Главная Случайная страница


Полезное:

Как сделать разговор полезным и приятным Как сделать объемную звезду своими руками Как сделать то, что делать не хочется? Как сделать погремушку Как сделать так чтобы женщины сами знакомились с вами Как сделать идею коммерческой Как сделать хорошую растяжку ног? Как сделать наш разум здоровым? Как сделать, чтобы люди обманывали меньше Вопрос 4. Как сделать так, чтобы вас уважали и ценили? Как сделать лучше себе и другим людям Как сделать свидание интересным?


Категории:

АрхитектураАстрономияБиологияГеографияГеологияИнформатикаИскусствоИсторияКулинарияКультураМаркетингМатематикаМедицинаМенеджментОхрана трудаПравоПроизводствоПсихологияРелигияСоциологияСпортТехникаФизикаФилософияХимияЭкологияЭкономикаЭлектроника






Стандартты функциялар





Delphi ортасында алдын-ала программалары жасалынып, керек уақытында қолдануға болатын, стандартты модульге жинақталып қойылған объектілер бар, олардың бірі – стандартты функциялар (13-кесте), жиі кездесетін функцияларды есептеу үшін қолданылады.

Стандартты функцияларды жазу үшін қажетті функцияның аты мен міндетті түрде дөңгелек жақшаға алып жазылынған функция аргументі көрсетіледі, мысалы: Exp(x), Pred(x), Odd(x).

 

13-кесте. Стандартты функциялар

Стандартты функция Delphi-де жазылуы Х-аргументінің мәні мен мағынасы
  Sinx Sin(x) x-радиан
  Cosx Cos(x) x-радиан
  Lnx (натурал логарифм) Ln(x) X>0
  ex Exp(x) Экспоненциалдық бағыныштылық (е=2,718)
  х2 Sqr(x) Sqr(5) = 25
  Sqrt(x) x>0, санның квадрат түбірі
  abs(x) x-тің абсолют шамасы
  Санның бүтінге дейін дәлдігі Round(x) Round(3,78) = 4
  Санның бүтін бөлігін табу Int(x) Int(3,78)=3
  Санның бөлшек бөлігін табу Frac(x) Frac(3,78)=0,78
  санының берілуі   PI

 

Бұл функцияларды есептеу программалары тілдің қызметші кітапханасында жинақталған.

Стандартты функциялар құрамына кейбір математикалық функциялар кірмей қалған, себебі оларды түрлендіру формулаларының көмегімен стандартты функциялар арқылы өрнектеуге болады (14-кесте), Delphi программалау тіліндедәрежеге шығару (квадрат дәрежеден басқа) амалын белгілейтін белгі жоқ, сол себепті түрлендіру функциясы қолданылады.

 

14-кесте Математикалық функциялар

Функция Delphi-де жазылуы
  sin(x)/cos(x)   cos(x) /sin(x)
    Arctan(x/sqrt(1-sqr(x)))
Arctan(sqrt(1-sqr(x))/x)

 

Математикалық өрнекте қолданылатын стандарттық арифметикалық операциялар тізімі 15-кестеде келтірілген.

15-кесте. Арифметикалық амалдар

Таңба Орындалатын амал
+ - * / DIV MOD Қосу Алу Көбейту Бөлу Бүтін сандарды бүтіндей бөлу Бүтін сандарды бөлуде шығатын бүтін қалдық

 

Ескерту:

1. Логикалық операцияларда қолданылатын And (және), Or (немесе), Not (емес, яғни жоққа шығару) – құрама шарттарда пайдаланылатын түйінді сөздер.

2. Chr (13) не #13 – жаңа жолдан бастау коды.

3. Өрнекке енгізілген плюс (+) таңбасы элементтердің типіне сәйкес түрлі әрекеттер орындайды:

· сандарды қосу;

· жолдық типті берілгендерді біріктіру.

Сызықтық құрылымды программа. Программаға енгізілген математикалық өрнекте типтерді түрлендіру функциялары жиі пайдаланылады.

Мысал:

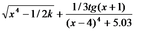
Функцияны есептеу:

L= мұндағы x=5.3; k= 18; a=632.5

Delphi программалау тілінде сызықтық құрылымды программа жазамыз, ол үшін:

1. Жаңа жоба ашу;

2. Формаға компанеттер мен олардың қасиеттерін орнату;

3. Формада Іске қосу (Button1) компонентін екі рет шерту арқылы Click оқиғасы процедурасының дайындамасын алу;

4. Процедура денесін енгізу;

5. Программаны компиляциялау;

6. Функцияны есептеу;

7. Функция нәтижесін алу.

