Главная Случайная страница


Полезное:

Как сделать разговор полезным и приятным Как сделать объемную звезду своими руками Как сделать то, что делать не хочется? Как сделать погремушку Как сделать так чтобы женщины сами знакомились с вами Как сделать идею коммерческой Как сделать хорошую растяжку ног? Как сделать наш разум здоровым? Как сделать, чтобы люди обманывали меньше Вопрос 4. Как сделать так, чтобы вас уважали и ценили? Как сделать лучше себе и другим людям Как сделать свидание интересным?


Категории:

АрхитектураАстрономияБиологияГеографияГеологияИнформатикаИскусствоИсторияКулинарияКультураМаркетингМатематикаМедицинаМенеджментОхрана трудаПравоПроизводствоПсихологияРелигияСоциологияСпортТехникаФизикаФилософияХимияЭкологияЭкономикаЭлектроника






Критерий Кнудсена

Таблица 1

Распределение давления на участке вакуумной системы

от магниторазрядного насоса до откачиваемого объекта

 

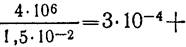
Давление во входном сечении насоса, согласно зависимости,

Перепад давления на элементе 3 определяется - Δр3 = Q/U13 = 4·10-6/2,48 = 1,6·10-6 Па. Аналогично находим перепады давлений на осталь­ных элементах, рассчитываем давления на входе и выходе каждого элемента и по полученным результатам строим график распределе­ния давления на рис. 2.

 

б. Высоковакуумная систе­ма.

Найдем общую проводи­мость участка вакуумной си­стемы от пароструйного насо­са до вакуумной камеры по зависимости:

где Sm2 - быстрота действия пароструйного насоса, выбран­ного по каталогу.

Рис. 3. Схема высоковакуумного участка: 1, 3, 5 - трубопроводы; 2 - затвор; 4 -ло­вушка Составим компоновочную схему рассматриваемого участ­ка ва-куумной системы. На компоновоч-ной схеме (рис. 3) показаны внутренние размеры откачиваемого объ­екта и трубопроводов. Участок вакуумной системы состоит из пяти элементов: трубопроводов 1, 3, 5, затвора 2 и ловушки 4. Определим проводимости элементов и диаметров трубопро-водов. Предположим, что все элементы имеют одинаковую про-водимость. Тогда Uij = 5 U03 = 5·2,24·10-3 = 1,12·10-2 м3/с.

Режим течения газа в трубопроводе определим по рабочему давлению р2 = 5·10-5 Па и диаметру входного патрубка насоса dвх = 0,046 м.

Критерий Кнудсена

т. е. режим течения молекулярный.

Диаметр элемента 1 может быть рассчитан из условия последо­вательного соединения входного отверстия и трубопровода

Из записанного уравнения находим d1 = 0,023 м. По ГОСТ 18626-73 выбираем условный проход трубопровода d1 = 0,025 м. Тогда проводимость первого участка U21 = 1,42·10-2 м3/с, проводи­мость отверстия 5,7·10-2 м3/с, проводимость трубопровода 1,89·10-2 м3/с. В качестве клапана выбираем ВЭП-25 (см. табл. 1 Прил.) с диаметром условного прохода dу =25 мм и проводимостью в мо­лекулярном режиме течения газа 0,014 м3/с.

Таким образом, U22 = 0,014 м3/с, причем проводимость входного отверстия равна бесконечности.

Диаметр трубопровода на третьем участке выберем из условия U23 = 1,12·10-2 м3/с, тогда с учетом размеров предыдущего элемента

Выбираем d3 = 0,025 м, тогда U23 = 9,45·10-3 м3/с.

Выбираем ловуш­ку, имеющую dу = 25 мм и проводимость U24 = 1,12-10-2 м3/с.

Пятый участок по размерам совпадает с третьим участком, т. е. U25 = 9,45·10-3 м3/с, d5 = 25 мм. Входная проводимость насоса рав­на бесконечности. Общая проводимость находится из следующего выражения:

Общая проводимость выбранного участка вакуумной системы 2,26·10-3 м3/с, что несколько больше требуемой 2,24·10-3 м3/с.

Ко­эффициент использования пароструйного насоса в системе

Коэффициент использо­вания Kи2 = 0,13 равен оп­тимальному значению.

Рассчитаем распределе­ние давления по длине участка вакуумной системы от пароструйного насоса до откачиваемого объекта.

