Главная
Случайная страница
Полезное:
Как сделать разговор полезным и приятным
Как сделать объемную звезду своими руками
Как сделать то, что делать не хочется?
Как сделать погремушку
Как сделать так чтобы женщины сами знакомились с вами
Как сделать идею коммерческой
Как сделать хорошую растяжку ног?
Как сделать наш разум здоровым?
Как сделать, чтобы люди обманывали меньше
Вопрос 4. Как сделать так, чтобы вас уважали и ценили?
Как сделать лучше себе и другим людям
Как сделать свидание интересным?
Категории:
АрхитектураАстрономияБиологияГеографияГеологияИнформатикаИскусствоИсторияКулинарияКультураМаркетингМатематикаМедицинаМенеджментОхрана трудаПравоПроизводствоПсихологияРелигияСоциологияСпортТехникаФизикаФилософияХимияЭкологияЭкономикаЭлектроника
|
Прогнозируй удачу правильно
Система - это просто
| Нам показалось целесообразным показать вам, как составляются системы для ручного заполнения терминальных карточек лотереи "Спортпрогноз". Вдруг кто-то из вас захочет их составлять самостоятельно. Скажем сразу, занятие увлекательное, но очень кропотливое.
Наипростейшая система может быть составлена для двух пар команд из одиннадцати, участвующих в тираже. Причем для каждой из этих двух пар команд мы прогнозируем "двойной" исход. Скажем, для одной пары 10, а для второй 02. Наша система получит название "2 двойных" и будет иметь вид:
1 0 1 0
0 0 2 2
Верхний ряд - это дважды повторенный прогноз для первой пары, а нижний - дважды повторенный прогноз для второй пары. Заполнив таким образом 4 комбинации для этих двух пар в терминальной карточке, мы гарантируем себе стопроцентный результат (в случае, если наши 9-ть однозначных исходов оказались верными и если результаты по двум парам, вошедшим в систему не вышли за рамки наших прогнозов, т.е. в первой паре не выиграли гости, а во второй - хозяева).
Система "1 тройной, 1 двойной" будет иметь такой вид (если для второй пары предсказываем исход 10):
1 0 2 1 0 2
1 1 1 0 0 0
Получили 6 комбинаций для заполнения игровых полей в терминальных карточках.
Система "2 тройных" выглядит следующим образом:
1 0 2 1 0 2 1 0 2
1 1 1 0 0 0 2 2 2
Вот уже 9 комбинаций для заполнения игровых полей, в которых, не забудем, остальные 9 "однозначных" исходов заполняются одинаково - так, как по нашему прогнозу должны завершиться эти матчи (1, или 0, или 2).
|
Прогнозируй удачу правильно
| Ниже представлены несколько систем для игры в лотерею "Спортпрогноз", которые особенно полюбились черновицким игрокам. А все потому, что они экономичны и при малом количестве игровых комбинаций позволяют игроку надеяться на приличный выигрыш. Хороши они еще и тем, что не требуют больших вложений в игру, позволяют регулярно участвовать в тото "Спортпрогноз" и доступны каждому поклоннику футбола с любым достатком.
Система "4 двойных"(4 комбинации):
Система гарантирует угадывание 3 исходов из 4.
Система "4 тройных"(9 комбинаций):
Гарантии те же, что и у предыдущей системы, т.е. 3 исхода из 4. Для успешной игры в целом необходимо не ошибиться в однозначных исходах, т.е. в таких, в которых игрок уверен.
Система "1 тройной, 4 двойных исхода" (8 комбинаций):
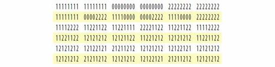
Система "3 тройных, 3 двойных исхода" (24 комбинации):
10101010 10101010 10101010
11001100 11001100 11001100
11110000 11110000 11110000
11111111 00000000 22222222
11022011 00211200 22100122
11022011 22100122 00211200
Система "8 двойных" (12 комбинаций):
Система "8 двойных" 32 комбинации:
11111111 11111111 00000000 00000000
11111111 00000000 11111111 00000000
11110000 11110000 11110000 11110000
11001100 11001100 11001100 11001100
10101010 10101010 01010101 01010101
11000011 00111100 00111100 11000011
10010110 10010110 01101001 01101001
10100101 01011010 01011010 10100101
|
Система «1 тройной, 5 двойных» - 24 комбинации:

Минимальная гарантия – 2 выигрыша за 11 угаданных исходов в случае верного прогноза шести однозначных исходов.
Система «2 тройных, 4 двойных» - 48 комбинаций:

Минимальная гарантия – 3 выигрыша за 11 угаданных исходов в случае верного прогноза шести однозначных исходов.
Система «3 тройных, 2 двойных» - 24 комбинации:

Минимальная гарантия – 2 выигрыша за 11 угаданных исходов в случае верного прогноза семи однозначных исходов.
| 2 тройных, 8 двойных (48 комбинаций)
| |
|
|
|
|
|
| | Возможный выигрыш - 1 "одиннадцатка", либо 0-2 ".
| | 3 тройных, 5 двойных (24 комбинации)
| |
|
|
|
|
|
| | Возможный выигрыш 1 "одиннадцатки" и 2 "десяток".
| | 3 тройных, 6 двойных (36 комбинаций)
| |
|
|
|
|
|
| | Реальный выигрыш до 4 "девяток".
| | 3 тройных, 7 двойных (60 комбинаций)
| |
|
|
|
|
|
| | Система может обеспечить выигрыш и одиннадцати, и десяти исходов.
|
| 3 тройных, 8 двойных (96 комбинаций)
| |
|
|
|
|
|
| | Система обеспечивает игроку угадывание десяти и одиннадцати исходов.
|
| 4 тройных, 3 двойных (18 комбинаций)
| |
|
|
|
|
|
|
| 4 тройных, 4 двойных (24 комбинации)
| |
|
|
|
|
|
|
| 4 тройных, 6 двойных (72 комбинации)
| |
|
|
|
|
|
|
| 5 тройных, 1 двойной (15 комбинаций)
| |
|
|
|
|
|
|
| 5 тройных, 2 двойных (24 комбинации)
| |
|
|
|
|
|
|
| 5 тройных, 3 двойных (36 комбинаций)
| |
|
|
|
|
|
|
| 5 тройных, 6 двойных (216 комбинаций)
| | |
|
|
|
|
|
| | | 6 тройных (18 комбинаций)
| |
|
|
|
|
|
| | | | | | | | | | | | | | | 6 тройных, 1 двойной (27 комбинаций)
| |
|
|
|
|
|
| | 6 тройных, 3 двойных (72 комбинации)
| |
|
|
|
|
|
|
| 7 тройных, 1 двойной (54 комбинации)
| |
|
|
|
|
|
| | 7 тройных (35 комбинаций)
| |
|
|
|
|
|
|
| 8 тройных (81 комбинаций)
| |
|
|
|
|
|
| | Система обеспечивает выигрыш за 11 угаданных результатов, или выигрыш за 10.
|
| 8 тройных, 1 двойной (162 комбинации)
| |
|
|
|
|
|
| | Образуется из предыдущей системы путем увеличения ее вдвое.
|
Date: 2015-07-17; view: 4307; Нарушение авторских прав | Понравилась страница? Лайкни для друзей: |
|
|