Главная
Случайная страница
Полезное:
Как сделать разговор полезным и приятным
Как сделать объемную звезду своими руками
Как сделать то, что делать не хочется?
Как сделать погремушку
Как сделать так чтобы женщины сами знакомились с вами
Как сделать идею коммерческой
Как сделать хорошую растяжку ног?
Как сделать наш разум здоровым?
Как сделать, чтобы люди обманывали меньше
Вопрос 4. Как сделать так, чтобы вас уважали и ценили?
Как сделать лучше себе и другим людям
Как сделать свидание интересным?
Категории:
АрхитектураАстрономияБиологияГеографияГеологияИнформатикаИскусствоИсторияКулинарияКультураМаркетингМатематикаМедицинаМенеджментОхрана трудаПравоПроизводствоПсихологияРелигияСоциологияСпортТехникаФизикаФилософияХимияЭкологияЭкономикаЭлектроника
|
Расчет годовых объемов работ
Годовой объем работ СТО может включать услуги (работы) по ТО и ТР, уборочно-моечные работы, работы по приемке и выдаче автомобилей, работы по противокоррозионной обработке кузовов автомобилей и их предпродажной подготовке.
2.1. Годовой объем работ по ТО и ТР.


годовое количество условно обслуживаемых на станции автомобилей данной марки;
среднегодовой пробег автомобиля, км;
удельная трудоемкость ТО и ТР, чел.-ч/1000 км. (табл. 2).
Таблица 2
Трудоёмкости ТО и ТР автомобилей на СТО (по ОНТП-01-9Т)*
| Тип СТО и подвижного состава
| Удельная трудоёмкость ТО и
ТР**
чел'-ч/1000
км
| Разовая трудоёмкость на один заезд по видам работ, чел.-ч
| | ТО и
ТР
| Мойка
и уборка
| Приёмка и выдача
| Предпродажная подготовка
| Проти-.
вокорро-
зионная
обра-
ботка
| | Городские СТО, легковых автомобилей:
|
|
|
|
|
|
| | особо малого класса
| 2,0
| —
| 0,15
| 0,15
| 3,5
| 3,0
| | малого класса
| -2,3
| —
| 0,20
| 0,20
| 3,5
| 3,0
| | среднего класса
| 2,7 j
| —
| 0,25
| 0,25
| 3,5
| 3,0
| | Дорожные СТО:
|
|
|
|
|
|
| | легковых автомобилей всех классов
| —
| 2,0
| 0,20
| 0,20
| —
| —
| | автобусов и грузовых автомобилей независимо от класса и грузоподъёмности
| —
| 2,8
| 0,25
| 0,30
| —
| —
|
2.2. Годовой объем уборочно-моечных работ.

число заездов в год на УМР.
средняя трудоёмкость УМР.
Уборочно-моечные работы на СТО выполняются непосредственно перед ТО и ТР или как самостоятельный вид услуг. В первом случае число заездов на УМР принимается равным числу заездов обслуживаемых в год автомобилей.



средняя трудоёмкость одного заезда на УМР при механизированной мойки.

2.3. Годовой объем работ по приемке и выдаче автомобилей.

разовая трудоёмкость одного заезда на работы по приёме и выдачи автомобилей.

2.4. Годовой объем работ по противокоррозионной обработке кузовов автомобилей.

Частота проведения работ по противокоррозионной обработке составляет 3...5 лет., т.е. 0,2...0,3 заезда в год.


число заездов автомобиля в год на противокоррозионную обработку кузова.
разовая трудоёмкость одного заезда на обработку противокоррозионной обработкой кузова.

2.5. Годовой объем работ по предпродажной подготовке.

количество продаваемых автомобилей в год
трудоёмкость предпродажной подготовки одного автомобиля.

Таблица 3
Годовые объемы работ, чел.-ч
| Марки автомобилей
| Виды воздействий
| Общий
годовой j
объем;
работ, :
Т
| |
| ТО и ТР,
ТТО-ТР
| УМР, ТУМР
| Приемка и выдача авт., TПВ
| Противокоррозионная обработка кузова, ТПК
| Предпродажная
подготовка авт., TПП
|
| |
|
|
| 1062,5
|
|
|
| 3. Распределение годовых объемов работ по видам и месту выполнения
Таблица 4
Примерное распределение объема работ по видам и месту их выполнения
| Вид работ
| Распределение объема работ в зависимости от числа рабочих постов
| Распределение объема работ по месту их выполнения
| |
| До 5
| От 6 до 10
| От 11 ДО 20
| От 21 до 30
| Свыше 30
| На
рабочих постах
| На производственных участках
| | Диагностические
|
|
|
|
|
|
| —
| | ТО в полном объеме
|
|
|
|
|
|
| -
| | Смазочные
|
|
|
|
|
|
| -
| | Регулировочные по установке углов управляемых колес
|
|
|
|
|
|
| -
| | Ремонт и регулировка тормозов
|
|
|
|
|
|
|
| | Электротехнические
|
|
|
|
|
|
|
| | По приборам системы питания
|
|
|
|
|
|
|
| | Аккумуляторные
|
|
|
|
|
|
|
| | Шиномонтажные
|
|
|
|
|
|
|
| | Ремонт узлов, систем и агрегатов
|
|
|
|
|
|
|
| | Кузовные и арматурные (жестяницкие, медницкие, сварочные)
| -
|
|
|
|
|
|
| | Окрасочные
| -
|
|
|
|
|
| -
| | Обойные
| —
|
|
|
|
|
|
| | Слесарно-механические
| -
|
|
|
|
| -
|
| | Уборочно-моечные
| -
| -
| -
| -
| -
|
| -
| | Противокоррозионные
| -
|
| -
| -
|
|
| -
| Для выбора распределения объема работ проектируемой СТО предварительно число рабочих постов можно определить из следующего выражения:

общий годовой объём работ СТО.
коэффициент неравномерности поступления автомобилей на СТО.
доля постовых работ в общем объёме.
число рабочих дней в году.
продолжительность смены.
число смен.
среднее число рабочих, одновременно работающих на посту.
коэффициент использования рабочего времени поста.

