Главная Случайная страница


Полезное:

Как сделать разговор полезным и приятным Как сделать объемную звезду своими руками Как сделать то, что делать не хочется? Как сделать погремушку Как сделать так чтобы женщины сами знакомились с вами Как сделать идею коммерческой Как сделать хорошую растяжку ног? Как сделать наш разум здоровым? Как сделать, чтобы люди обманывали меньше Вопрос 4. Как сделать так, чтобы вас уважали и ценили? Как сделать лучше себе и другим людям Как сделать свидание интересным?


Категории:

АрхитектураАстрономияБиологияГеографияГеологияИнформатикаИскусствоИсторияКулинарияКультураМаркетингМатематикаМедицинаМенеджментОхрана трудаПравоПроизводствоПсихологияРелигияСоциологияСпортТехникаФизикаФилософияХимияЭкологияЭкономикаЭлектроника






Скінченно-різницевий метод





Скінченно-різницевий метод (метод скінченних різниць) полягає в заміні диференціальних рівнянь різницевими (дискретними) рівняннями, які називають різницевою схемою.

Для побудови різницевої схеми множина, на якій розглядається задача (відрізок), заміняється дискретною множиною точок (сіткою). Значення функцій, похідних, початкові і граничні умови подають через значення дискретних (сіткових) функцій у вузлах вибраної сітки, тобто здійснюється заміна диференціального оператора різницевим, а також будуються різницеві аналоги всіх додаткових умов. Отже, задача зводиться до розв'язування системи алгебраїчних рівнянь.

Однин із способів побудови різницевих схем полягає у тому, що всі похідні, які входять у диференціальне рівняння та крайові умови, заміняються деякими різницевими відношен­нями. Для цього використовують формули чисельного диференціювання.

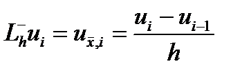
На відрізку побудуємо рівномірну сітку та замінимо диференціальний оператор першого порядку відповідними різницевими похідними:

– похідна зліва;

– похідна справа;

– центральна похідна.

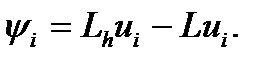
Для диференціального рівняння другого порядку введемо різницеву похідну наступним чином:

Похибкою апроксимації оператора оператором називають різницю

Кажуть, що має p-й порядок апроксимації в точці , якщо

Якщо , то ліва і права різницеві похідні апроксимують з першим порядком, а якщо , то центральна різницева похідна – з другим порядком, якщо , то має другий порядок апроксимації.

Приклад 1. Знайти розв’язок крайової задачі в точках , h = 0,1, за допомогою скінчено-різницевого методу

Розв’язання. Побудуємо на відрізку [0; 1] сітку. Для цього виберемо крок . Тоді будемо мати Замінимо похідні в диференціальному рівнянні та крайових умовах різницевими похідними. Отримаємо у внутрішніх точках

а на кінцях будемо мати

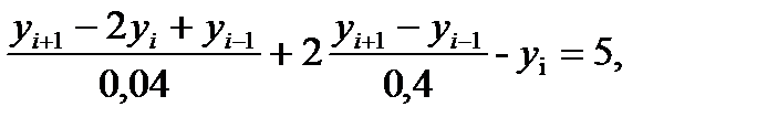
Підставимо ці похідні в задане рівняння

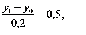
та в крайові умови

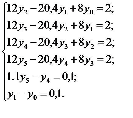
Складемо систему рівнянь

Розв’язавши систему одним з відомих методів, отримаємо розв’язок задачі

i x y
  0,0 -0,004
  0,2 0,096
  0,4 0,006
  0,6 0,093
  0,8 0,005
  1,0 0,096

Для досягнення більшої точності слід зменшити крок.







Date: 2015-07-22; view: 938; Нарушение авторских прав



mydocx.ru - 2015-2026 year. (0.638 sec.) Все материалы представленные на сайте исключительно с целью ознакомления читателями и не преследуют коммерческих целей или нарушение авторских прав - Пожаловаться на публикацию