Главная Случайная страница


Полезное:

Как сделать разговор полезным и приятным Как сделать объемную звезду своими руками Как сделать то, что делать не хочется? Как сделать погремушку Как сделать так чтобы женщины сами знакомились с вами Как сделать идею коммерческой Как сделать хорошую растяжку ног? Как сделать наш разум здоровым? Как сделать, чтобы люди обманывали меньше Вопрос 4. Как сделать так, чтобы вас уважали и ценили? Как сделать лучше себе и другим людям Как сделать свидание интересным?


Категории:

АрхитектураАстрономияБиологияГеографияГеологияИнформатикаИскусствоИсторияКулинарияКультураМаркетингМатематикаМедицинаМенеджментОхрана трудаПравоПроизводствоПсихологияРелигияСоциологияСпортТехникаФизикаФилософияХимияЭкологияЭкономикаЭлектроника






Величина доннановой разности потенциалов





Закономерности, которым подчиняется доннаново равновесие между фазами и, в частности, доннанов потенциал, основываются на общих термодинамических представлениях, развитых Гиббсом. Первоначально Доннан рассмотрел условие равновесия без учета коэффициентов активности. Позже Гюккель, а затем Доннан и Гуггенгейм дали точный термодинамический анализ задачи с учетом коэффициентов активности всех ионов и растворителя.

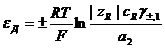
а) 1,1-Валентные электролиты

Обозначим по-прежнему переходящие анионы и катионы буквами А и К, а закрепленные ионы фазы 1 — через R.Ион R может иметь и положительный, и отрицательный заряд zR.Будем считать, что оба электролита уже находятся друг с другом в равновесии как по катионам, так и по анионам. Это значит, что электрохимический потенциал любого данного иона имеет в обеих фазах одну и ту же величину Можно, следовательно, записать:

, - внутренние потенциалы фаз 1 и 2.

Складывая уравнения, находим:

Т.к. стандартный химический потенциал каждого сорта ионов в обеих фазах одинаков, то из уравнения вытекает следующее условие доннанового равновесия:

В состоянии равновесия на границе раствор электролита/ ионообменная мембрана формируется двойной электрический слой (ДЭС). Скачок потенциала между двумя произвольными точками за пределами внешних границ ДЭС называется доннановским потенциалом . Если концентрации (моль/л) ионов в растворе и в мембране , потенциал Доннана будет определяться выражением:

,

где , коэффициенты активности i-го иона в фазе раствора и в фазе мембраны. Как правило, слагаемое опускают, принимая, что его косвенно учитывают коэффициенты активности, либо вносят под знак логарифма в виде коэффициента распределения ki i-го иона между фазами раствора и ионообменника. Предполагается, что коэффициенты активности косвенно учитывают осмотическое давление (осмотическая теория сорбции).

Возникновение доннановского потенциала препятствует выравниванию концентраций противо- и коионов в фазе раствора и в фазе мембраны.

Чтобы найти в доннановой системе равновесные концентрации, нужно учесть еще условие электронейтральности, которое для данного случая сводится к равенствам:

,

где - молярная концентрация ионообменных групп, являющаяся важной характеристикой.

Если учитывать средний коэффициент активности

После некоторых преобразований получим:

Доннанов потенциал ионита по отношению к внешней фазе положителен, когда ионообменные группы положительны, и отрицателен, когда они отрицательны. Если концентрация ионообменных групп очень велика по сравнению с концентрацией окружающего электролита, так что , то уравнение упрощается:

Знак плюс перед дробью соответствует положительным зна­чениям zR знак минус — отрицательным. Ионы того же знака, что и ионообменные группы, имеют в этом случае в фазе 1 на­столько низкую концентрацию, что ею вообще можно пренебречь, Но тогда, по условиям электронейтральности, концентрация подвижных противоионов в фазе 1 должна быть практически равна концентрации ионообменных групп, т. е. она должна почти не зависеть от концентрации этого противоиона в фазе 2 (практически это означает полное насыщение ионита данным ионом).

 

Диффузионные (неравновесные потенциалы), или жидкостные потенциалы, а точнее, разность потенциалов, возникают в пограничной зоне между двумя разными соприкасающимися электролитами. Причина их появления кроется в различи подвижностей, или коэффициентов диффузии растворенных ионов. Градиенты концентраций, точнее градиенты активностей, существующие в пограничной зоне, порождают диффузию. При независимой диффузии заряды положительных и отрицательных ионов, переходящих границу, друг друга не компенсируют. Это значит, что при такой независимой диффузии через границу электролитов должен течь соответствующий электрический ток. Если внешнего тока в цепи нет, то на границе растворов в результате этого перемещения зарядов неизбежно возникает электрическое поле, которое затрудняет переход для одних ионов и облегчает его для других. Разность потенциалов принимает установившееся значение, когда скорости перехода положительных и отрицательных зарядов через границу в точности уравниваются. Тогда результирующий ток на границе становится равным нулю. Эта стационарная разность потенциалов и есть диффузионный потенциал.

