Главная Случайная страница


Полезное:

Как сделать разговор полезным и приятным Как сделать объемную звезду своими руками Как сделать то, что делать не хочется? Как сделать погремушку Как сделать так чтобы женщины сами знакомились с вами Как сделать идею коммерческой Как сделать хорошую растяжку ног? Как сделать наш разум здоровым? Как сделать, чтобы люди обманывали меньше Вопрос 4. Как сделать так, чтобы вас уважали и ценили? Как сделать лучше себе и другим людям Как сделать свидание интересным?


Категории:

АрхитектураАстрономияБиологияГеографияГеологияИнформатикаИскусствоИсторияКулинарияКультураМаркетингМатематикаМедицинаМенеджментОхрана трудаПравоПроизводствоПсихологияРелигияСоциологияСпортТехникаФизикаФилософияХимияЭкологияЭкономикаЭлектроника






Правила Кирхгофа для разветвленных цепей





Обобщенный закон Ома (см. (100.3)) по­зволяет рассчитать практически любую сложную цепь. Однако непосредственный расчет разветвленных цепей, содержащих несколько замкнутых контуров (контуры могут иметь общие участки, каждый из контуров может иметь несколько источни­ков э.д.с. и т. д.), довольно сложен. Эта задача решается более просто с помощью двух правил Кирхгофа.

Любая точка разветвления цепи, в ко­торой сходится не менее трех проводников с током, называется узлом. При этом ток, входящий в узел, считается положитель­ным, а ток, выходящий из узла,— отрица­тельным.

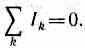
Первое правило Кирхгофа: алгебраи­ческая сумма токов, сходящихся в узле, равна нулю:

Например, для рис. 148 первое правило Кирхгофа запишется так:

I 1- I 2+ I 3- I 4- I 5=0.

Первое правило Кирхгофа вытекает из закона сохранения электрического заряда. Действительно, в случае установившегося постоянного тока ни в одной точке про­водника и ни на одном его участке не должны накапливаться электрические за­ряды. В противном случае токи не могли бы оставаться постоянными.

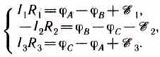
Второе правило Кирхгофа получается из обобщенного закона Ома для разветвлен­ных цепей. Рассмотрим контур, состоящий

 

из трех участков (рис. 149). Направление обхода по часовой стрелке примем за по­ложительное, отметив, что выбор этого на­правления совершенно произволен. Все токи, совпадающие по направлению с на­правлением обхода контура, считаются по­ложительными, не совпадающие с на­правлением обхода — отрицательными. Источники э.д.с. считаются положительны­ми, если они создают ток, направленный в сторону обхода контура. Применяя к участкам закон Ома (100.3), можно записать:

Складывая почленно эти уравнения, по­лучим

I 1 R 1 -I 2 R 2 +I 3 R 3 = ξ 1 - ξ 2 + ξ 3. (101.1)

Уравнение (101.1) выражает второе правило Кирхгофа: в любом замкнутом контуре, произвольно выбранном в развет­вленной электрической цепи, алгебраиче­ская сумма произведений сил токов Ii, на сопротивления Ri соответствующих участков этого контура равна алгебраиче­ской сумме э.д.с. ξ k, встречающихся в этом контуре:

При расчете сложных цепей постоян­ного тока с применением правил Кирхгофа необходимо:

1. Выбрать произвольное направление токов на всех участках цепи; действитель­ное направление токов определяется при решении задачи: если искомый ток полу­чится положительным, то его направление было выбрано правильно, отрицатель­ным — его истинное направление противо­положно выбранному.

 

2. Выбрать направление обхода кон­тура и строго его придерживаться; про­изведение IR положительно, если ток на данном участке совпадает с направлением обхода, и наоборот, э.д.с., действующие по выбранному направлению обхода, счита­ются положительными, против — отрица­тельными.

3. Составить столько уравнений, что­бы их число было равно числу искомых величин (в систему уравнений должны входить все сопротивления и э.д.с. рас­сматриваемой цепи); каждый рассматри­ваемый контур должен содержать хотя бы один элемент, не содержащийся в преды­дущих контурах, иначе получатся уравне­ния, являющиеся простой комбинацией уже составленных.