Давление во входном се­чении насоса, согласно зависимости,

Перепад давления на эле­менте 5

Аналогично находим перепады давлений на остальных элемен­тах, рассчитывая давления на входе и выходе каждого. Получен­ные результаты заносим в табл. 2 и строим график распределе­ния давлений (рис. 3).

Таблица 2

Распределение давления на участке вакуумной системы

от пароструйного насоса до откачиваемого объекта

в. Низковакуумная система.

Найдем общую проводимость уча­стка вакуумной системы от пароструйного насоса до механического по зависимости:

где Sm3 - быстрота действия механического насоса, выбранного по каталогу.

Составим компоновочную схему рассматриваемого участка ваку­умной системы.

Рис. 4. Схема низковакуумного уча­стка: 1, 3, 5, 7 - трубопроводы; 1, 6 - клапаны; 4 - ловушка На компоновочной схеме (рис. 4) показаны дли­ны трубо-проводов и диаметр выпускного патрубка пароструйного насоса 8 мм, диаметр входного патрубка механического насоса 8 мм. Участок вакуумной системы состоит из семи элементов: четырех тру­бопроводов 1, 3, 5, 7, клапанов 2, 6 и ловушки 4. Определим проводимость элементов и диаметров трубо-проводов. Предположим, что все элементы имеют одинаковую проводимость, тогда

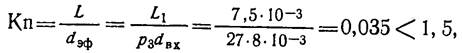
Режим течения газа в трубопроводе определим по рабочему давлению р3 = 27 Па и диаметру входного патрубка механического на­соса dвх = 0,008 м.


Критерий Кнудсена

но 0,035 > 5·10-3, т. е. режим течения молекулярно-вязкостный.

Сопротивлением отверстий при небольшом перепаде давления, характерном для установившегося режима при Ки3 = 0,7, в молекулярно-вязкостном режиме можно пренебречь.

Диаметр первого трубопровода можно рассчитать при среднем давлении в трубопроводе рср = p3 = 27 Па по проводимости

откуда d413 + 3·10-3 d313 – 4,4·10-9 = 0. Имеем d13 = 7,5·10-3 м.

По ГОСТ 18626-73 выбираем d13 = 8·10-3 м, что соответствует U31 =2,1·10-3 м3/с.

Тогда получим d33 = d53 = d73 = 8·10-3 м.

В качестве клапанов на втором и шестом участках по табл. 1 прил. выбираем КМУ1-10 с диаметром условного прохода dу = 10 мм и проводимостью 0,0014 м3/с. Проводимость клапана в молекулярно-вязкостном режиме несколько больше, чем в молекулярном. Разни­цей проводимостей в данном расчете пренебрегаем.

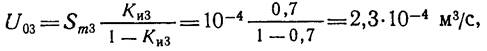
Выбираем ловушку, имеющую dу = 10 мм и проводимость U34 = 1,6·10-3 м3/с. Общую проводимость находим из следующего вы­ражения:

откуда U03 = 2,53·10-4 м3/с.

Общая проводимость выбранного участка вакуумной системы 2,53·10-4 м3/с, что несколько больше требуемой 2,3·10-4 м3/с.

Коэффициент использования механического насоса в системе

Коэффициент Kи3 = 0,72 близок к оптимальному значению 0,7.

 

Рассчитаем распределение давления по длине участка вакуум­ной системы от механического до пароструйного насоса. Давление во входном сечении насоса, согласно зависимости

Перепад давления на элементе 7

Аналогично находим перепады давлений на остальных элемен­тах, рассчитывая давления на входе и выходе каждого. Получен­ные результаты заносим в табл. 4 и строим график распределе­ния давлений (рис. 4). В элементах 1, 2, 3, 4 принимаем предель­ное давление механического насоса с ловушкой 4·10-1 Па.

 

Таблица 3

Распределение давления на участке вакуумной системы

от механического насоса до пароструйного

 

 

Приложение

Таблица 1



<== предыдущая | следующая ==>
Вступительное слово | Заполните предлагаемые формы 1-3, пользуясь табличными материалами из Постановления Правительства (см. ниже)





Date: 2015-06-11; view: 1072; Нарушение авторских прав



mydocx.ru - 2015-2026 year. (1.612 sec.) Все материалы представленные на сайте исключительно с целью ознакомления читателями и не преследуют коммерческих целей или нарушение авторских прав - Пожаловаться на публикацию