Главная Случайная страница


Полезное:

Как сделать разговор полезным и приятным Как сделать объемную звезду своими руками Как сделать то, что делать не хочется? Как сделать погремушку Как сделать так чтобы женщины сами знакомились с вами Как сделать идею коммерческой Как сделать хорошую растяжку ног? Как сделать наш разум здоровым? Как сделать, чтобы люди обманывали меньше Вопрос 4. Как сделать так, чтобы вас уважали и ценили? Как сделать лучше себе и другим людям Как сделать свидание интересным?


Категории:

АрхитектураАстрономияБиологияГеографияГеологияИнформатикаИскусствоИсторияКулинарияКультураМаркетингМатематикаМедицинаМенеджментОхрана трудаПравоПроизводствоПсихологияРелигияСоциологияСпортТехникаФизикаФилософияХимияЭкологияЭкономикаЭлектроника






Вопрос №36





V2 Кинетическая энергия частицы7,68 МэВ. Минимальное расстояние, на которое приблизится частица к ядру золота :
  м
  м
  м
  м
  м
  29,6*10-15 м
  29,6*10-13см
  29,6*10-14см

 

Вопрос 37

V2 Электрон находится в одномерной потенциальной яме с бесконечно высокими стенками, ширина которой ℓ=1.4*10-3 м. Энергия, излучаемая при переходе электрона с третьего энергетического уровня на второй равна
  0,5эВ
  1эВ
  1,5эВ
  2,0эВ
  2,5эВ
  1,6·10-19 Дж
  3,2·10-19 Дж
  0,16·10-18 Дж

Вопрос38

V2 Электрон находится в одномерной потенциальной яме с бесконечно высокими стенками, ширина которой ℓ=1нм. Наименьшая разность энергетических уровней электрона будет равна
  1,1эВ
  1,76*10-19 Дж
  17,6*10-20 Дж
  0,8эВ
  9,6*10-20 Дж
  0,32*10-19 Дж
  0,6эВ
  0,4эВ
  0,2эВ

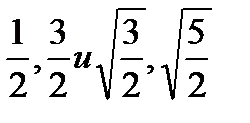
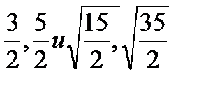
Вопрос 39

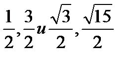
V2 Возможные значения (в единицах ħ) | орбитального, |Ls| спинового и |Lj| полного механического момента электроно атома водорода находящегося в d- состоянии
  ; и
 
 
 
 
  2; 1/2; 5/2 и 3/2
  2; 1/2 и
  6; 1/2; 5/2 и 3/2

Вопрос 40

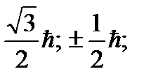
V2 Максимально возможное значение | |полного механического момента электрона атома водорода, находящегося в стационарном состоянии, которому соответствует главное квантовое числа n=2
  ħ
 
 
  ħ
  ħ
  ħ
  ħ
 

Вопрос 41

V2 Энергия и момент импульса электрона, входящего в состав атома водорода, в состояниях 3р и 4р
  -3,4эВ;-1,5эВ; √3·10-34Джс
  -3,4эВ;-1,5эВ; 2·10-34Джс
  -1.51эВ;-0.85эВ; 1.48·10-34Джс
  -24,16·10-20 Дж; -1.38·10-19 Дж, 9.25·10-16 эВ·с
  -2,416·10-19 Дж, -13,8·10-20 Дж, 92,5·10-17 эВ·с
  -8,64·10-20 Дж, -1,38·10-19 Дж, 14,8·10-35 Дж·с
  -3,4эВ;-0,85эВ; √2·10-34Джс
  -0.54эВ;-0.85эВ; 1,48·10-34Джс

 

Вопрос 42

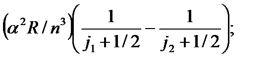
V3 Величина расщепления (см-1)терма 3р атома водорода вследствие спин- орбитального взаимодействия определяется выражением
  ΔT=α2R/n3(1/2)
 
