Главная Случайная страница


Полезное:

Как сделать разговор полезным и приятным Как сделать объемную звезду своими руками Как сделать то, что делать не хочется? Как сделать погремушку Как сделать так чтобы женщины сами знакомились с вами Как сделать идею коммерческой Как сделать хорошую растяжку ног? Как сделать наш разум здоровым? Как сделать, чтобы люди обманывали меньше Вопрос 4. Как сделать так, чтобы вас уважали и ценили? Как сделать лучше себе и другим людям Как сделать свидание интересным?


Категории:

АрхитектураАстрономияБиологияГеографияГеологияИнформатикаИскусствоИсторияКулинарияКультураМаркетингМатематикаМедицинаМенеджментОхрана трудаПравоПроизводствоПсихологияРелигияСоциологияСпортТехникаФизикаФилософияХимияЭкологияЭкономикаЭлектроника






Арифметичні дії та інші операції





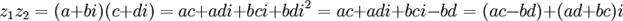
Арифметичні дії виконуються аналогічно до дій з многочленами, але з урахуванням рівності . Нехай та — комплексні числа. Тоді:

1.

2.

3.

4.

Для комплексних чисел певним чином визначають також інші операції, наприклад, піднесення до довільного комплексного степеня, логарифмування, знаходження синуса, косинуса тощо. Деякі з цих операцій не є однозначними і ведуть до розгляду багатозначних функцій, які взагалі часто виникають при вивченні функцій комплексної змінної. Теорію про функції комплексної змінної часто називають комплексним аналізом). Одним зі способів означення елементарних функцій комплексної змінної є задання такої функції як суми степеневого ряду, в який можна розкласти аналогічну функцію дійсної змінної.







Date: 2015-07-02; view: 422; Нарушение авторских прав



mydocx.ru - 2015-2026 year. (1.503 sec.) Все материалы представленные на сайте исключительно с целью ознакомления читателями и не преследуют коммерческих целей или нарушение авторских прав - Пожаловаться на публикацию