Главная Случайная страница


Полезное:

Как сделать разговор полезным и приятным Как сделать объемную звезду своими руками Как сделать то, что делать не хочется? Как сделать погремушку Как сделать так чтобы женщины сами знакомились с вами Как сделать идею коммерческой Как сделать хорошую растяжку ног? Как сделать наш разум здоровым? Как сделать, чтобы люди обманывали меньше Вопрос 4. Как сделать так, чтобы вас уважали и ценили? Как сделать лучше себе и другим людям Как сделать свидание интересным?


Категории:

АрхитектураАстрономияБиологияГеографияГеологияИнформатикаИскусствоИсторияКулинарияКультураМаркетингМатематикаМедицинаМенеджментОхрана трудаПравоПроизводствоПсихологияРелигияСоциологияСпортТехникаФизикаФилософияХимияЭкологияЭкономикаЭлектроника






Выполнение работы. Разбор лабораторной работы 2





Разбор лабораторной работы 2

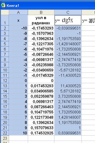
Задание. Даны 2 функции: у= и у= на отрезке [-10;10].Построить графики функций с шагом 1. Обратить внимание при построении графика на особые точки функции.

Выполнение работы

  • Исследуем функцию на особые точки. Это , при которых знаменатель обращается в ноль.

На заданном отрезке это будет точки: 0

  • Оформляем шапку таблицы и в ячейку А2 вносим первое значение аргумента, совпадающее с левым концом отрезка. В ячейку А3 – предыдущее значение аргумента плюс шаг

  • Остальные значения аргумента х в столбце А вносим в таблицу путём автоматического заполнения: выделяем ячейки А2 иА3 одновременно и указатель мыши выставляем в нижний правый угол выделенного блока до появления черного плюса

Удерживая левой кнопкой мыши плюс, вытягиваем блок до необходимого значения аргумента, равного правому концу отрезка

 

  • Переходим к столбцу В. В ячейке В2 вычисляем значение функции со значением аргумента из ячейки А2. Набор начинаем со знака «=». Компьютер комментирует эту операцию как «вставка функции»

Возможны два варианта заполнения: через мастера функций или через специальное окно «последние использованные функции»

Мастер функции вызывается путем нажатия пиктограммы . Всплывает диалоговое окно мастера функций. Следуем по предлагаемому пути.

выбираем категорию для упрощения поиска необходимой функции:

В данном варианте функции такой мы не найдем. Придется вспомнить, что

Выбираем в математической категории функцию .

Внимательно читаем комментарии по выбранной функции. Аргументом этой функции, т.е. число, адрес которого мы должны поместить предлагаемое окно, должен быть угол в радианах, а у нас, по условию задачи, угол в градусах.

Придется вставить столбец с переводом аргумента в радианы:

    • выделяем столбец В, «кликнув» мышкой по букве В верхней линейке листа. Столбец выделится цветом. Нажав правую кнопку мыши, вызовём контекстное меню, отметив –добавить ячейки

    • Появившийся новый столбец В подписываем «угол в радианах», форматируем, используя приёмы из лабораторной работы № 1.
    • Теперь в адрес В2 вводим функцию РАДИАНЫ. Аргументом этой функции будут служить градусы из столбца А. Действуем следующим образом: курсором активизируем окно «Угол», затем переходим на ячейку А2. наши действия отражаются в диалоговом окне мастера функции. Проверяем правильность набора и нажимаем «ок»

 

  • Полученный результата распространяем на весь отрезок, применив автозаполнение «черным плюсом»

Приступаем к вычислениям в столбце С. В мастере функций выбираем сначала функцию , а затем делим её на , аргументом функций будет число из столбца В, то есть значение угла в радианах

Обращаем внимание на то, что аргумент у нас сложный, и после ввода в окно «число» адреса аргумента, его надо умножить на 5, по условию задачи.

В «строку состояния» вручную вводим знак деления

и вызываем синус из мастера функций, заполняем аналогично

Выполнив указания мастера функций получаем следующую картинку:

обращаем внимание на то, что в строке состояния стоит формула, а ячейке в С2 просчитанное значение. Размножаем полученную формулу по всему столбцу.

и тут мы обращаем внимание на ячейку С12. Это есть особая точка функции – разрыв, значение устремляется к бесконечности. Наш табличный процессор не рассчитан на математический анализ функций, поэтому правильность вычисления и отображения контролировать мы должны сами. В нашем варианте «выкалываем» эту особую точку, т.е. делаем ячейку С12 пустой, удалив её содержимое.

В результате наших действий подготовлена таблица для построения графика

Столбец А содержит значения аргумента функции и должен быть расположен на оси абсцисс, столбец С – значения функции по оси ординат. Выделяем несмежные области мышкой, удерживая клавишу Ctrl.

Затем, «Основное меню», «вставка», «диаграмма» или нажимаем пиктограмму

Следуем по предложенному пути Мастером диаграмм

В типе диаграмм выбираем Точечный любой непрерывный из предложенных 5 образцов.

Вторым шагом идёт контроль диапазона построения графика. Следует отметить, что область построения разделяется точкой с запятой, так как значения лежат не в смежных столбцах. Удостоверяемся, что значения отмечены в столбцах

Переходим на вкладку Ряд

Можно в окне Имя написать значение функции, это отразится на названии Легенды

Переходим к следующему шагу в соответствии с Мастером


Заполняем Заголовки. Меняем размещение Легенды на внизу

Завершающим шагом будет выбор размещения диаграммы либо на имеющемся листе, радом с таблицей, или на отдельном.

График для первой функции готов, с соблюдением математической достоверности. Точка 0 – асимптота графика.

Теперь уже самостоятельно нужно построить график функции и работа будет завершена.







Date: 2015-07-17; view: 323; Нарушение авторских прав



mydocx.ru - 2015-2026 year. (0.492 sec.) Все материалы представленные на сайте исключительно с целью ознакомления читателями и не преследуют коммерческих целей или нарушение авторских прав - Пожаловаться на публикацию