 
  ΔT=α2R/n3(2/3)
 
  ΔT=α2R/n2(1/2)
  ΔT=α2R/n2(3/2)
  ΔT=α2R/n2(2/3)

Вопрос 43

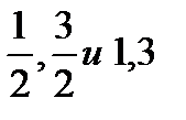
V2 Орбитальный момент импульса |Lе| электрона, находящегося в атоме водорода: 1) s состоянии 2)в р -состоянии равен
  1)1,05·10-34Дж·с; 2)2,10·10-34Дж·с
  1)0;2) 1,05·10-34Дж·с
  1)0; 2) 10,5·10-35 Дж·с
  0,15·10-33 Дж·с
  1)0;2) 3,0·10-34Дж·с
  1)0;2) 1, 5·10-34Дж·с
  1)0;
  1)0;

Вопрос 44

V2 Возможные значения Llz проекции орбитального момента импульса электрона, движущегося вокруг ядра атома водорода на направление внешнего магнитного поля. Электрон находится в f состоянии
  0; ±1,055·10-34Джс; ±2,11·10-34Джс; ±3,165·10-34Джс
  (0; ±1; ±2; ±3)ħ
  (0; ±1; ±2; ±3)һ/2π
  ±1,055·10-34Джс; ±2,11·10-34Джс; ±3,165·10-34Джс;±4.220 ·10-34Джс
  (0; ±1; ±2;)ħ
  (±1; ±2; ±3)ħ
  0; ±2,11·10-34Джс;±4.220 ·10-34Джс;6.33·10-34Джс
  0;±1·10-34Джс; ±3·10-34Джс; ±5·10-34Джс
  ±1·10-34Джс; ±2·10-34Джс; ±3·10-34Джс; ±4·10-34Джс

Вопрос 45

V2 Электрон в атоме водорода находится в f состоянии. При этом орбитальный момент импульса электрона |Lе|, максимальное и минимальное значения проекции момента импульса на направление внешнего магнитного поля будут равны
  ħ ; =2ħ; = - 2ħ
  3ħ; =3ħ; = - 3ħ
  ħ ; =3ħ; = - 3ħ
 
 
  4ħ; =4ħ; = - 4ħ
  ħ ; =3ħ; = - 3ħ
  ; 3ħ; -3ħ;

Вопрос 46

V2 Атом водорода, находившийся первоначально в основном состоянии, поглотил квант света с энергией Е=10,2эВ. В возбужденном атоме электрон находится в р состоянии. При этом изменение ΔLe орбитального момента импульса движения электрона равно
  ΔLe= Дж·с
  14,9·10-35 Дж·с
  0,93·10-15 эВ·с
  24,5·10-35 Дж·с
  ΔLe= Дж·с
  ΔLe= Дж·с
  2,8·10-15 эВ·с
  ΔLe= Дж·с
  ΔLe= Дж·с

Вопрос 47


V2 Момент импульса орбитального движения электрона в атоме водорода равен Джс. Магнитный момент ,обусловленный орбитальным движением электрона
  1,61·10-23Дж/Тл
  10-4 эВ/Тл
  10-10 МэВ/Тл
  26,1·10-24 Дж/Тл
  2,25·10-4 эВ/Тл
  6,1·10-24 Дж/Тл
  3,61·10-23Дж/Тл
  4,61·10-23Дж/Тл

 

Вопрос 48

V2 Электрон в атоме водорода находится в р состоянии. Определить возможные значения квантового числа и возможные значения (в единицах ħ) полного момента импульса электрона
 
 
 
 
 
 
 
 

Вопрос 49

V2 Спиновой момент импульса свободного электрона и возможные значения проекции этого момента на направление внешнего магнитного поля равны
  =0,91·10-34Джс =±0,53·10-34Джс
 
