Главная
Случайная страница
Полезное:
Как сделать разговор полезным и приятным
Как сделать объемную звезду своими руками
Как сделать то, что делать не хочется?
Как сделать погремушку
Как сделать так чтобы женщины сами знакомились с вами
Как сделать идею коммерческой
Как сделать хорошую растяжку ног?
Как сделать наш разум здоровым?
Как сделать, чтобы люди обманывали меньше
Вопрос 4. Как сделать так, чтобы вас уважали и ценили?
Как сделать лучше себе и другим людям
Как сделать свидание интересным?
Категории:
АрхитектураАстрономияБиологияГеографияГеологияИнформатикаИскусствоИсторияКулинарияКультураМаркетингМатематикаМедицинаМенеджментОхрана трудаПравоПроизводствоПсихологияРелигияСоциологияСпортТехникаФизикаФилософияХимияЭкологияЭкономикаЭлектроника
|
Регламентація сфери електронної комерції
| № п/п
| Аспект діяльності, що підлягає регламентуванню
| Нормативний акт
| Короткий зміст
| |
| Правовий статус електронного документа та його оригіналу
| Закон України
"Про електронні документи та електронний документообіг"
|
| |
| Порядок відправлення електронного документа
| Закон України
"Про електронні документи та електронний документообіг"
|
| |
| Порядок одержання електронного документа
| Закон України
"Про електронні документи та електронний документообіг"
|
| |
| Гарантії одержання та цілісності електронного документа
| Закон України
"Про електронні документи та електронний документообіг"
|
| |
| Правила зберігання електронного документа
| Закон України
"Про електронні документи та електронний документообіг"
|
| |
| Суб'єкти електронного цифрового підпису
| Закон України
"Про електронний цифровий підпис"
|
| |
| Правовий статус електронного цифрового підпису
| Закон України
"Про електронний цифровий підпис"
|
| |
| Призначення електронного цифрового підпису
| Закон України
"Про електронний цифровий підпис"
|
| |
| Структура сертифіката ключів
| Закон України
"Про електронний цифровий підпис"
|
| |
| Права і обов'язки підписувача
| Закон України
"Про електронний цифровий підпис"
|
| Закінчення табл. 9.1
| № п/п
| Аспект діяльності, що підлягає регламентуванню
| Нормативний акт
| Короткий зміст
| |
| Права і обов'язки центра сертифікації ключів
| Закон України
"Про електронний цифровий підпис"
|
| |
| Функції центрального засвідчувального органа
| Закон України
"Про електронний цифровий підпис"
|
| |
| Права споживачів телекомунікаційних послуг
| Закон України
"Про телекомунікації"
|
| |
| Обов'язки споживачів телекомунікаційних послуг
| Закон України
"Про телекомунікації"
|
| |
| Правові основи діяльності провайдерів телекомунікацій
| Закон України
"Про телекомунікації"
|
| |
| Завдання адміністрування українського сегмента мережі Інтернет
| Закон України
"Про телекомунікації"
|
| |
| Учасники ринку адміністрування та реєстрації доменних імен в домені.
| Концепція розвитку домену.
|
| |
| Принципи реєстрації доменних імен в домені.
| Концепція розвитку домену.иА
|
| |
| Юридична чинність документів у формі повідомлень
| Типовий закон ЮНСІТРАЛ "Про електронну торгівлю"
|
| |
| Укладання і дійсність комерційних контрактів
| Типовий закон ЮНСІТРАЛ "Про електронну торгівлю"
|
| 9.2. Розрахувати ефективність та обрати оптимальний варіант функціонування Web-сервера, використовуючи дані таблиці.
Таблиця 9.2
| № пп
| Показники
| Од. виміру
| Варіант 1
| Варіант 2
| Варіант 3
| Варіант 4
| Варіант 5
| |
| Відвідувачі, які потрапили на сервер за півроку завдяки використанню банера на іншому сервері