В качестве примера использования правил Кирхгофа рассмотрим схему (рис. 150) измери­тельного моста Уитстона. Сопротивления R 1, R 2, R 3 и R 4 образуют его плечи. Между точками А и В моста включена батарея с э.д.с. ξ и со­противлением r, между точками С и D включен гальванометр с сопротивлением RG. Для узлов А, В и С, применяя первое правило Кирхгофа, получим

Для контуров АСВ ξ А, ACDA и CBDC, соглас­но второму правилу Кирхгофа, можно запи­сать:

Если известны все сопротивления и э.д.с., то, решая полученные шесть уравнений, можно найти неизвестные токи. Изменяя известные сопротивления R 2, R 3 и R 4, можно добиться того, чтобы ток через гальванометр был равен нулю (IG=0). Тогда из (101.3) найдем

I 1= I 2, I 3 = I 4, (101.5)

а из (101.4) получим

I 1 R 1= I 4R4, I 2 R 2= I 3 R 3. (101.6) Из (101.5) и (101.6) вытекает, что

R 1/ R 4= R 2/ R 3, или R 1= R 2 R 4/ R 3 (101.7)

Таким образом, в случае равновесного моста (IG=0) при определении искомого сопротивле­ния R 1 э.д.с. батареи, сопротивления батареи и гальванометра роли не играют.

На практике обычно используется реохордный мост Уитстона (рис. 151), где сопротивле­ния R 3 и R4 представляют собой длинную одно­родную проволоку (реохорд) с большим удель­ным сопротивлением, так что отношение R 3 /R 4 можно заменить отношением l 3/ l 4. Тогда, ис­пользуя выражение (101.7), можно записать


R 1 =R 2 l 4 /l 3. (101.8)

 

Длины l 3 и l 4 легко измеряются по шкале, a R 2 всегда известно. Поэтому уравнение (101.8) позволяет определить неизвестное со­противление R 1.

 

Контрольные вопросы

• Что называется силой тока? плотностью тока? Каковы их единицы? (Дать определения.)

• Назовите условия возникновения и существования электрического тока.

• Что такое сторонние силы? Какова их природа?

• В чем заключается физический смысл электродвижущей силы, действующей в цепи? напряжения? разности потенциалов?

• Почему напряжение является обобщенным понятием разности потенциалов?

• Какова связь между сопротивлением и проводимостью, удельным сопротивлением и удельной проводимостью? Каковы их единицы? (Дать определения.)

• В чем заключается явление сверхпроводимости? Каковы его перспективы?

• На чем основано действие термометров сопротивления?

• Выведите законы Ома и Джоуля — Ленца в дифференциальной форме.

• В чем заключается физический смысл удельной тепловой мощности тока?

• Проанализируйте обобщенный закон Ома. Какие частные законы можно из него получить?

• Как формулируются правила Кирхгофа? На чем они основаны?

• Как составляются уравнения, выражающие правила Кирхгофа? Как избежать лишних уравне­ний?

Задачи

12.1. По медному проводнику сечением 1 мм2 течет ток; сила тока 1 А. Определить среднюю скорость упорядоченного движения электронов вдоль проводника, предполагая, что на каждый атом меди приходится один свободный электрон. Плотность меди 8,9 г/см3. [74 мкм/с]

12.2. Определить, во сколько раз возрастет сила тока, проходящего через платиновую печь, если при постоянном напряжении на зажимах ее температура повышается от t 1 =20°C до t 2=1200°С. Температурный коэффициент сопротивления платины принять равным 3,65•К)-3 К-1. [В 5 раз]

12.3. По медному проводу сечением 0,3 мм2 течет ток 0,3 А. Определить силу, действующую на отдельные свободные электроны со стороны электрического поля. Удельное сопротивление меди 17 нОм•м. [2,72-10-21 Н]

12.4. Сила тока в проводнике сопротивлением 10 Ом равномерно убывает от I0=3 А до I=0 за 30 с. Определить выделившееся за это время в проводнике количество теплоты. [900 Дж]

12.5. Плотность электрического тока в алюминиевом проводе равна 5 А/см2. Определить удельную тепловую мощность тока, если удельное сопротивление алюминия 26 нОм•м. [65 Дж/(м3•с)]

12.6. Определить внутреннее сопротивление r источника тока, если во внешней цепи при силе тока I 1=5 А выделяется мощность Р 1=10 Вт, а при силе тока /2 = 8 А—мощность P 2 = 12 Вт. [0,17 Ом]

12.7. Три источника тока с э.д.с. ξ1 = l,8 В, ξ2=1,4 В и ξ3=1,1 В соединены накоротко однои­менными полюсами. Внутреннее сопротивление первого источника r1=0,4 Ом, второго — r2 = 0,6 Ом. Определить внутреннее сопротивление третьего источника, если через первый источник идет ток I 1=l,13 A. [0,2 Ом]

 







Date: 2015-07-22; view: 1020; Нарушение авторских прав



mydocx.ru - 2015-2026 year. (0.596 sec.) Все материалы представленные на сайте исключительно с целью ознакомления читателями и не преследуют коммерческих целей или нарушение авторских прав - Пожаловаться на публикацию