читателями и не преследуют коммерческих целей или нарушение авторских прав - Пожаловаться на публикацию