 
  =1,91·10-34Джс =±1,53·10-34Джс
  =2,91·10-34Джс =±2,53·10-34Джс
  =3,91·10-34Джс =±3,53·10-34Джс
  19,1·10-35 Джс, ±5,3·10-35 Джс
  =1,91·10-34Джс =±0,53·10-34Джс

Вопрос 50

V2 Если квантовые дефекты основного терма 3S и терма 3Р атома Nа, равны соответственно 1,37 и 0,88, то его потенциал ионизации и первый потенциал возбуждения будет равны
  5,39 и 1,85В
  5,14 и 2,1В
  51,4·10-4 кВ и 21·10-4 кВ
  51,4·102 мВ и 21·102 мВ
  4,40 и 1,6В
  53,9·10-4 кВ и 18,5·102 мВ
  4,18 и 1,6В
  3,9 и 1,6В

Вопрос 51

V2 Если потенциал ионизации атома Li равен 5,35В; то квантовый дефект его основного терма будет равен
  0,88
  0,41
  41*10-2
  4,1*10-1
  0,20
  0,61
  5,1*10-1
  0,51

Вопрос 52

V2 Если потенциал ионизации атома К равен 4,34В, то квантовый дефект его основного терма будет равен
  1,37
  0,88
  2,23
  22,3*10-1
  0,223*10
  0,41
  1,23
  2,23

Вопрос 53

V2 Если потенциал ионизации атома Cs равен 3,88В; то квантовый дефект его основного состояния будет равен
  4,13
  41,3*10-1
  0,413*10
  2,23
  1,37
  0,88
  0,41
  22,3*10-1

Вопрос 54

V2 Интервал между крайними компонентами тонкой структуры головной линии серии Бальмера для ионов Не + равен:
  4,58 см-1
  5,58 см-1
  6,58 см-1
  7,58 см-1
  758 м-1
  0,758 мм-1
  8,58 см-1
  858 мм-1

 


Вопрос 55

V2 Интервал между крайними компонентами тонкой структуры головной линии серии Пашена для ионов Не+ равен:
  0,46 см-1
  1,46 см-1
  2,46 см-1
  246 м-1
  0,246 мм-1
  3,46 см-1
  4,46 см-1
  446 м-1

 

Вопрос 56

V2 Возможные значения полного механического момента электронных оболочек атома в состоянии 4P в единицах h:
  /2; /2 и /2
  ; и
  ; и
  ; и
  ; и
  ; и
  ; и
  ; ; и ;

 

Вопрос 57

V2 Возможного значение полного механического момента электронных оболочек атома в состоянии 5D в единицах h:
  2 ; 2 ; ; ; и 0
  2 ; 2 ; ; и
  3 ; 3 ; ; и 0
  2 ; 2 ; ; и 0
  2 ; 2 ;2 ; и
  ; ; ; и 0
  ; ; ; и 0
  ; ; 0

Вопрос 58

V2 Возможные значения квантового числа J для атома находящегося в состоянии с квантовыми числами S=2 и L=3
  0,1,2,3,4
  1,2,3,4,5
 
  3+5; 2+S; 1+S; S; 3-S
  2,3,4,5,6
  0,1,2
  L-S; L-S+1; L-S+2
  1,2,3

Вопрос 59

V2 Возможные значения квантового числа J для атома находящегося в состоянии с квантовыми числа S=3 и L=3:
  0,1,2,3,4,5,6
  0,1,2,3
  1,2,3,4
  2,3,4,5
  3,4,5,6
  L+3; L+2; L +1; L; L-1; L -2; L-3
  S+ L; S+2; S+1; S; S-1; S-2; S-3
  1,2,3,4,5,6

Вопрос 60

V2 Возможные значения квантового числа J для атома, находяшегося в состоянии с квантовыми числами S=5/2 и L=3:
  1/2, 3/2,5/2,7/2,9/2, 11/2
  L+5/2…, |L-5/2|
  5+3, S+2, S+1, 5, S-1, s-2
  3/2,5/2,7/2
  5/2,7/2,9/2
  1/2, 3/2,5/2
  S-2, S-1, S;
  7/2,9/2, 11/2

