Главная Случайная страница


Полезное:

Как сделать разговор полезным и приятным Как сделать объемную звезду своими руками Как сделать то, что делать не хочется? Как сделать погремушку Как сделать так чтобы женщины сами знакомились с вами Как сделать идею коммерческой Как сделать хорошую растяжку ног? Как сделать наш разум здоровым? Как сделать, чтобы люди обманывали меньше Вопрос 4. Как сделать так, чтобы вас уважали и ценили? Как сделать лучше себе и другим людям Как сделать свидание интересным?


Категории:

АрхитектураАстрономияБиологияГеографияГеологияИнформатикаИскусствоИсторияКулинарияКультураМаркетингМатематикаМедицинаМенеджментОхрана трудаПравоПроизводствоПсихологияРелигияСоциологияСпортТехникаФизикаФилософияХимияЭкологияЭкономикаЭлектроника






Методика расчета

РАСЧЕТ НАГРУЗОК, СОЗДАВАЕМЫХ УДАРНОЙ ВОЛНОЙ

Общие сведения

Чрезвычайная ситуация (ЧС) - внешне неожиданная, внезапно возникающая обстановка, которая характеризуется резким нарушением установившегося положения и отрицательным воздействием на жизнедеятельность человека, функционирование экономики, социальной сферы и окружающей природы.

Характерным условием возникновения ЧС является существование источников опасных и вредных факторов на предприятиях, технологические процессы которых предусматривают использование высоких давлений, взрывчатых, легковоспламеняющихся, химически агрессивных, токсичных, биологически активных и радиационно-опасных веществ и материалов, а также возможные ядерные взрывы в условиях мирного и военного времени.

В настоящем практическом занятии рассматриваются критерии оценки физической устойчивости и последствия при взрыве емкости со сжатым газом, взрыв газовоздушной смеси (утечка газов), воздушный и наземный ядерный взрыв.

Методика, на основании которой проводятся расчеты, анализ и оценка последствий взята из источников, приведенных в списке использованной литературы.

Методика расчета

2.1.Взрыв емкости со сжатым газом

Тротиловый эквивалент определяется по формуле:

где q - тротиловый эквивалент, кг,

А- работа взрыва (работа газа при адиабатическом расширении)

Безопасное удаление от места взрыва для человека определяется по формуле:

Безопасное удаление от места взрыва для жилой застройки определяется по формуле:

2.2.Взрыв газовоздушной смеси

Избыточное давление при взрыве газовоздушной смеси определяется по формуле:

где Ризб - избыточное давление при взрыве газовоздушной смеси, кПа,

т - масса горючего газа, кг,

НТ - теплота сгорания, кДж/кг

Ро - начальное давление, кПа

z - коэффициент участия воздушной смеси

Vn - объем помещения, м3

С - теплоемкость воздуха, кДж/кг

р - плотность воздуха, кг/м3

То - температура в помещении, К

RH - коэффициент негерметичности помещения,

 

2.3.Ядерный взрыв

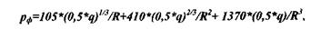
Избыточное давление во фронте ударной волны наземного и воздушного ядерного взрыва и для взрыва емкости определяется по формуле:

где рф - избыточное давление, кПа,

q - тротиловый эквивалент, кг,

R - расстояние от центра взрыва, м.

 

2.4.Степень разрушения объекта воздействия

Степень разрушения объекта воздействия (здания, сооружения и т.д.) оценивается по критерию физической устойчивости) сильное, среднее, слабое а объекты воздействия (оборудование, установки и т.д.) по критерию опрокидывания и смещения.

2.4.1.Степень разрушения объекта воздействия

Степень воздействия ударной волны с избыточным давлением, при котором элементы производственного комплекса разрушаются полностью, оценивается как сильное разрушение; а при котором элементы производственного комплекса разрушаются или получают повреждения, при котором они могут быть восстановлены в короткие сроки, оценивается как средние или слабые разрушения.

Степень разрушения производственных комплексов в зависимости от избыточного давления может быть оценена следующим образом:


• для промышленного здания с металлическим или железобетонным каркасом:

при избыточном давлении 50-60 кПа - сильное, при избыточном давлении 50-40 кПа - среднее, при избыточном давлении 40-20 кПа - слабое;

• для кирпичного многоэтажного здания в 3 этажа и более с остеклением:
при избыточном давлении 30-20 кПа - сильное, при избыточном давлении 20-10 кПа - среднее, при избыточном давлении 10- 8 кПа - слабое;

• для кирпичного одно- и двухэтажного здания с остеклением:

при избыточном давлении 35-25 кПа сильное, при избыточном давлении 25-15 кПа - среднее, при избыточном давлении 15- 8 кПа - слабое;

• для приборных стоек:

при избыточном давлении 70-50 кПа - сильное, при избыточном давлении 50-30 кПа - среднее, при избыточном давлении 30-10 кПа - слабое;

• для антенных устройств:

при избыточном давлении 40 кПа - сильное, при избыточном давлении 40-20 кПа - среднее, при избыточном давлении 20-10 кПа - слабое;

• для открытых складов с железобетонным перекрытием: при избыточном
давлении 200 кПа - сильное.

 

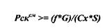
2.4.2.Степень опрокидывания или смещения антенного устройства или приборной стойки Скоростной напор взрыва определяется по формуле:

где Рек - скоростной напор взрыва, кПа,

Рф - избыточное давление во фронте ударной волны наземного взрыва, кПа,


Ро - начальное атмосферное давление, кПа.

Допустимый скоростной напор взрыва при опрокидывании антенного устройства и приборной стойки определяется из соотношения:

где а и b - высота и ширина объекта, м.

Если скоростной напор взрыва больше допустимого скоростного напора взрыва при опрокидывании, то произойдет опрокидывание антенного устройства или приборной стойки.

Допустимый скоростной напор взрыва при смещении антенного устройства или приборной стойки определяется из следующего соотношения:

Если скоростной напор взрыва больше допустимого скоростного напора взрыва при смещении, то произойдет смещение антенного устройства или приборной стойки.



<== предыдущая | следующая ==>
 | Список файлов к лабораторной работе № 1





Date: 2015-06-11; view: 454; Нарушение авторских прав



mydocx.ru - 2015-2026 year. (0.476 sec.) Все материалы представленные на сайте исключительно с целью ознакомления читателями и не преследуют коммерческих целей или нарушение авторских прав - Пожаловаться на публикацию