Главная Случайная страница


Полезное:

Как сделать разговор полезным и приятным Как сделать объемную звезду своими руками Как сделать то, что делать не хочется? Как сделать погремушку Как сделать так чтобы женщины сами знакомились с вами Как сделать идею коммерческой Как сделать хорошую растяжку ног? Как сделать наш разум здоровым? Как сделать, чтобы люди обманывали меньше Вопрос 4. Как сделать так, чтобы вас уважали и ценили? Как сделать лучше себе и другим людям Как сделать свидание интересным?


Категории:

АрхитектураАстрономияБиологияГеографияГеологияИнформатикаИскусствоИсторияКулинарияКультураМаркетингМатематикаМедицинаМенеджментОхрана трудаПравоПроизводствоПсихологияРелигияСоциологияСпортТехникаФизикаФилософияХимияЭкологияЭкономикаЭлектроника






Извлечение корня из комплексного числа в тригонометрической форме





(Лекция)

 

Применяя формулу Муавра

,

легко найти комплексные корни n -й степени из произвольного отличного от нуля комплексного числа z.

Пусть . Тогда

un = z (1)

и все корни n -й степени из числа z являются решениями уравнения (1).

Поскольку комплексное число u отлично от нуля (в противном случае комплексное число z равно нулю, а мы договорились не рассматривать этот случай в виду того, что при z = 0 уравнение (1) имеет единственный n- кратный корень u = 0). Его можно представить в тригонометрической форме:

u = r1 (cos φ1 + i sin φ1).

Пусть, как обычно,

z = r (cos φ + i sin φ),

тогда уравнение (1) примет вид:

r1n (cos nφ1 + i sin nφ1) = r (cos φ + i sin φ).

Комплексные числа, заданные в тригонометрической форме равны тогда и только тогда, когда равны их модули, а аргументы отличаются на 2πk (k Z). Поэтому

Откуда получаем:

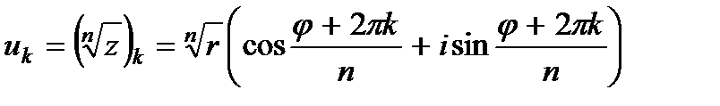
, (k Z).

Здесь − арифметический корень из положительного действительного числа r.

Обозначим k -й корень n -й степени из комплексного числа z через uk. Тогда

,

где k Z, k = 0, 1, 2, 3, …, n −1.

Замечание. Корней n -й степени из ненулевого комплексного числа z, заданного в тригонометрической форме, будет ровно n, так как именно столько различных значений будет принимать дробь , где k пробегает n значений от 0 до n-1.

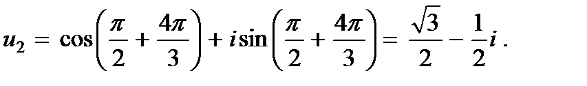
Пример. Найдите .

Решение.− i = cos + i sin .

Следовательно,

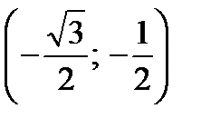
Таким образом,

Точки u0(0; 1), u1 и u2 являются вершинами правильного треугольника (см. рис. 1).

u0
у
Замечание. Для любого отличного от нуля комплексного числа z и любого натурального числа

Рис. 1
u2
u1
x
 
   
n > 2 корни степени n из числа z являются вершинами правильного n - угольника с центром в точке О (0;0). Это следует из того, что модули всех корней n -й степени равны , а углы между соседними корнями uk и

uk+1 равны .







Date: 2015-07-02; view: 1399; Нарушение авторских прав



mydocx.ru - 2015-2026 year. (1.803 sec.) Все материалы представленные на сайте исключительно с целью ознакомления читателями и не преследуют коммерческих целей или нарушение авторских прав - Пожаловаться на публикацию