Шешуі:

1. File → New Application командасы арқылы Form1 терезесін экранға шығарамыз;

2. Формаға компоненттер мен компоненттер қасиетінің мәндерін орнатамыз:

 

Компонент Компонент қасиеті Қасиет мәні
Form1 Font Caption Name Times New Roman, 15 Функцияны есептеу Func1
  Left  
  Top  
  Width  
  Height  
Label1 Caption x =
  Font Түсі - қызыл
Label2 Caption k =
  Font Түсі - жасыл
Label3 Caption a =
  Font Түсі – көк
Label4 Caption L =
  Font Түсі – күлгін
  Left  
  Top  
  Width  
  Height  
Edit1, Edit2, Edit3 Text -(бос ету)
Button1 Caption Іске қосу немесе Есептеу

 


3.Формада Іске қосу (Button1) компонентін екі рет шерту арқылы алынған Click оқиғасы процедурасының тақырыбын көрсету:

unit Unit1;

interface

uses

Windows, Messages, SysUtils, Variants, Classes, Graphics, Controls, Forms,

Dialogs, StdCtrls;

type

TForm1 = class(TForm)

Label1: TLabel;

Label2: TLabel;

Label3: TLabel;

Edit1: TEdit;

Edit2: TEdit;

Edit3: TEdit;

Label4: TLabel;

Button1: TButton;

procedure Button1Click(Sender: TObject);

private

{ Private declarations }

public

{ Public declarations }

end;

var

Form1: TForm1;

implementation

{$R *.dfm}

procedure TForm1.Button1Click(Sender: TObject);

Begin

End.

4. Процедура денесін енгізу:

procedure TForm1.Button1Click(Sender: TObject);

var k:integer;

x,a,l:real;

Begin

x:=StrToFloat(Edit1.Text); // Edit1 -ге х –тің нақты мәнін енгізу

k:=StrToInt(Edit2.Text); // Edit2 -ге k-ның бүтін мәнін енгізу

a:=StrToFloat(Edit3.Text); // Edit3 -ке а-ның нақты мәнін енгізу

L:=sqrt(exp(4*ln(x))+1/2*k)+ 1/3*sin(x+1)/cos(x+1)/(exp(4*ln(x-4))+5.03*a);

Label4.Caption:='L='+FloatToStr(L); // Label4-ке нәтижені шығару

end;

Ескерту: Delphi-де бір жолдық түсініктемені қос көлбеу сызықтан (//) соң жазуға болады.

5. Программаны компиляциялау командасын беру: [F9] пернесі немесе Run командасы.

Программа компиляцияланып шыққан соң, жүйе “Функцияны есептеу” тақырыбы жазылған нүктесіз Форманы (15.5-сурет) экранға шығарады.

 

15.5-сурет. Функцияны есептеу формасы

 

6. Курсорды Edit1 өрісіне орналастырып оған х –тің нақты мәні-5,3-ті сол сияқты Edit2-ге k-ның бүтін мәні- 18, Edit3-ке а-ның нақты мәні 632,5 енгізу;

7. Форманың “ Іске қосу ” батырмасын шерту арқылы Label4 өрісіне функция нәтижесі (15.6-сурет) жазылып қойылады.

 

15.6-сурет. Нәтиже шығарылған Форма терезесі

 

Ескерту:

1)Windows операциялық жүйесінің белгілі бір күйге келтіріліп қойылуына байланысты, нақты сан әдеттегідей үтір (,) арқылы бөлініп енгізілуі мүмкін;

2) Нақты санды форматты түрде шығару үшін FloatToStr(L) функциясының орнына FloatToStr(L,fffixed, 6, 2) немесе осы сияқты формат параметрі енгізілген функцияны пайдалануға болады.

Тармақталған құрылымды программа. Тармақталу командасының қысқа және толық нұсқалары бар. Олардың жазылу түрлері:


1) if P then S //қысқа нұсқа түрі;

2) if P then S1 else S2 // толық нұсқа түрі, мұндағы Р -шарт; S, S1, S2-орындауы тиіс сериялар (бір блоктық операторлар). Егер блок бірнеше операторлардан тұрса, олар бір құрама оператор ретінде қарастырылып, begin - end операторлық жақшалардың ішінде жазылады (мұндағы ескеретін жайт – программа денесі де бір сыртқы блок ретінде қарастырылады):







Date: 2015-06-11; view: 2699; Нарушение авторских прав



mydocx.ru - 2015-2026 year. (7.501 sec.) Все материалы представленные на сайте исключительно с целью ознакомления читателями и не преследуют коммерческих целей или нарушение авторских прав - Пожаловаться на публикацию