Подавление (элиминирование) диффузионного потенциала

Во многих электрохимических исследованиях используются цепи, составленные из электродов с разными электролитами. При этом возможно появление диффузионных потенциалов, которые трудно измерить или рассчитать. Существует, однако, метод, поз­воляющий иногда настолько снизить величину диффузионного потенциала, что им уже практически можно пренебречь. Заклю­чается метод в том, что электролиты обоих электродов соединяются через концентрированный (обычно насыщенный) раствор хлорида калия, называемый «солевым мостиком». С той же целью можно попользовать растворы нитратов калия или аммония. Рассмотрим цепь


Hg | Hg2Cl2, НС1(с) || КСl(4,2 М) || КС1(0,1 М), Hg2Cl2 |Hg

Без мостика диффузионный потенциал в такой цепи при с = 0,1 М составляет 28,2 мв; с мостиком из 3,5 М раствора KCl он снижает­ся до 1,1 мв. Причину этого легко понять, обратившись к урав­нению Гендерсона:

[Феттер]

Разности потенциалов, возникающие на пористых полупроница­емых мембранах, являются классическими доннановыми потен­циалами, которые уже рас­сматривались. Иначе ведут себя ионитовые мемб­раны. В известном смысле слова они тоже могут счи­таться полупроницаемыми, хотя фактором, определя­ющим проницаемость, здесь оказывается не столько ве­личина иона, сколько его заряд (справедливо только в том случае, когда емкость ионита уже исчерпана, и он почти полностью насыщен упомя­нутым многозарядным ионом. В практике обычного ионного обмена это бы­вает довольно редко, но с этим приходится сталкиваться при применении ионитовых мембран). Мембраны, этого типа и возникающие на них потен­циалы играют чрезвычайно большую роль в физиологи­ческих процессах. В их ис­следовании важное место занимают фундаментальные работы Теорелла, Майера и Си-верса, Манеке, Бонхёффера с сотрудниками, Шлёгеля, Хельфериха, Шмида.

Мембранным называют потенциал, возникающий между двумя растворами различного состава, разделенными мембраной. В общем виде системы, в которых наблюдается мембранный потенциал, имеют следующую структуру:

Электрод сравнения 1| раствор 1| мембрана | раствор 2 | электрод сравнения 2

В этой системе для измерения разности потенциалов, возникающей на мембране, необходимо использовать два электрода сравнения. Разность потенциалов зависит от природы мембраны и от концентрации ионов, входящих в растворы 1 и 2. К классу мембранных электродов относятся и стеклянные, и ион-селективные электроды. Мембраны электродов могут быть твердыми и жидкостными, они могут разделять идентичные или неидентичные растворы. [Плембек] Мембраны можно рассматривать как трехкомпонентные системы: межфазная область на границе раствора 1 с мембраной, однородная область основной части мембраны и межфазная область на границе мембраны с раствором 2. Полный мембранный потенциал сла­гается из трех разновидностей потенциалов (диффузионного потенциала внутри мембраны и двух скачков потенциала на границе фаз, называемых доннановскими потенциалами, если в пленках растворов, прилегающих к мембране, существуют концентрационные градиенты, то добавляются еще диффузионные потенциалы в этих пленках).

Каждая сторона мембраны приходит в равновесие со смачивающим ее раствором. При этом возникают две доннановых разности потенциалов и . Если концентрации и неодинаковы, то, по условиям равновесия, должны быть различны и концентрации в поверхностных слоях мембраны, непосредственно прилега­ющих к этим растворам. Следовательно, внутри мембраны должен существовать некоторый градиент концентрации, а значит и какая-то (обычно очень незначительная) диффузия и соответ­ствующий диффузионный потенциал.


В общем случае

Для 1,1-валентного электролита величина мембранного потенциала:

, где ;

 

при >0 целесообразно применять для анионов;

при <0 применяют для катионов;

среднее значение активности - на границе фаз 1,2;

а - на границе 2,3.

Во внешнем растворе 1,1- валентного электролита концентрация анионов всегда равна концентрации катионов. В мембране эти концентрации отличаются друг от друга, поскольку должно выполняться условие электронейтральности, которое при выбранной валентности электролита имеет вид:

Когда , суммарный заряд подвижных противоионов в мембране, по условиям электронейтральности доннанова равновесия, оказывается почти равен суммарному заряду ионообменных групп . Тогда концентрация в мембране сопутствующего иона, т.е. второго подвижного иона, имеющего знак, одинаковый с ионообменными группами, приближенно выражается уравнением: , где с-концентрация во внешнем растворе. Величина очень мала, значит и перепад ее внутри тем более мал. Значит перепад концентрации основных противоионов внутри ионита так же мал. Поэтому диффузионный потенциал в таких системах очень невелик и им можно пренебречь. Второй член в скобках также стремится к нулю. (вблизи мембраны значения активностей и чисел переноса не меняются) В результате уравнение мембранного потенциала сильно упрощается:

, знак плюс отвечает аниониту, знак минус – катиониту.

В другом крайнем случае, когда , уравнение переходит в следующее выражение:

.

По мере увеличения внешней концентрации первый член в правой части этого уравнения все более приближается к нулю и, в конце концов, мембранный потенциал переходит в диффузионный потенциал. В общем случае величина мембранного потенциала заключена между напряжением концентрационной цепи и диффузионным потенциалом.

Мембранные потенциалы чувствительны к природе мембраны, а также к применяемым по обе стороны от нее электродам сравнения и к концентрации ионов в исследуемым растворе. Обычно электрод сравнения, стандартный раствор и сама мембрана во всей серии определений остаются одними и теми же, меняется только активность ионов в исследуемом растворе.

 







Date: 2015-07-17; view: 924; Нарушение авторских прав



mydocx.ru - 2015-2026 year. (0.091 sec.) Все материалы представленные на сайте исключительно с целью ознакомления читателями и не преследуют коммерческих целей или нарушение авторских прав - Пожаловаться на публикацию