Вопрос 61

V2 Атом находится в состоянии, мультиплетность которого равна трем а полный механический момент атома h . Возможные значения квантового числа L:
  3,4,5
  Lmax=J+S, J+S-1, Lmin=J-S
  J+1, J, J-1
  4,5,6
  1,2,3
  Lmax=J+S-1, J+S-2, Lmin=J
  0,1,2
  2,3,4

 

 

Вопрос 62

V2 Максимально возможный полный механический момент I I и спектральное обозначение соответствующего терма атома с электронной конфигурацией 1 2p3d  
  ,
  ħ ,
  ,
  ,
  ,
 
 
 

Вопрос 63

V2 Если частично заполненная оболочка атома содержит три d-электрона, то согласно правилами Хунда полный механический момент атома в основном состоянии будет равен:
  ; ħ /2
  ; ħ
  ; ħ /3
  ; 2ħ
 
 
 

Вопрос 64


V2 Известно, что в F-состоянии атома число возможных значений квантового числа J равно пяти. При этом спиновой механический момент электронов атома в этом состоянии равен:
  ħ
  ħ
  ħ
 
 
 
  2
 

 

Вопрос 65

V2 Порядковый номер элемента, у которого в основном состоянии заполнены K,L,M- слои, а также 4s-оболочка, равен:
   
   
   
   
   
  2
  2·22+2·32+2
  2(2

Вопрос 66

V2 Длина волны и энергия фотона -линии Al(z=13), равны:
  544пм; 2,32кэВ;
  644пм; 1,89кэВ;
  744пм; 1,66кэВ;
  844пм; 1,47кэВ;
  944пм; 1,30кэВ;
  0,844 нм; 1470 эВ;
  84,4·10-2 нм; 14,7·10-2 нм;
  84,4·10-2 нм;

Вопрос 67

VI Длина волны и энергия фотона -линии кобальта (z=27), равны:
  180пм; 6,9кэВ;
  160пм; 7,7кэВ;
  150пм; 8,2кэВ;
  130пм; 9,5кэВ;
  200пм; 5,62кэВ;
  0,18 нм; 69·102 эВ;
  1,8·102 пм; 0,69·10-2 MэВ;
  0,2 нм; 56,2·102 эВ

Вопрос 68

V2 Граничная длина волны K-серии рентгеновского излучения от платинового (z=78) антикатода равна:
  1,5* м
  2,5* м
  3,5* м
  4,5* м
  5,5* м
  15пм
  0,015нм
  0,025нм

Вопрос 69

V2 Множитель Ланде g является гиромагнитным отношением для полного магнитного и механического моментов атома и определяется формулой:
  g=1-
  g=1+
  g=1+
  g=1-
  g=1+
  g= +
  g=
  g= -

Вопрос 70

V2 Если атом находится в состоянии то его магнитный момент и возможные значения проекции будут равны ():
  ;(0, )
  ;(, )
  ;(, )
  ;(0, )
  ;(, )
  ;
  ;(, )
  ;(, )

 

 

Вопрос 71

V2 Если атом находится (фактор Ланде g=4/5)то его магнетный момент и возможные проекции значения будут равны ():
  ;
  ;
  ;
  ;
  ;
  ;
  ;
  ;

Вопрос 72

V2 Магнитный момент атом водорода в основном состояний:
   
  ;
  ;
  ;
  ;
 
 
 

Вопрос 73

V2 Возможные значения магнитного момента атома в состоянии (в магнетонах Бора):
  ,13/ 13/
  ,11/ 2/
  ,9/
  ,15/ 6/
  ,13/ 3/
  ;
 
 

Вопрос74

V2 Магнитный момент атома в состоянии равен (в магнетонах Бора):
   
   
   
   
   
 
 
 