| % від п. 4
|
| ЗО
|
|
|
| |
| Відвідувачі, які потрапили на сервер за півроку завдяки використанню гіперпо-силання на пошуковому сервері
| чол.
|
|
|
|
|
| |
| Відвідувачі, які потрапили на сервер за півроку за адресою сервера
| % від п. 4
|
|
|
|
| ЗО
| |
| Загальна кількість відвідувачів сервера за півроку
| чол.
|
|
|
|
|
| |
| Відвідали візитну сторінку сервера за півроку
| раз
|
|
|
|
|
| | чол.
|
|
|
|
|
| |
| Відвідали сторінку - каталог за півроку
| раз
|
|
|
|
|
| | чол.
|
|
|
|
|
| |
| Відвідали сторінку з інформацією про додаткові послуги за півроку
| раз
|
|
|
|
|
| | чол.
|
|
|
|
|
| |
| Відвідувачі, що "клікнули" банер: - на візитній сторінці
| чол.
|
|
|
|
|
| | - на сторінці - каталозі
| чол.
|
|
|
|
|
| | - на інформаційній сторінці
| чол.
|
|
|
|
|
| |
| Відвідувачі, які купили товар у електронному магазині за півроку
| чол.
|
|
|
|
|
| |
| Загальна кількість відвідувань сервера за півроку
| раз
|
|
|
|
|
| Закінчення табл. 9.2
| № пп
| Показники
| Од. виміру
| Варіант 1
| Варіант 2
| Варіант 3
| Варіант 4
| Варіант 5
| |
| Відвідувачі, які потрапили на сервер за півроку завдяки використанню банера на іншому сервері
| % від п. 4
|
|
|
|
|
| |
| Відвідувачі, які потрапили на сервер за півроку завдяки використанню гіперпосилання на пошуковому сервері
| чол.
|
|
|
|
|
| |
| Відвідувачі, які потрапили на сервер за півроку за адресою сервера
| % від п. 4
|
|
| ЗО
|
|
| |
| Загальна кількість відвідувачів сервера за півроку
| чол.
|
|
|
|
|
| |
| Відвідали візитну сторінку сервера за півроку
| раз
|
|
|
|
|
| | чол.
|
|
|
|
|
| |
| Відвідали сторінку - каталог за півроку
| раз
|
|
|
|
|
| | чол.
|
|
|
|
|
| |
| Відвідали сторінку з інформацією про додаткові послуги за півроку
| раз
|
|
|
|
|
| | чол.
|
|
|
|
|
| |
| Відвідувачі, що "клікнули" банер: - на візитній сторінці
| чол.
|
|
|
|
|
| | - на сторінці - каталозі
| чол.
|
|
|
|
|
| | - на інформаційній сторінці
| чол.
|
|
|
|
|
| |
| Відвідувачі, які купили товар у електронному магазині за півроку
| чол.
|
|
|
|
|
| |
| Загальна кількість відвідувань сервера за півроку
| раз
|
|
|
|
|
| Вказівки до виконання завдання
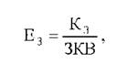
1. Ефективність застосування різних засобів входу на сервер розраховується за формулою:

де Е3 - ефективність засобу входу;
К3 - кількість відвідувачів, що скористалися засобом входу на сервер;
ЗКВ - загальна кількість відвідувань сервера за досліджуваний період.
2. Оцінка відвідувань сторінок сервера визначається за формулою:

де Ов - оцінка відвідувань сторінки за досліджуваний період;
Квс - кількість відвідувань сторінки за досліджуваний період.
3. Ефективність банерної реклами визначається за формулою:

де ЕБ - ефективність банерної реклами;
Кв - кількість відвідувачів сторінки, де знаходиться інформаційний банер;
Вк - кількість відвідувачів, які "клікнули" інформаційний банер.
4. Ефективність перетворення відвідувачів у покупців розраховується за формулою:

де Ев - ефективність перетворення відвідувачів у покупців; В - кількість відвідувачів, які купили товар; Зв - загальна кількість відвідувачів серверу.
5. Кількість повторних відвідувань сервера визначається за формулою:

6. Обрати оптимальний варіант варіант функціонування Web-сервера, зробити відповідний висновок.
Date: 2015-07-02; view: 563; Нарушение авторских прав | Понравилась страница? Лайкни для друзей: |
|
|