Главная Случайная страница


Полезное:

Как сделать разговор полезным и приятным Как сделать объемную звезду своими руками Как сделать то, что делать не хочется? Как сделать погремушку Как сделать так чтобы женщины сами знакомились с вами Как сделать идею коммерческой Как сделать хорошую растяжку ног? Как сделать наш разум здоровым? Как сделать, чтобы люди обманывали меньше Вопрос 4. Как сделать так, чтобы вас уважали и ценили? Как сделать лучше себе и другим людям Как сделать свидание интересным?


Категории:

АрхитектураАстрономияБиологияГеографияГеологияИнформатикаИскусствоИсторияКулинарияКультураМаркетингМатематикаМедицинаМенеджментОхрана трудаПравоПроизводствоПсихологияРелигияСоциологияСпортТехникаФизикаФилософияХимияЭкологияЭкономикаЭлектроника






Оценка взрывной нагрузки





Московский Государственный Строительный Университет

Кафедра ПОЖАРНОЙ БЕЗОПАСНОСТИ

Курсовая работа

По дисциплине «взрывоустойчивость зданий и сооружений.»

 

Выполнил: студент 3-го курса 5-ой группы

Бегов Ш.Г.

Проверил: Медведев Г.М.

 

 

Мытищи 2011

Оглавление

1) Задание на курсовое проектирование по дисциплине «Взрывоустойчивость зданий и сооружений». Стр.1

2) Данные к заданию. Стр.2

3) Оценка взрывной нагрузки. Стр. 3-4

4) Подбор сечения колонны. Стр. 5-6

5) Подбор сечения балки. Стр.7-8

6) Вывод. Стр.9

 

Задание на курсовое проектирование по дисциплине «Взрывоустойчивость зданий и сооружений».

1) Оценить взрывную нагрузку.

2) Подобрать сечение для балок и колонн.

 

 

Исходные данные:

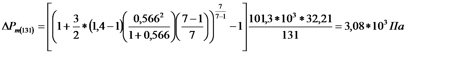
Пропилен с массой пролива m=18900 кг, расстояние до здания 131м.

Между колоннами 4м, а между балками 4м.высота здания h= 4,5 м. пожар происходит в складе нефтепродуктов.

 

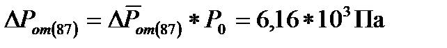
Оценка взрывной нагрузки.

теплоемкость пропилена.

L- удельная теплота парообразования.

Таким образом, равняется,

Найдем массу испарившегося пропилена

Где,

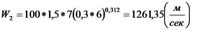
Скорость распространения пламени

Начальный размер облака.

Конечный размер облака.

 







Date: 2015-07-22; view: 398; Нарушение авторских прав



mydocx.ru - 2015-2026 year. (0.242 sec.) Все материалы представленные на сайте исключительно с целью ознакомления читателями и не преследуют коммерческих целей или нарушение авторских прав - Пожаловаться на публикацию