Вопрос 75

V2 Известно что в состоянии магнитный момент атома равен нулю. Механический момент атома в этом состянии:
  ;
 
  ;
  ;
  ;
 
  ;
  ;

 

Вопрос 76

V2 Магнитный момент атома в состоянии равен (в магнетонах Бора):
   
   
   
   
   
 
 
 

Вопрос 77

V2 Число компонент на которое расщепляется в опыте Штерна и Герлаха пучок a)атомов H в основном состоянии; b)атомов ванадия в состоянии равно:
  a)2;b)4
  a)3;b)5
  a)2;b)3
  a)не расщепится; b)2
  a)3;b)6
  a)2j+1;b)2ℐ+1
  a)2S+1; b)m
  a)2S+1;b)2ℐ

Вопрос 78

V2 Число компонент на которые расщепится в опыте Штерна и Герлаха пучок атомов, находящихся в состоянии
   
   
   
   
   
  2j+1
  По числу mј
  2l+1

Вопросы 79

V2 Число компонент на которые расщепится в слабом магнитном поле терм a) b)
  a)не расщепится;b)6;
  a)3;b)4;
  a)2;b)5;
  a)3;b)5;
  a)2;b)4;
  a)2ℐ+1;b)m;
  a) m; b) 2ℐ+1;
  a)ℐ+1;b)2m;

Вопрос 80

V2 Квант с энергией h =20эВ выбивает электрон из атома водорода, находящегося в основным состоянии.С какой скоростью будет двигаться электрон?
  1,5* м/с
  2,5* м/с
  3,5* м/с
  4,0* м/с
  4,5* м/с
  15* м/с
  15* м/с
  35* м/с

Вопрос 81

V2 Полное расщепление терма в магнитном поле индукция которого В=0,20 Тл
  0,23* эВ
  1,23* эВ
  2,23* эВ
  3,23* эВ
  4,23* эВ
  23* эВ
  0,23*мэВ
  2,23*мэВ

Вопрос 82

V2 Сколько ориентаций орбитального магнитного момента возможна для р- состояния электрона
   
   
   
   
   
  2l+1
  По числу ml
  l+1

Вопрос 83

V2 Полный магнитный момент атома определяется формулой:
  g ;
  ;
  ;
  ;
  ;
 
 
 

Вопрос № 84

V2 Порядковый номер Z элемента, у которого в основном состоянии заполнены K,L,M –слои а также 4s-оболочка, равен
   
   
   
   
   
 
 
 

Вопрос № 85

V2 Суммарное максимальное число s-,p-,d-,f- и g-электронов, которые могут находиться в N- и O-слоях атома, равен
   
   
   
   
   
 
 
 

Вопрос № 86

V2 Число компонент на которое расшепится в слабом магнитном поле термы: a) , б) , в)
  а) не расщепится, б)на три, в) на пять
  а) не расщепится, б)на две, в) натри
  а) на две, б)на три, в) на четыре
  а) на две, б)на четыре, в) на пять
  а) на две, б)на три, в) на три
  а) , б) , в)
  а) , б) , в)
  a) , б) , в)

Вопрос № 87

V2 Число компонент на которое расшепится магнитном поле терм
  на 6
  на 5
  на 4
  на 3
  на 2
 
  По числу
  По числу

Вопрос № 88

V2 Выражение для термов вращательной энергии двухатомной молекулы
 
 
 
 
 
 
 
 

Вопрос № 89

V2 Выражение для термов колебательной энергии двухатомной молекулы
 
 
 
 
 
 
 
 

Вопрос № 90

V2 Выражение для термов колебательно-вращательной энергии двухатомной молекулы
 
 
 
 
 
 





Date: 2015-07-10; view: 871; Нарушение авторских прав



mydocx.ru - 2015-2026 year. (1.374 sec.) Все материалы представленные на сайте исключительно с целью ознакомления читателями и не преследуют коммерческих целей или нарушение авторских прав - Пожаловаться на публикацию