Таблица 5
Распределение годового объема работ ТО и ТР по видам и месту выполнения
| Вид работ
| Распределение объема работ
| Распределение объема работ ТО и ТР по месту выполнения
| |
| ТО и ТР по видам
| На рабочих постах
| На производственных участках
| |
| %
| чел-ч
| %
| чел-ч
| %
| чел-ч
| | Диагностические
|
|
|
|
| —
| —
| | ТО, смазочные
|
|
|
|
| —
| —
| | Регулировочные по установке углов управляемых колес
|
|
|
|
| -
| -
| | Ремонт и регулировка тормозов
|
|
|
|
| -
| -
| | Электротехнические
|
|
|
|
|
|
| | По приборам системы питания
|
|
|
|
|
|
| | Аккумуляторные
|
|
|
|
|
|
| | Шиномонтажные
|
|
|
|
|
|
| | Ремонт узлов, систем и агрегатов
|
|
|
|
|
|
| | Кузовные и арматурные
|
|
|
|
|
|
| | Окрасочные
|
|
|
|
| —
| —
| | Обойные
|
|
|
|
|
|
| | Слесарно-механические
|
|
| -
| —
|
|
| | Итого
|
|
| -
|
| -
|
| 4. Расчет численности рабочих
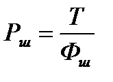
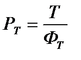
Технологически необходимое (явочное) число производственных рабочих Рт и штатное Рш:
,

Т - годовой объем работ, чел.-ч;
Фт и Фш - соответственно годовой фонд времени технологически необходимого рабочего при односменной работе и штатного рабочего, ч.
Для специальностей с вредными условиями труда установлены фонды Фт=1780 ч и Фш=1560 ч (35 ч продолжительность недели и 24 дня отпуска), Для всех других специальностей Фт=2020 ч и Фш=1770 ч (40 ч продолжительность недели и 24 дня отпуска).
Таблица 6
Результаты расчета общей численности производственных рабочих СТО
| Вид работ
| Годовой объем работ, чел-ч
| Рт
| Рш
| | расчетн.
| принят.
| расчетн.
| принят.
| | ТО-ТР
|
| 83,5
|
| 94,5
|
| | УМР
|
| 0,4
|
| 0,4
|
| | Приемка и выдача
| 1062,5
| 0,5
|
| 0,6
|
| | Противокоррозионная обработка
|
| 0,9
|
| 1,0
|
| | Предпродажная подготовка
|
|
|
| 1,2
|
| | Итого
|
| 86,3
|
| 97,7
|
| | | | | | | | |
Результаты расчета численности производственных рабочих ТО и ТР по видам работ и месту выполнения
| Вид работ
| Объем работ ТО и ТР выполняемый
| Численность производственных рабочих
| | На рабочих постах
| На производственных участках
| На рабочих постах
| На производственных участках
| | Рт
| Рш
| Рт
| Рш
| | Чел-ч
| Чел-ч
| Расч.
| Прин.
| Расч.
| Прин.
| Расч.
| Прин.
| Расч.
| Прин.
| | Диагностические
|
| -
| 83,5
|
| 95,3
|
| -
| -
| -
| -
| | ТО, смазочные
|
| -
| 83,5
|
| 95,3
|
| -
| -
| -
| -
| | Регулировочные по установке углов передних колес
|
| -
| 83,5
|
| 95,3
|
| -
| -
| -
| -
| | Ремонт и регулировка тормозов
|
| -
| 83,5
|
| 95,3
|
| -
| -
| -
| -
| | Электротехнические
|
|
| 66,8
|
| 76,3
|
| 1,7
|
| 1,9
|
| | По приборам системы питания
|
|
| 58,5
|
| 66,7
|
| 25,1
|
| 28,6
|
| | Аккумуляторные
|
|
| 8.4
|
| 9,5
|
| 75,2
|
| 85.8
|
| | Шиномонтажные
|
|
| 25,1
|
| 28,6
|
| 58,5
|
| 66,7
|
| | Ремонт узлов, систем и агрегатов
|
|
| 41.7
|
| 47,7
|
| 41,7
|
| 47.7
|
| | Кузовные и арматурные
|
|
| 62,6
|
| 71,5
|
| 20,8
|
| 23,7
|
| | Окрасочные
|
| -
| 83,5
|
| 95,3
|
| -
| -
| -
| -
| | Обойные
|
|
| 41,7
|
| 47,7
|
| 41,7
|
| 47,7
|
| | Слесарно-механическиие
| -
|
| -
| -
| -
| -
| 83,5
|
| 95,3
|
| | Итого
|
|
| 697,2
|
| 824,5
|
| 348,2
|
| 397,4
|
|
Date: 2015-07-22; view: 1479; Нарушение авторских прав | Понравилась страница? Лайкни для друзей: |
|
|